서 언
대관령 고랭지 지역에서 주로 재배되는 사계성 딸기는 ‘Flamenco’와 ‘Charlotte’ 품종으로 수확된 여름딸기의 대부분은 일본에 수출되고 있다. 일본에서 사계성 딸기는 6월부터 11월에 걸쳐 수확 및 출하되는 딸기로, 한 해 동안의 수확량은 1,000톤 미만으로 수확량에 비해 4-5배 정도의 소비량을 미국 등의 해외로부터 수입에 의존하고 있다(FAO, 2010). 국내산 사계성 딸기는 최대 수출국인 미국산에 비해서 품질이 우수하여 일본시장으로 지속적인 수출이 가능할 것으로 예상된다. 그러나 일본에서는 수입딸기의 공급이 안정되어 있기 때문에 소비자들의 평가는 높은 반면, 딸기의 신선도, 식미, 그리고 경도 등 품질에 문제점이 제기되고 있는 상황이다. 일반적으로 과실의 수확부터 수출국 매장에서의 유통에 이르는 과정은 수확 - 예냉 - 선별 - 저장 - 운송, 검역 및 하역 - 매장 내 유통 등 일련의 단계를 거쳐 판매된다. 신선딸기 수출은 단기간에 운송이 가능하지만 쉽게 연화되는 과실 특성상 품질 및 선도를 유지하고 저장기간을 연장시키기 위한 수확 후 관리 기술이 요구된다(Eum and Lee, 2007; Wills and Kim, 1995).
저장 및 유통 중 딸기의 품질을 결정하는 주요 요인들은 상온에서는 급격하게 저하되므로 적정 온도를 설정하는 것이 품질저하를 감소시키는 방법이다. 특히 딸기 수확 시의 포장열은 30°C 이상까지 올라가므로 주의가 요구된다. 원예산물의 품온을 급속히 저하시키는 방법으로 가장 대표적인 전처리 기술은 예냉 처리로, 이를 통하여 작물의 온도를 낮추면 호흡 등 대사작용 속도를 지연시키고 부패성 미생물의 증식을 억제시켜 노화에 따른 생리적 변화를 지연시키는 효과가 있다(Martinez-Romero et al., 2003; Li and Kader, 1989; Nunes et al., 1995a, 1995b; Perez et al., 1998).
본 연구에서는 주요 수출 품종인 ‘Flamenco’와 이전 연구결과를 통해서 가공용과 생식용으로의 적합성이 인정된(Hwang et al., 2013) 국내 육성품종인 ‘Goha’를 이용하여 모의 수출실험을 실시함으로써 전처리기술에 따른 상온 및 저온 유통효과를 구명하고 여름용 딸기인 국내 품종의 수출을 위한 가능성을 제시하고자 한다.
재료 및 방법
본 연구의 공시재료인 사계성 딸기 ‘Flamenco’와 ‘Goha’ 품종은 2012년 8월부터 10월까지 강원도 평창군 대관령면에 위치한 농가에서 60% 이상 착색된 과실을 공급받았다. 일반적으로 농가에서 수확된 사계성 딸기는 무역상을 통해서 수출이 이루어지는데, 운송차량은 일주일에 두 번 정도 3일 간격으로 농가에 방문한다. 농가로부터 딸기를 수집한 후 유통회사에서 마련된 선별장에 모여 규격별로 선별된 다음 약 2일간 여러 농가의 딸기가 모두 수집될 때까지의 단기간 저장을 거쳐 항공을 이용하여 수출된다. 이에 본 연구에서는 수확 - 예냉 - 선별 - 저장 - 운송, 검역 및 하역 - 매장 내 유통으로 시뮬레이션한 후 각 단계별로 시간과 온도를 설정하였다.
