서 언
재료 및 방법
식물재료 및 재배조건
토양의 토성 및 화학성 분석
엽록소형광 분석
광합성효율 분석
생육특성 및 가용성 고형물 함량 조사
식물체 내 무기성분 함량의 분석
통계분석
결 과
라이시미터 내 대기 환경요인의 변화
토양유형별 토성 및 화학적 특성
토양 유형별 배추의 광계II 활성과 광합성의 변화
토양 유형별 배추의 생육 특성
토양 유형별 배추의 무기물 함량
고 찰
서 언
토양은 작물 생육에 필요한 유효 양분과 적절한 양의 수분을 보유하면서 기체 교환을 원활히 할 수 있는 조건을 갖추고 있을 때, 작물의 생육 배지로서 역할을 충분히 수행할 수 있다. 토양의 물리적 성질은 토성과 토양 구조에 의하여 지배되는데, 토성이 불량한 토양이라 할지라도 토양의 1차 입자들이 입단을 이루어 구조가 잘 발달한 경우에는 작물 생육에 유리한 물리적 성질이 발현될 수 있다.
제주도는 우리나라 면적의 1.8%에 불과하나, 토양의 종류는 우리나라 토양통 405종 가운데 63종으로 약 15.6%를 차지할 정도로 다양하다(Song et al., 2005; Hyun et al., 2009; NAAS, 2014). 63종의 제주 토양은 크게 흑색 화산회토양(21%), 농암갈색 화산회토양(41%), 암갈색 비화산회토양(17%), 산악지 토양(21%) 유형으로 구분하며, 화산회토양과 비화산회토양의 일부가 농경지로 이용되고 있다. 화산회토양은 이미 생성된 토양 위에 화산재가 퇴적되면서 생성된 토양으로 주로 흑색이나 농암갈색과 같이 어둡고 짙으며, 유기물 함량은 높으나 토양입자와 강하게 결합하여 식물이 이용하기 어렵고, 비화산회토양에 비해 비옥도가 떨어지고 인산 흡착력이 강한 것으로 알려져 있다(Song et al., 2010). 이에 반해 비화산회토양은 암석의 풍화작용으로 형성되었고 암갈색을 띄고 제주도의 북부와 서부 지역에 주로 분포하고 있으며, 화산회토양에 비해 비료 요구도가 상대적으로 낮고 작물 생산성이 높은 편이다(Hyun, 2011). 상품성이 좋은 채소작물을 생산하기 위해서는 우선적으로 재배지역의 토양에 알맞은 작물을 선택하는 것이 중요하며, 토양의 특성에 따라 작물의 재배방법도 달라져야 한다. 따라서 제주지역에 분포하고 있는 토양유형별 재배작물의 수확량과 품질에 미치는 영향을 이해하는 것은 농업의 지속 가능성을 개선하기 위해서 중요하다.
제주에서 재배되고 있는 주요 채소작물은 마늘(Allium sativum L.), 양파(A. cepa L.), 배추(Brassica campestris L. subsp. napus var. pekinensis Makino), 양배추(B. oleraceae L. var. capitate L.), 브로콜리(B. oleracea L. var. italic L.), 당근(Docus carota L.), 무(Raphanus sativus L. var. hortensis Backer) 등이며, 육지부의 생산 작형과는 달리 노지에서 월동 재배가 주로 이루어지고 있으며 육지부의 시설 재배나 저장 채소보다 신선도가 높은 장점이 있다(Lee, 2018). 특히, 배추는 십자화과(Cruciferae)에 속하는 두해살이 잎줄기채소로 국내에서 소비량이 가장 많은 대표적인 채소이다. 배추는 김장용으로 주로 가을에 재배됐으나 최근 식생활의 변화로 계절에 상관없이 재배 가능한 다양한 품종들이 개발되어 연중 출하가 가능하게 되었다. 그리고 배추는 재배시기에 따라 봄배추, 여름배추, 가을배추, 월동배추로 구분하고, 결구 형태에 따라 결구형, 반결구형, 불결구형으로 분류된다(RDA, 2002). 제주도는 아열대 기후대로 겨울철 온도가 높아 전라남도 해남과 더불어 월동배추의 재배 면적과 생산량이 다른 작형에 비해 월등히 많은 편이다(Ko and Kim, 2013).
본 연구에서는 배추의 생산성 및 품질 향상을 위한 토양 개선과 재배 시 관리방법을 평가하기 위하여 제주지역의 토양유형별(흑색 화산회토양, 농암갈색 화산회토양, 암갈색 비화산회토양)로 결구형의 월동배추를 재배하여 광합성, 생산성 및 무기성분 함량을 비교 분석하였다.
