서 언
재료 및 방법
실험 재료
Phenolic Compounds 추출 및 HPLC 분석
Ascorbic Acid 추출 및 HPLC 분석
대사체 추출 및 유도체화
GC-MS 분석
통계분석
결과 및 고찰
Phenolic Compounds 함량 비교
GC-MS를 이용한 대사체 분석
Ascorbic Acid 함량
서 언
과실을 수확 후 저장하는 동안 과육 및 과피 변색, 부패, 섬유질화, 연화 등 다양한 품질저하 현상이 발생한다. 저장고 내부의 온도 및 가스 농도, 에틸렌 발생 등에 의하여 세포 내 비정상적인 생리 현상이 유발되고, 이의 결과가 가시적으로 나타난 것을 생리 장해(physiological disorders)라 한다. 동양 배(Pyrus communis L. cv ‘Niitaka’) 저온 저장 시 가장 흔히 관찰되는 생리 장해 현상은 과피 흑변(skin blackening), 과심 및 과육 갈변(flesh browning 또는 core browning), 그리고 탈피(peel-off)이다. 동양배 과피 흑변 및 과육 갈변은 일반적으로 유전적 요인에 의한 것으로 ‘금촌추’ 품종을 이어받은 ‘신고’, ‘추황’, ‘영산’ 배 등을 저장 시 초반에 주로 발생한다고 알려져 있다(Hong et al., 2008). 또한 조기 수확한 것을 저장했을 때, 빛의 투과가 적은 봉지를 씌워 재배한 과실을 저장했을 때, 그리고 높은 이산화탄소 및 에틸렌이 저장고에 축적되었을 때 등 복합적 요인에 의해 발생한다고 알려져 있다(Franck et al., 2007; Lau, 1998: Ma and Chen, 2003; Seo et al., 2001; Yang, 1997).
과실 저장 시 발생하는 과육 및 과피 변색을 유발하는 환경적 요인은 위와 같이 다양하지만 공통된 세포 내 발생 기작은 polyphenol oxidase(PPO)에 의하여 phenolic compounds가 산화되어 o-quinone과 같은 melanin 중합체를 형성하기 때문이다(Franck et al., 2007; Larrigaudiere et al., 1998; Park, 1999a, 1999b; Seo et al., 2001). 또한 세포 내 비정상적인 대사 진행으로 과실 조직 내부에 acetaldehyde, ethanol 등 혐기성 호흡 산물의 축적(Pesis, 2005), 식물의 방어 체계 붕괴로 인한 ascorbic acid 합성 능력 저하 또는 파괴(Franck et al., 2003; Veltman et al., 2003) 등과 같은 에너지 생산 및 항산화 능력 결여도 수확 후 과실 변색과 관련이 있다고 보고되었다.
신고 배 과육 및 과피 변색을 방지하기 위해 진행된 우리나라의 대표적 수확 후 처리 기술의 예는 저장 전 EDTA-Ca와 열처리(Choi et al., 1995; Kang and Lee, 2003; Kang et al., 2003), controlled atmosphere(CA) 저장(Yang, 1997) 등이며 외국의 경우 polyethylene film을 이용한 modified atmosphere 저장(Furuta et al., 1992), CA 저장(Larrigaudiere et al., 1998; Ma and Chen, 2003; Veltman et al., 2003), 1- methycyclopropene을 이용한 방법(Trinchero et al., 2004) 등이다.