수확된 딸기는 0°C에서 7/8 cooling time까지 통풍예냉과 차압식예냉을 실시하였다. 통풍예냉은 0°C의 저온저장고에서 실시하였고, 차압식예냉은 사계성 딸기를 플라스틱 박스(34cm × 26cm × 5.5cm)에 50개씩 난자에 담아 준비하였다. 각 플라스틱 박스를 6개씩(2개 × 3개) 4단으로 적재한 후 제작된 비닐커버를 씌워 간이 차압식예냉기(FOX-S1004, DSFOX, Korea)를 이용하여 풍속은 3.1 × 10-3m3・s-1・kg-1으로 차압예냉을 실시하였다. 예냉처리 전 과육의 온도는 외기와 비슷한 26°C를 나타내었으며, 0°C의 저온고에서 예냉 처리 7/8 cooling time까지 소요된 시간은 약 1시간 30분 정도였다. 예냉 처리 후 10-14°C에서 2시간 가량 선별단계를 거쳐 수출용 종이박스(34cm × 26cm × 4.5cm)에 포장되었다. 선별된 딸기는 공항으로 운반하기 전까지 4°C에서 2일 저장한 후 20-25°C로 옮겨 5-6시간 가량 방치함으로써 운송, 검역 및 하역 상황을 시뮬레이션 하였다. 매장 내 유통은 수출국의 현지 상황에 맞게 상온(20-25°C)과 저온(8°C)으로 조성하였다.
상온과 저온유통 기간 동안 예냉 방법에 따른 품질 변화를 조사하였다. 무게변화는 초기 무게에 대한 유통기간 경과후 감모량을 백분율로 나타내었다. 경도는 물성분석기(EZ Test/CE-500N, Shimadzu, Kyoto, Japan)를 이용하여 과실의 적도 부위를 측정하여 N으로 표시하였다. 가용성고형물의 함량은 딸기 과육조직을 착즙한 후 굴절당도계(PAL-1, Atago, Tokyo, Japan)로 측정하여 °Brix로 표시하였다. 산도는 과일 당산도 측정기(SAM-706AC, G-won Hightech Co., Seoul, Korea)로 측정 후 구연산으로 환산하여 %로 표시하였다. 측정된 당도와 산도 값을 이용하여 당산비로 표시하였다. 과육의 색도는 색차계(CR-400, Minolta, Osaka, Japan)를 이용하여 CIE L*a*b* 값을 측정한 후 chroma와 hue angle 값으로 표시하였다. 곰팡이 발생률은 유통 기간에 따라 총 과실에 대하여 곰팡이가 발생된 과실의 개수를 백분율로 나타내었다(n = 30).
실험은 완전임의 배치법에 의한 2 × 4 요인실험으로 수행하였으며, 데이터 분석은 SAS system(SAS Institute Inc. Cary NC 27513, USA)을 이용하여 분산분석(ANOVA)을 하였으며 Duncan의 다중검정(DMRT)를 이용하여 P ≤ 0.05 수준에서 각 처리간의 유의성을 검증하였다.
결과 및 고찰
본 연구는 과실을 수확한 다음 예냉, 선별, 저장, 운송, 검역 및 하역작업에 소요된 기간인 2일 경과 후부터 상온과 저온의 조건에서 유통을 실시한 것으로, 결과에서 제시하는 상온 및 저온 유통기간에는 수확부터 하역작업에 이르는 2일이 제외된 기간이다.