재료 및 방법
식물재료 및 재배조건
본 실험은 농촌진흥청 국립원예특작과학원 온난화대응농업연구소(N33°28' E126°31', 200m above sea level, Jeju, Korea)의 토층별 토양수분의 변화를 파악할 수 있도록 토양수분센서(Sentec Pty Ltd., Australia)가 장착된 콘크리트 구조물의 라이시미터 시설을 이용하여 수행하였다. 공시작물인 배추(Brassica campestris L. subsp. napus var. pekinensis Makino)는 뿌리혹병에 잘 견디며, 추대가 비교적 늦고 저온 약광 조건에서도 결구력이 양호한 ‘대통’(cv. Detong)을 사용하였으며, 육묘용 플러그 트레이에 종자를 1립씩 파종하여 30일간 키운 유묘 중에 본엽이 3 ‑ 4매 나온 균일한 개체들을 선발하여 화산회토양(흑색 및 농암갈색) 또는 비화산회토양(암갈색)이 채워진 라이시미터(1.8 × 1.8 × 0.8m)에 정식하였다. 라이시미터 내 토양은 20cm 깊이로 경운한 후 20cm 높이의 두둑을 3열로 만들어서 30 × 30cm 간격으로 배추를 정식하여 4개월간 재배하였으며, 총 18개의 라이시미터를 이용하여 토양유형별로 6반복 배치하여 수행하였다.
시비는 배추를 정식하기 20일 전에 돈분 발효 퇴비(20kg·100m-2)와 복합비료(NPK 21-17-17, 5.2kg·100m-2)를 시용하고 토양과 고르게 혼합하였으며, 토양수분은 재배기간 동안 3 ‑ 4일 간격으로 1m 높이에 설치된 노즐 관수장치를 통해 1.0 × 1.0cm 간격으로 균일하게 살수하였다. 그리고 작물 병 방제를 위하여 재배기간 중에 저독성 약제인 사이아조파미드 수화제(4-chloro-2-cyano-N,N-dimethyl-5-p-tolylimidazole-1-sulfonamide, 0.01g·L-1, Kyung-Nong Co., Seoul, Korea), 만코제브 수화제(Disodium-ethylene-bis-dithiocarbamate, 2.0g·L-1, Kyung-Nong Co., Seoul, Korea), 클로로탈로닐 수화제(2,4,5,6-tetrachloro-isophthalonitrile, 0.03g·L-1, Syngenta, Seoul, Korea)를 각각 1회 살포하였다.
온도와 일사량은 지상부로부터 2.5m 높이에 설치한 온도센서(1400-101, LI-COR Inc., Lincoln, USA)와 광센서(LI200X, LI-COR Inc., USA)를 이용하여 측정하였으며, 데이터로거(CR1000, Campbell Scientific Inc., Logan, USA)에 연결하여 1시간 간격으로 저장하였다.
토양의 토성 및 화학성 분석
토양 분석은 라이시미터에 채워진 흑색 화산회토양, 농암갈색 화산회토양, 암갈색 비화산회토양을 각각 6반복으로 채취하여 실시하였다. 토양 시료는 배추 유묘를 정식하기 전인 9월 초순에 표토층(0 ‑ 20cm)을 채취하여 풍건시킨 후에 2mm 체를 통과시키고, 농촌진흥청 농업과학기술원 표준분석법에 준하여 분석하였다(NIAST, 2000). 토양의 입경은 micro-pipette 법을 이용하여 점토, 미사, 모래 함량을 측정하였다.
토양산도(pH)와 전기전도도(electrical conductivity, EC)는 토양과 증류수의 비를 1:5로 하여 1시간 동안 진탕시킨 후 각각 pH 미터(Five Easy Plus FP20, Mettler Toledo, Greifensee, Switzerland)와 전기전도도계(InoLab Cond Level 1, Wissenschafilich Technishe Werkstatten, Weiheim, Germany)를 이용하여 측정하였다. 토양 유기물(organic matter: OM) 함량은 Tyurin 법, 전질소(total nitrogen: T-N) 함량은 Kjeldahl 법, 유효인산(available phosphate: Av-P2O5)은 Lancaster 법에 의해 비색계(UV/VIS spectrometer Cary 100, Agilent, Santa Clara, USA)를 사용하여 분석하였다. 토양 내 치환성 양이온(K, Ca, Mg)은 1M ammonium acetate(pH 7.0)로 추출하여 유도결합플라즈마 분광광도계(Inductively Coupled Plasma Spectrophotometry-Mass, ICP-Integra XL, GBC Scientific Equipment Pty Ltd., Victoria, Australia)를 이용하여 분석하였다.