최근 들어 질량 분석 기술이 발달하게 되면서 세포 내 존재하는 수많은 대사체(metabolites)를 분석 및 정량할 수 있게 되었다. 특히 gas chromatography-mass spectrometry (GC-MS)를 이용한 대사체 분석은 세포, 조직, 체액에 존재하는 저분자 화합물(분자량 100-1,000)들을 전체적으로 분석하는 기술로 생화학적 수준에서 생명체 상호간의 영향 또는 외부 화합물들과의 반응을 검토할 수 있도록 한다. 이러한 대사체학 연구는 동물, 식물, 미생물 등의 생물체를 대상으로 전 학문분야에 다양하게 적용되고 있다(Kim et al., 2009). 예를 들어, 미생물 및 식물의 계통 분류, 식물의 대사 경로 규명 및 유용 물질 생산, 신약 및 신소재 개발, biomarker 개발, 농산물 원산지 판별 등이다. 수확 후 분야에서의 대사체학 연구는 최근 들어 외국을 중심으로 연구논문이 꾸준하게 발표되고 있다. 수확 후 진행되는 생리 현상 또는 생리 장해 발생 기작, 수확 후 처리에 의한 과실의 반응 등을 세포 내 대사체 수준에서 연구하기 위해 GC-MS, NMR 등을 이용한 세포 내 전 대사체를 분석하는 것이다(Hernández- Sánchez et al., 2007; Oms-Olie et al., 2011; Pedreschi et al., 2009). 외부 환경에 대한 식물체의 반응을 대사체 수준에서의 변화를 관찰함으로써 향후 특정 유전자의 기능 규명에 활용될 수 있다(Kim et al., 2009). 하나의 유전자는 매우 다양한 기능을 갖고 또한 하나의 표현형(phynotype)으로만 나타나지 않기 때문에 대사과정의 최종 산물인 대사체를 연구하는 것은 표현형과 가장 가까운 관련 유전자를 찾을 수 있는 좋은 방법이다. 이 때문에 최근 들어 전 학문 분야에서 대사체를 연구한 논문이 지속적으로 발표되고 있다.
국내 수확 후 연구 분야에서는 아직 대사체 연구가 진행되지 않고 있다. 본 연구는 원예산물 수확 후 진행되는 다양한 생리 현상과 생리 장해 그리고 품질 변화를 대사체 수준에서 연구하고자 처음 시작되었다. 그 첫번째로 우리나라 주요 과실인 신고 배 저온 저장 시 발생하는 과피 흑변에 관여하는 세포 내 주요 대사체 변화를 GC-MS를 이용한 총 대사체 분석(untargeted analysis) 또는 HPLC를 이용한 특정성분 분석(targeted analysis)를 통하여 알아보고 얻어진 정보를 향후 수확 후 대사체 database를 구축하는데 사용할 계획이다.
재료 및 방법
실험 재료
본 실험에 사용한 공시 재료는 ‘신고’ 배로 상업적 수확 시기에 일괄 수확 후 일반 저온 저장고(온도 0°C ± 1, 상대습도 80-87%)에 약 5개월 저장하였다. 저장고에서 꺼낸 후 생리장해 증상을 관찰한 결과 과피 흑변 및 과심 갈변이 주요 생리 장해 증상이었으며 발생 비율을 전체 과실의 약 30% 정도로 주로 공기 유동이 적은 pallet 아래 부분에 적재된 과실에서 발생하였다. 과피 흑변 현상과 과심 갈변은 한 과실에서 주로 동시에 나타났다. 본 실험에서는 동일한 저장고에 저장된 과실을 대상으로 과피 흑변이 나타나지 않은 정상과(sound fruit)과 과피 흑변과(skin-blackened fruit)을 각각 30개씩 실험에 이용하였다. 실험의 오차를 최대한 줄이고자 가능한 각 과실별 동일 위치에서 시료를 채취하였다. 과피(peel of fruit)를 약 2mm 두께로 벗긴 후 cork borer를 이용하여 지름 1cm로 크기로 조직을 잘라 바로 액체 질소에 담은 후 분석에 이용하기 전까지 -80°C에 보관하였다.
Phenolic Compounds 추출 및 HPLC 분석
생체 시료 약 3g을 액체 질소에 넣고 마쇄 후 약 1g을 20 mL methanol로 추출하였다. 상온에서 20분간 ultra-sonication 후 원심 분리하여 HPLC(YL9100, Young Lin, Korea)로 분석하였다. 본 연구에서 분석한 phenolic compounds는 총 7종류로 분석조건은 다음과 같다. 이동상은 0.1% acetic aicd(A)와 acetonitrile(B)로 40분 동안 용매 B가 1mL・min-1 유속으로 20%에서 80%로 증가하도록 하였다. 사용한 column은 Waters Symmetry C18(4.6 × 250mm)이고 280nm에서 검출하였다. 자동 시료 주입기를 이용하여 시료와 표준물질 모두 10μL씩 주입하였으며 표준물질의 농도는 각각 10ppm에서 500ppm 농도로 만들어 시료의 페놀 물질 정량에 이용하였다. 본 연구에 사용한 표준 물질 및 HPLC 용매는 모두 Sigma-Aldrich와 Fisher로부터 각각 구입하였다.