|
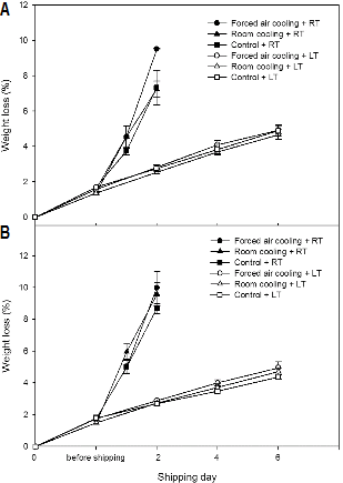
Fig. 1. Weight loss of everbearing strawberries (A, Flamenco; B, Goha) during shipping at room temperature (20-25°C) or low temperature (8°C). The data presented the means ± SE. |
Table 1. Firmness of everbearing strawberries during shipping at room temperature (20-25°C) or low temperature (8°C). |
Postharvest treatment | Temp. | Firmness (N) |
Flamenco | | Goha |
Days on the shelf | Days on the shelf |
0 | BSz | 1 | 2 | 4 | 6 | 0 | BS | 1 | 2 | 4 | 6 |
Forced air cooling | Room temp. | 2.1 ay | 2.0 a | 2.0 a | 2.0 a | | | | 1.6 a | 2.0 a | 1.7 a | 1.6 b | | |
| Low temp. | 2.1 a | 2.0 a | | 2.0 a | 2.1 a | 2.1 a | | 1.6 a | 2.0 a | | 1.8 ab | 1.4 b | 1.9 a |
Room cooling | Room temp. | 2.1 a | 2.1 a | 2.0 a | 2.1 a | | | | 1.6 a | 2.0 a | 1.9 a | 1.9 a | | |
| Low temp. | 2.1 a | 2.1 a | | 2.0 a | 2.1 a | 2.0 a | | 1.6 a | 2.0 a | | 2.0 a | 2.0 a | 1.9 a |
Control | Room temp. | 2.1 a | 2.0 a | 2.0 a | 2.0 a | | | | 1.6 a | 2.1 a | 1.9 a | 1.8 ab | | |
| Low temp. | 2.1 a | 2.0 a | | 2.0 a | 2.1 a | 2.0 a | | 1.6 a | 2.1 a | | 2.0 a | 1.9 a | 2.0 a |
Significance | | | | | | | | | | | | | |
Postharvest treatment (P) | NS | NS | NS | NS | NS | NS | | NS | NS | NS | ** | ** | NS |
Temperature (T) | NS | NS | | NS | | | | NS | NS | | * | | |
P × T | NS | NS | | NS | | | | NS | NS | | NS | | |
zAfter harvest, it took two days to prepare export procedure such as precooling, sorting, storage, transportation, quarantine and handling. BS means before shipping. yMean separation within columns by Duncan’s multiple range test at P = 0.05. NS,*,**Nonsignificant or significant at P ≤ 0.05 or 0.01, respectively. |
상온 유통은 ‘Flamenco’와 ‘Goha’ 품종 모두 유통기간 1일이 경과된 후 무게손실률이 크게 증가하여 2일 경과 후 10% 정도로 증가하였으며, ‘Goha’ 품종이 ‘Flamenco’ 품종에 비해서 2% 가량 중량 감모율이 높았다(Fig. 1). 그리고 상온에서는 2일 이내로 유통이 가능한 반면 저온 유통은 두 품종 모두 유통 6일 동안 4% 내외의 무게손실률을 보였다. 그러나 상온 및 저온 유통기간 동안 ‘Flamenco’와 ‘Goha’ 품종 모두 예냉처리 유무의 효과는 없었다.
경도는 ‘Flamenco’ 품종이 2.0-2.1N으로 1.5-2.0N을 나타내는 ‘Goha’ 품종에 비해서 약간 높았다(Table 1). ‘Flamenco’ 품종은 예냉처리 유무 및 상온과 저온 유통기간 동안 경도의 변화가 없었다. 그러나 ‘Goha’ 품종은 차압식 예냉처리에서 상온 및 저온 유통기간 동안 경도의 감소폭이 컸고 저장 4일 경과 후에는 예냉처리 유무(P ≤ 0.01) 및 유통온도(P ≤ 0.05)에 따라서 유의적 차이를 보이며 통풍식 예냉 및 저온유통에서 경도유지에 효과적이었다.
가용성 고형물의 함량은 ‘Goha’ 품종이 ‘Flamenco’ 품종에 비해 높다고 보고되고 있다(Hwang et al., 2013). 본 연구에서도 수확 당시의 가용성 고형물의 함량은 ‘Goha’ 품종에서 높게 나타났다(Table 2). 수확 후 하역작업에 이르는 동안에는 두 품종 모두 가용성 고형물 함량의 증가를 보였으며 유통기간 동안의 예냉처리 유무에 따른 변화의 폭은 적었다. 특히 가용성 고형물 함량의 증가가 차압식 예냉처리에서 높았다. 상온 및 저온 유통기간 동안 ‘Flamenco’ 품종의 가용성 고형물의 함량은 예냉처리 유무에 따라 일정한 경향이 없이 증감하였다. 반면 ‘Goha’ 품종은 차압식 예냉처리에 의해서 가용성 고형물의 함량이 크게 증가하였으며 이러한 경향은 상온과 저온 유통에서 동일하고 유통기간 내내 유사한 경향을 보였다. 이는 차압식 예냉처리에 의해 딸기 과실이 연화가 촉진되면서 빛의 굴절도에 의해 측정되는 가용성 고형물의 함량이 증가된 것으로 생각되는데 이것은 Table 1에서 제시된 차압식 예냉 처리에 의해서 ‘Goha’ 품종의 경도가 감소된 것과 일치한다.
Table 2. Soluble solids content of everbearing strawberries during shipping at room temperature (20-25°C) or low temperature (8°C). |
Postharvest treatment | Temp. | Soluble solids content (oBrix) |
Flamenco | | Goha |
Days on the shelf | Days on the shelf |
0 | BSz | 1 | 2 | 4 | 6 | 0 | BS | 1 | 2 | 4 | 6 |
Forced air cooling | Room temp. | 4.3 ay | 5.9 a | 5.0 b | 5.4 bc | | | | 5.8 a | 7.0 a | 6.5 a | 6.7 a | | |
| Low temp. | 4.3 a | 5.9 a | | 4.7 d | 4.8 b | 5.6 a | | 5.8 a | 7.0 a | | 6.1 d | 6.4 a | 6.9 a |
Room cooling | Room temp. | 4.3 a | 5.4 b | 5.4 a | 6.2 a | | | | 5.8 a | 6.3 b | 6.4 b | 6.3 c | | |
| Low temp. | 4.3 a | 5.4 b | | 5.2 c | 5.3 a | 5.1 b | | 5.8 a | 6.3 b | | 6.4 b | 5.9 b | 6.2 b |
Control | Room temp. | 4.3 a | 5.3 b | 5.0 b | 5.4 bc | | | | 5.8 a | 5.9 c | 6.1 c | 6.5 ab | | |
| Low temp. | 4.3 a | 5.3 b | | 5.6 b | 5.4 a | 5.5 a | | 5.8 a | 5.9 c | | 6.0 d | 5.7 b | 6.3 b |
Significance | | | | | | | | | | | | | |
Postharvest treatment (P) | NS | *** | ** | *** | *** | *** | | NS | *** | *** | NS | *** | *** |
Temperature (T) | NS | NS | | *** | | | | NS | | | *** | | |
P × T | NS | NS | | *** | | | | NS | | | *** | | |
zAfter harvest, it took two days to prepare export procedure such as precooling, sorting, storage, transportation, quarantine and handling. BS means before shipping. yMean separation within columns by Duncan’s multiple range test at P = 0.05. NS,**,***Nonsignificant or significant at P ≤ 0.01 or 0.001, respectively. |
적정산도는 두 품종 모두 유통기간 동안 유지되거나 오히려 증가하는 양상을 보이며, 특히 ‘Goha’ 품종에서 유통온도(P ≤ 0.001) 및 예냉처리 유무(P ≤ 0.05)가 적정산도에 영향을 미쳤다(Table 3). 원예작물은 수확 후 과실의 구성물질인 유기산이 호흡기질로 이용되기 때문에 감소하는 경향이 나타나는 것이 일반적이다. 그러나 수출용 사계성 딸기의 특성상 50-60% 착색이 진행된 생리적 숙성이 완전히 이루어지지 않은 단계에서 수확되므로 이러한 현상이 발생된 것으로 판단된다. 또한 일반적인 생식용 딸기의 적정산도 범위는 0.8% 이하로써(Jouquand and Chandler, 2008) 본 연구에 사용된 ‘Flamenco’와 ‘Goha’ 품종의 적정산도 범위인 0.7-1.1%는 생식을 하기에는 산도가 높은 것으로 나타났다. 이는 국내에서 재배되는 사계성 딸기가 대부분 장식용으로 사용되기 때문에 생리적 성숙뿐만 아니라 원예적 성숙이 완료되지 않은 상태에서 수확되었기 때문으로 보여진다. 딸기의 경우 단맛과 향을 최고로 느끼기 위해서는 june bearing과 day neutral berry 모두 완전하게 붉게 된 후에 수확이 이루어져야 한다. 착색이 완전히 이루어지지 않은 상태에서 수확을 해도 결국에 붉게 착색은 이루어지지만 단맛의 증가는 모체에 달려 있을 때 정도로 증가하지 않는데, 이는 딸기가 vine ripening 특성을 보이기 때문이다. 딸기는 감귤류와 마찬가지로 수확 후 나무로부터 제거되면 숙성이 더 이상 진행되지 않은 특성을 가지고 있다(CCE, 2003; Wills et al., 1998).