Ascorbic Acid 추출 및 HPLC 분석
생체 시료 약 5g을 30mL 3% meta-phosphoric acid 용액에 놓고 균일하게 마쇄 후 거름종이로 걸러 HPLC(YL9100, Young Lin, Korea)로 분석하였다. 사용한 용매는 acetonitrile과 물을 7:3으로 섞어 1mL・min-1로 20분간 분석하였다. Waters μ-bondapack NH2(3.9 × 300mm, 10μm) column을 사용하였고 254nm에서 검출하였다.
대사체 추출 및 유도체화
대사체 추출 및 유도체화 전 과정은 Rudell and Mattheis (2009)가 제시한 방법으로 진행하였고 내부 표준 물질은 ribitol을 사용하였다. 생체시료 약 1g을 액체 질소에 넣고 마쇄 후 약 200mg을 1mL HPLC-grade methanol로 추출하였다. 유도화에 가장 문제가 되는 수분의 흡수를 최대한 줄이고자 유도체 후 바로 GC-MS로 분석하였고 유도체화 시약은 125μL의 N,O-bis(trimethylsilyl)trifluoroacetaminide(BSTFA)를 이용하였다.
GC-MS 분석
유도체 시료 0.2μL를 1:20 분할(split) 비율로GC-MS(Agilent, Atlanta, GA, USA)에 주입하여 분석하였다. 또한 미량으로 존재하는 대사체를 검출하고자 동일한 조건에서 비분할(splitless)로 각각 2번 주입하였다. 사용한 column은 30m × 0.25 i.d. fused silica capillary이고 이동상은 helium(1.0mL min-1), 주입구 온도는 150°C, column은 320°C로 1분당 15°C 증가하도록 설정하였다. Mass spectrometer(LECO, St Joseph, MI, USA)의 이온화 조건은 70eV, 검출 범위는 20-500m/z이다. GC-MS로 검출된 물질들은 NIST(national institute of standard and technology) data library를 이용하여 정성하였다.
통계분석
통계분석을 하기 전에 각 시료의 GC/MS data(time vs intensity)를 ASCII file로 변환하였고 시료간의 차이로 인한 오차를 줄이고자 전체 intensity의 합을 각각의 변수로 나누어 normalization한 후 SAS(Institute, Cary, NC, USA)로 분석하였다. HPLC분석은 3반복 이상 하였고 phenolic compounds 함량은 Duncan’s multiple range test(p < 0.05)에서 평균값을 비교하였다. 그래프는 SigmaPlot 프로그램(Ver. 10.0, Systat Software, Inc., Chicago, IL, USA)를 사용하였다.