가용성 고형물의 함량과 적성산도의 차이는 당산비의 결과에서도 나타났다. 일반적으로 생식용 딸기의 당산비는 8이상의 값을 나타내나 본 연구의 사계성 딸기는 장식용으로 주로 이용되고 있는 과실 특성상 생식용에 비해서 낮은 6-8 범위를 보이고 품종 별로는 가용성 고형물의 함량이 높은 ‘Goha’ 품종이 ‘Flamenco’ 품종에 비해 당산비가 높았다(Table 4). 유통 중 산도의 감소를 보인 ‘Flamenco’ 품종은 상온 및 저온유통 중에 당산비의 증가를 보였으며, 산도의 변화가 없거나 증가를 보였던 ‘Goha’ 품종은 당산비의 감소가 나타났다.
Table 3. Titratable acidity of everbearing strawberries during shipping at room temperature (20-25°C) or low temperature (8°C). |
Postharvest treatment | Temp. | Titratable acidity (%) |
Flamenco | | Goha |
Days on the shelf | Days on the shelf |
0 | BSz | 1 | 2 | 4 | 6 | 0 | BS | 1 | 2 | 4 | 6 |
Forced air cooling | Room temp. | 0.7 ay | 0.8 b | 0.9 a | 0.8 b | | | | 0.8 a | 1.0 a | 1.0 a | 1.0 abc | | |
| Low temp. | 0.7 a | 0.8 b | | 0.9 b | 0.9 a | 0.8 a | | 0.8 a | 1.0 a | | 0.8 d | 0.9 a | 1.1 a |
Room cooling | Room temp. | 0.7 a | 1.0 a | 0.9 a | 1.1 a | | | | 0.8 a | 0.9 b | 1.0 a | 1.1 a | | |
| Low temp. | 0.7 a | 1.0 a | | 0.9 ab | 1.0 a | 0.8 a | | 0.8 a | 0.9 b | | 0.9 cd | 1.0 a | 1.0 b |
Control | Room temp. | 0.7 a | 0.9 a | 0.9 a | 0.9 b | | | | 0.8 a | 0.8 c | 1.0 b | 1.0 ab | | |
| Low temp. | 0.7 a | 0.9 a | | 1.0 a | 0.8 b | 0.9 a | | 0.8 a | 0.8 c | | 1.0 bc | 0.8 b | 1.0 b |
Significance | | | | | | | | | | | | | |
Postharvest treatment (P) | NS | *** | NS | ** | *** | NS | | NS | *** | * | * | * | * |
Temperature (T) | NS | NS | | NS | | | | NS | | | *** | | |
P × T | NS | NS | | * | | | | NS | | | * | | |
zAfter harvest, it took two days to prepare export procedure such as precooling, sorting, storage, transportation, quarantine and handling. BS means before shipping. yMean separation within columns by Duncan’s multiple range test at P = 0.05. NS,*,**,***Nonsignificant or significant at P ≤ 0.05, 0.01, or 0.001, respectively. |
|
Table 4. The ratio of SSC / Titratable acidity of everbearing strawberries during shipping at room temperature (20-25°C) or low temperature (8°C). |
Postharvest treatment | Temp. | The ratio of SSC/TA |
Flamenco | | Goha |
Days on the shelf | Days on the shelf |
0 | BSz | 1 | 2 | 4 | 6 | 0 | BS | 1 | 2 | 4 | 6 |
Forced air cooling | Room temp. | 6.2 ay | 7.2 a | 5.7 a | 6.8 a | | | | 7.6 a | 6.9 a | 6.4 a | 6.7 bc | | |
| Low temp. | 6.2 a | 7.2 a | | 5.5 b | 5.3 b | 7.3 a | | 7.6 a | 6.9 a | | 7.6 a | 7.4 a | 6.4 a |
Room cooling | Room temp. | 6.2 a | 5.6 b | 6.1 a | 5.7 ab | | | | 7.6 a | 6.7 a | 6.3 ab | 5.7 d | | |
| Low temp. | 6.2 a | 5.6 b | | 5.6 b | 5.4 b | 6.6 a | | 7.6 a | 6.7 a | | 7.2 ab | 6.0 b | 6.1 a |
Control | Room temp. | 6.2 a | 5.6 b | 5.9 a | 6.4 ab | | | | 7.6 a | 7.0 a | 6.1 b | 6.3 cd | | |
| Low temp. | 6.2 a | 5.6 b | | 5.5 b | 6.5 a | 6.5 a | | 7.6 a | 7.0 a | | 6.1 cd | 7.7 a | 6.1 a |
Significance | | | | | | | | | | | | | |
Postharvest treatment (P) | NS | *** | NS | NS | *** | NS | | NS | NS | * | ** | ** | NS |
Temperature (T) | NS | NS | | * | | | | NS | NS | | ** | | |
P × T | NS | NS | | NS | | | | NS | NS | | ** | | |
zAfter harvest, it took two days to prepare export procedure such as precooling, sorting, storage, transportation, quarantine and handling. BS means before shipping. yMean separation within columns by Duncan’s multiple range test at P = 0.05. NS,*,**,***Nonsignificant or significant at P ≤ 0.05, 0.01, or 0.001, respectively. |
일반적으로 수출용 사계성 딸기는 착색이 60% 경과되었을 때 수확되는데 hue angle 값의 감소는 딸기 과피의 착색이 진전된 것을 의미한다(Hwang, 2013). 유통기간 동안 hue angle 값의 변화는 ‘Flamenco’의 경우 상온에서 유통 1일이 경과할 경우 감소를 보이는데 대조구에서 감소의 폭인 큰 반면 차압 및 통풍식 예냉 처리에 의해서 지연되었다(Table 5). 이러한 결과는 저온유통의 경우도 유사하였으며 저온 유통 6일 경과 후에는 예냉 처리 유무에 따른 유의적 차이가 없었다. ‘Goha’ 품종은 hue angle 값의 경우 예냉처리 유무에 따른 색도 변화의 차이가 없으며, 단지 유통온도 조건에 따라 저온 유통에서 hue angle 값이 감소되는 것이 지연되었다. 이러한 결과는 chroma value에서도 유사한 경향을 나타내는데, ‘Flamenco’ 품종은 예냉처리 유무에 따라 착색이 지연되나 ‘Goha’ 품종에서는 예냉처리의 효과가 없었다(Table 6). 그러나 유통온도는 ‘Flamenco’와 ‘Goha’ 품종 모두에서 착색을 지연시키는 주요 요인이었다.