결과 및 고찰
Phenolic Compounds 함량 비교
Fig. 1은 7개의 표준물질을 methanol에 녹여 분석한 결과로 catechin, epicatechin, caffeic acid, chlorogenic acid, quercetin 3-glucoside, coumaric acid, phlroridzine 순으로 분리되었다. 또한 본 연구에서 사용한 HPLC 조건으로 10분 내에 모든 phenol 물질이 분석 가능하였다. 배 과피에서 조사된 phenols 중 chlorogenic acid가 주요 phenol 물질이며 건전과 과피의 phenolic compounds 함량이 흑변과 과피보다 높게 나타났다(Table 1). Quercetin과 phlroridzine은 모든 시료에서 검출되지 않았다. 과실 변색은 phenolic compounds의 산화(oxidation)에 의한 결과로 일반적으로 변색이 발생한 조직은 그렇지 않은 조직보다 총 phenolic compounds 함량이 높은 것으로 알려져 있다(Franck et al., 2007; Larrigaudiere et al., 1998; Park, 1999; Seo et al., 2001). 본 연구에서는 과육을 제외한 과피 조직의 free phenolic compounds를 조사한 것으로 정상 조직이 흑변 조직보다 높게 나타났다. 이러한 결과는 과피 및 과육 조직의 특이성, free한 형태의 phenolic compounds가 conjugated 형태로 바뀌면서 methanol에 추출되지 않았을 가능성, 그리고 본 연구에서 분석된 7개의 phenolic compounds 이외에 다른 phenolics이 과피 흑변에 관여했을 가능성 등 여러 원인이 제기될 수 있다. 과실 변색은 phenolic compounds 함량, PPO 활성과 관련이 있다고 보고되어 왔지만 사과의 경우 품종에 따라 이들은 정의 상관관계 또는 부의 상관관계를 보인다고 하였다(Coseteng and Lee, 1987). 실제 식물체 내의 phenolic compounds를 추출하는데는 추출용매 종류, 두 가지 용매를 섞어서 추출 시 용매의 비율, 추출시간 등이 영향을 미쳐 이에 따라 phenolic compounds가 달리 검출된다. 따라서 단순한 용매추출이 아닌 subcritical water 추출법, supercritical fluid 추출법, pressurized fluid 또는 accelerated solvent 추출법, ultrasound- assisted 추출법 등 다양한 방법이 이용되고 있다(Dai et al., 2010). 향후 과실 변색과 관련된 phenolic compounds 연구는 위와 같이 다양한 방법으로 추출 및 연구가 되어야 관련물질을 최대한 밝힐 수 있을 것으로 판단된다. 또한 흑변 조직을 현미경으로 관찰하면 과피 표피층 세포들이 많이 붕괴되고 과육 세포들은 크기가 불규칙하고 세포 간극이 정상과에 비하여 상대적으로 크다(Kang and Lee, 2003). 이러한 조직의 차이는 세포막(cell membrane)의 붕괴로 세포 내의 phenolic compounds가 산화되기 쉬운 상태로 노출되게 하고 액포 내 존재하는 PPO가 세포질로 유출되어 과피 흑변과 같은 변색이 발생하는 것이다. 최근 Hernández-Sánchez et al.(2007)은 NMR을 이용하여 과육 갈변이 발생한 배 조직을 관찰하여 세포막이 변형되고 붕괴된 것을 확인하였다.
GC-MS를 이용한 대사체 분석
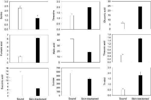
과실은 당을 포함한 유기물 함량이 매우 높아 GC-MS를 이용한 대사체 분석 시 분할 및 비분할 방식으로 각각 시료를 주입하여야 한다. Fig. 2는 비분할 방식으로 분석한 chromatogram으로 26분에서 30분 사이에 당 성분들이 overload되어 1:20의 비율로 다시 분할 주입하여 개개의 당 성분들을 정성하였다. 그 결과 본 연구에서는 약 60여 개의 대사체를 검출하였고 NIST data library로 정성이 가능한 40개의 대사체를 Table 2에 나타내었다.
검출된 대사체는 크게 아미노산 11개, 유기산 10개, 당 9개, 당 알코올 4개, 지방산 3개, 그리고 페놀 3개로 크게 5 그룹으로 나눌 수 있으며 이 중 serine, threonine, fumaric acid, gluconic ac10id, malic acid, succinic acid, threonic acid 등이 건전과 및 과피 흑변과에서 차이를 보이는 주요 대사체로 조사되었다(Fig. 3). 건전과는 흑변과에 비해서 총 대사체 함량이 상대적으로 높았는데 이는 세포 대사가 정상적으로 이루어지고 있음을 의미한다. 아미노산 serine은 건전과에서 threonine은 흑변과에서 상대적 함량이 높았다. 건전과와 흑변과에서 큰 차이를 보이는 대사체는 바로 호흡과 에너지 대사에 관여하는 대사체인 fumaric acid, malic acid, succinic acid이다. 건전과는 malic acid와 succinic acid가 과피 흑변과는 fumaric acid 함량이 각각 높았다. 또한 threonine, gluconic acid, threonic acid, 그리고 threitol은 과피 흑변과에서 높게 조사되었다.