Table 5. The Hue angle of everbearing strawberries during shipping at room temperature (20-25°C) or low temperature (8°C). |
Postharvest treatment | Temp. | Hue angle (o) |
Flamenco | | Goha |
Days on the shelf | Days on the shelf |
0 | BSz | 1 | 2 | 4 | 6 | 0 | BS | 1 | 2 | 4 | 6 |
Forced air cooling | Room temp. | 39.5ay | 40.0a | 38.8a | 36.5c | | | | 44.8a | 37.1a | 39.8a | 35.0b | | |
| Low temp. | 39.5a | 40.0a | | 43.4a | 43.6a | 35.5a | | 44.8a | 37.1a | | 41.3a | 36.8a | 36.8a |
Room cooling | Room temp. | 39.5a | 38.2a | 35.9ab | 39.3ab | | | | 44.8a | 40.2a | 40.8a | 36.6ab | | |
| Low temp. | 39.5a | 38.2a | | 40.5ab | 35.9b | 37.4a | | 44.8a | 40.2a | | 41.0a | 40.5a | 41.3a |
Control | Room temp. | 39.5a | 39.4a | 33.1b | 36.7bc | | | | 44.8a | 37.8a | 36.6a | 36.8ab | | |
| Low temp. | 39.5a | 39.4a | | 38.3bc | 35.7b | 38.1a | | 44.8a | 37.8a | | 40.3ab | 43.4a | 36.3a |
Significance | | | |
Postharvest treatment (P) | NS | NS | ** | NS | * | NS | | NS | NS | NS | NS | NS | NS |
Temperature (T) | NS | NS | | ** | | NS | | NS | NS | | * | | |
P × T | NS | NS | | * | | NS | | NS | NS | | NS | | |
zAfter harvest, it took two days to prepare export procedure such as precooling, sorting, storage, transportation, quarantine and handling. BS means before shipping. yMean separation within columns by Duncan’s multiple range test at P = 0.05. NS,*,**Nonsignificant or significant at P ≤ 0.05 or 0.01, respectively. |
|
Table 6. The Chroma value of everbearing strawberries during shipping at room temperature (20-25°C) or low temperature (8°C). |
Postharvest treatment | Temp. | Chroma value |
Flamenco | | Goha |
Days on the shelf | Days on the shelf |
0 | BSz | 1 | 2 | 4 | 6 | 0 | BS | 1 | 2 | 4 | 6 |
Forced air cooling | Room temp. | 54.1ay | 53.1a | 51.7a | 52.7b | | | | 56.0a | 54.4a | 50.0a | 49.6b | | |
| Low temp. | 54.1a | 53.1a | | 59.4a | 59.2a | 53.5a | | 56.0a | 54.4a | | 58.8a | 54.5a | 53.2a |
Room cooling | Room temp. | 54.1a | 53.9a | 52.6a | 53.6b | | | | 56.0a | 53.8a | 54.8a | 51.7b | | |
| Low temp. | 54.1a | 53.9a | | 58.5a | 54.7b | 54.9a | | 56.0a | 53.8a | | 59.0a | 58.6a | 54.7a |
Control | Room temp. | 54.1a | 54.9a | 51.7a | 51.7b | | | | 56.0a | 55.7a | 52.6a | 52.3b | | |
| Low temp. | 54.1a | 54.9a | | 58.0 | 53.7b | 54.4a | | 56.0a | 55.7a | | 56.9a | 58.1a | 56.2a |
Significance | | | |
Postharvest treatment (P) | NS | NS | NS | NS | *** | NS | | NS | NS | NS | NS | NS | NS |
Temperature (T) | NS | NS | | *** | | | | NS | NS | | *** | | |
P × T | NS | NS | | NS | | | | NS | NS | | NS | | |
zAfter harvest, it took two days to prepare export procedure such as precooling, sorting, storage, transportation, quarantine and handling. BS means before shipping. yMean separation within columns by Duncan’s multiple range test at P = 0.05. NS,***Nonsignificant or significant at P ≤ 0.001, respectively. |

|
Fig. 2. Incidence of decayed fruit of everbearing strawberries (A, Flamenco; B, Goha) during shipping at room temperature (20-25°C) or low temperature (8°C). The data presented the means ± SE. |
딸기의 유통 중 예냉처리의 효과 유무는 품질검사의 결과보다는 유통기간에 따른 외관상의 변화에서 뚜렷이 나타났다. ‘Flamenco’ 품종은 상온유통 1일이 경과되면서 예냉처리구에서 곰팡이가 발생되었으며, 2일 경과 후에는 예냉유무에 상관없이 곰팡이가 발생되면서 상온유통 시에는 예냉처리의 효과가 없었다(Fig. 2A). 저온유통은 4일이 경과되면서 곰팡이가 발생되었으며 6일 경과 후에는 예냉유무에 관계없이 모두 곰팡이가 발생되었으며, 통풍식 예냉에 의해서 곰팡이 발생을 지연시켰다. ‘Goha’ 품종은 상온유통에서는 1일 경과 후 예냉 무처리구에서만 곰팡이가 발생되었으며 상온유통 2일 경과 후에는 ‘Flamenco’ 품종과 마찬가지로 전 처리구에서 곰팡이가 발생되었다(Fig. 2B). 저온유통도 4일이 지나면서 곰팡이가 발생되었으며, 예냉처리에 의해서 곰팡이 발생 빈도가 낮았다. 특히 두 품종 모두 예냉처리는 저온유통에서 효과적이었다.
이상의 결과를 종합해 보면 수출용 사계성 딸기는 8°C 이하의 저온으로 유통을 하면 유통기간이 4일 이상 연장되며, 수확 후 호흡열을 제거하는 예냉처리인 차압식 예냉과 통풍식 예냉의 실시는 저온유통을 실시할 경우 효과적이었다. 품종별 예냉처리 효과는 ‘Flamenco’ 품종은 차압식 예냉과 통풍식 예냉이 유사한 반면, 국내 육성종인 ‘Goha’ 품종은 통풍식 예냉의 효과가 좋았다.
Acknowledgements
본 연구는 농촌진흥청 공동연구사업의 지원에 의해 수행되었음.
References
Cornell Cooperative Extension (CCE). 2003. Strawberry, p. 54-64. In: Cornell guide to growing fruit at home. Cornell University Press, Ithaca, NY, USA http://www.gardening.cornell.edu/ fruit/homefruit/homefruit.pdf.
Eum, H.L. and S.K. Lee. 2007. The responses of Yukbo strawberry (Fragaria × ananassa Duch.) fruit to nitric oxide. Food Sci. Biotechnol. 16:123-126.
Food and Agriculture Organization of the United Nations (FAO). 2010. FAOSTAT. http://faostat.fao.org/site/567/DesktopDefault. aspx?PageID=567#ancor.
Hwang, D.K., H.L. Eum, Y.R. Yeoung, K.W. Park, and S.J. Hong. 2013. Characteristics of everbearing strawberry cultivars and the effect of precooling treatment to maintain quality of ‘Charlotte’ cultivar grown on highland in summer season. Kor. J. Hort. Sci. Technol. 31:282-288.
Jouquand, C. and C. Chandler. 2008. A sensory and chemical analysis of fresh strawberries over harvest dated and seasons reveals factors that affect eating quality. J. Amer. Soc. Hort. Sci. 133:859-867.
Li, C. and A.A. Kader. 1989. Residual effects of controlled atmospheres on postharvest physiology and quality of strawberries. J. Amer. Soc. Hort. Sci. 114:629-634.
Martinez-Romero, D., S. Castillo, and D. Valero. 2003. Forced-air cooling applied before fruit handling to prevent mechanical damage of plums (Prunus salicina Lindl.). Postharvest Biol. Technol. 28:135-142.
Nunes, M.C.N., J.K. Brecht, A.M.M.B. Morais, and S.A. Sargent. 1995a. Physical and chemical quality characteristics of strawberries after storage are reduced by a short delay to cooling. Postharvest Biol. Technol. 6:17-28.
Nunes, M.C.N., J.K. Brecht, S.A. Sargent, and A.M.M.B. Morais. 1995b. Effects of delays to cooling and wrapping on strawberry quality (cv. Sweet Charlie). Food Control 6:323-328.
Pérez, A.G., R. Olias, J.M. Olias, and C. Sanz. 1998. Strawberry quality as a function of the ‘high pressure fast cooling’ design. Food Chem. 62:161-168.
Wills, R.B.H., B. McGlasson, D. Graham, and D. Joyce. 1998. Physiology and biochemistry, p. 33-59. In: Postharvest. An introduction to the physiology and handling of fruit, vegetables, and ornamentals. 4th ed. University of New South Wales Press Ltd., Sydney, Australia.
Wills, R.B.H. and G.H. Kim. 1995. Effect of ethylene on postharvest life of strawberries. Postharvest Biol. Technol. 6:249-255.