|
Fig. 4. Ascorbic acid contents (mg・100 g-1 fresh weight) in peel extracts of sound and skin-blackened pears.z |
서양 배 내부 갈변을 유발하는 대사체 연구에서도 비슷한 결과가 보고 되었다(Pedreschi et al., 2009). 세포 내 비정상적인 대사를 유발할 수 있는 환경 예를 들어 낮은 산소 및 높은 이산화탄소 농도, 높은 에틸렌 농도와 같은 외부 환경에 노출되면 세포는 정상적인 대사 과정을 진행할 수 없게 된다. 가장 먼저 진행되는 비정상적인 대사 과정은 바로 호흡 및 에너지 생산 과정으로 알려져 있다. Arabidopsis를 비롯한 많은 식물체에서 비정상적인 호흡이 진행되면 fumaric acid를 malic acid로 전환시키는 효소 fumarase가 down-regulation 되어 세포 내 fumaric acid가 축적된다고 한다(Sweetlove et al., 2002). 본 연구에서도 건전과는 malic acid가 과피 흑변과는 fumaric acid 함량이 각각 높았다. 본 연구의 경우 저온 저장고 적재 시 pallet 아래 부분에 적재되어 공기의 유동이 낮아 높은 이산화탄소 및 에틸렌 조건에 장기간 노출되었을 것으로 추정되는 과실에서 주로 과피 흑변이 조사되었다. 이러한 외부 환경은 세포 내 비정상적인 대사를 유발하여 결국 신고 배 과피 흑변을 유발하는 주요 외부 요인으로 작용했을 것으로 추정된다.
Gluconic acid가 과피 흑변과에서 높은 것은 다음의 연구 결과로 미루어 보아 세포 내 항산화 능력 결여로 추정할 수 있다. 배 과심 갈변이 나타난 조직은 정상조직보다 훨씬 낮은 ascorbic acid 함량을 보이며 이의 분해 산물인 gluconic acid가 다량 축적되었다는 보고가 있다(Pedreschi et al., 2009; Veltman et al., 2003). 실제로 Pedreschi et al.(2009)은 ascorbic acid 합성 효소들의 down-regulation을 갈변과에서 확인하였다. 이외에 threonic acid, threitol 함량이 과피 흑변과에서 높았는데 이들도 세포의 항산화 능력 결여로 증가한 것으로 추정할 수 있다.
Ascorbic Acid 함량
본 연구에서는 항산화 능력과 관련 있는 ascorbic acid를 건전과와 과피 흑변과에서 각각 조사하였다(Fig. 4). 예상했던 바와 같이 건전과에서 ascorbic acid 함량이 2배 이상 높았다. 과실의 수확 후 생리장해는 겉으로 보이는 외관적 품질을 저하시킬 뿐만 아니라 영양학적 가치도 감소시키는 것을 확인할 수 있었다.
과실 생리 장해 발생 원인과 기작을 세포 차원에서 정확하게 이해하는 것은 향후 수확 후 관리 기술을 향상시키고 더 나아가 유전 및 육종 분야에 연계하여 좋은 품질의 원예 작물을 육성할 수 있는 밑거름이 될 것이다. 특히 GC-MS, NMR, tandem-LC-MS 등의 질량분석기를 이용한 high-throughput analysis를 통한 대사체 연구는 세포 내 발생하는 생리 현상을 좀 더 깊이 들여다 볼 수 있게 해줌으로써 기존에 알지 못했던 다양한 정보를 얻을 수 있도록 해줄 것이다. 본 연구를 시작으로 각 원예 작물별 주요 수확 후 생리 및 품질 관련 대사체 database가 향후 구축이 된다면 수확 후 관리 기술 향상은 물론이고 신선도가 오래가는 새로운 작물 육종, 신선 marker 개발 등 다방면으로 활용될 수 있을 것으로 기대한다.