엽록소형광 분석
엽록소형광 분석은 식물효율성분석기(Plant Efficiency Analyzer, Hansatech Instrument Ltd., King's Lynn, UK)를 이용하여 실시하였다. 즉, 배추 유묘를 정식 후 80 ‑ 90일의 맑은 날에 바깥쪽으로부터 8 ‑ 10번째 위치한 녹색의 성숙한 잎을 대상으로 20분간 광을 차단하여 배추 잎을 암적응시킨 후 1,500µmol·m-2·s-1의 광량을 5초간 조사하여 OJIP 곡선을 유도하였다. 이때 time scale은 10µs에서 1s의 범위로 설정하고, 10µs에서 2ms까지는 1µs 단위로, 2ms에서 1s까지는 1ms 단위로 인식하도록 하였다. 유도된 OJIP 곡선으로부터 Fo, Fm, Fv/Fm, Fv/Fo등의 형광변수를 산출하여 광계II 활성을 분석하였다(Strasser and Strasser, 1995). 그리고, 엽록소형광을 측정한 잎을 대상으로 엽록소계(SPAD-502, Minolta Co., Ltd., Osaka, Japan)를 사용하여 SPAD 값을 측정하였다.
광합성효율 분석
광합성효율은 휴대용 CO2 분석장치(LCpro+ Portable Photosynthesis System, ADC BioScientific Ltd., Hoddesdon, UK)를 사용하여 배추 유묘를 정식 후 80 ‑ 90일의 맑은 날에 바깥쪽으로부터 8 ‑ 10번째 위치한 녹색의 성숙한 잎을 대상으로 측정하여 분석하였다. 광합성률(photosynthetic rate, A)은 배추 잎을 잎 챔버에 물려 5분간 안정화시키고, 20 ± 1°C 엽온, 400ppm CO2 농도 하에서 1,300µmol·m-2·s-1의 포화광을 비추어 CO2 흡수량을 측정하였다(Oh et al., 2015, 2017). 동일한 조건에서 증산률(transpiration rate, E), 기공전도도(stomatal conductance, gs), 엽육세포간극 내 CO2 농도(intercellular CO2 concentration, Ci), 주변 공기의 CO2 농도(ambient CO2 concentration, Ca) 등도 측정하였다. 그리고 수분이용효율(water use efficiency, WUE)은 증산률에 대한 광합성률로, 기공제한(stomatal limitation, Ls)은 1-(Ci·Ca-1)로 계산하고 백분율로 환산하여 제시하였다. 호흡률(dark respiration, Rd)은 광합성률 측정시와 같은 조건에서 포화광을 비추는 대신에 암조건을 유지하여 CO2 방출량을 측정하였다.
생육특성 및 가용성 고형물 함량 조사
배추는 정식 후 110일에 토양유형별로 각각 6개체를 무작위로 선발하여 수확하고, 결구 높이와 폭, 뿌리의 길이, 바이오매스, 엽수와 엽면적, 가용성 고형물 함량 등의 생육 특성을 조사하였다. 바이오매스는 지상부와 뿌리로 구분하여 각각 생체중을 측정한 후, 70°C 항온건조기에서 5일간 건조시켜 건물중을 조사하였다. 엽수는 잎의 길이가 1cm 이상인 것을 모두 조사하였고, 엽면적은 이들 잎을 엽면적계(LI-3100, Li-Cor Inc., Lincoln, Nebraska, USA)로 측정하였다. 배추 결구엽의 가용성 고형물 함량은 외엽을 제거하고 결구 부분을 통째로 착즙하여 굴절당도계(PAL-1, Atago, Tokyo, Japan)를 이용하여 조사하였다.
식물체 내 무기성분 함량의 분석
식물체 내 전질소(T-N)와 유효인산(Av-P2O5), 그리고 무기성분 함량은 파종 후 110일에 수확한 배추 결구를 대상으로 농촌진흥청 농업과학기술원 표준분석법에 준하여 분석하였다(NIAST, 2000). 배추 결구엽을 건조하고 소형파쇄기(HR2860, Philps, China)로 균일하게 마쇄하여 분석시료로 사용하였다. 전질소 함량은 Kjeldahl 법, 유효인산은 Lancaster 법에 의해 분석하였으며, 치환성 양이온(K, Ca, Mg, Na)과 미량원소(Fe, Mn, Zn, Cu)는 분해용액(HN03:H2SO4:HClO4=10:1:4)을 첨가하여 전처리 및 여과과정을 거친 후 유도결합플라즈마 분광광도계(Inductively Coupled Plasma Spectrophotometry-Mass, ICP-Integra XL, GBC Scientific Equipment Pty Ltd., Victoria, Australia)를 이용하여 분석하였으며, 건물중 g당 함량으로 제시하였다.
통계분석
모든 통계분석은 SPSS 통계 패키지 18.0(SPSS, Chicago, IL, USA)를 이용하여 수행하였으며, 일원배치 분산분석 및 Duncan의 다중검정(p < 0.05)으로 평균치 간의 차이에 대한 유의성을 검정하였다.
결 과
라이시미터 내 대기 환경요인의 변화
월동배추를 재배하는 동안 라이시미터 내 대기 환경요인으로 일일적산일사량, 상대습도, 기온의 변화를 살펴보았다(Fig. 1). 생육 기간의 일일적산일사량은 기복이 심하였으며, 9월 이후부터 점차적으로 낮아져 12월에 10MJ·m-2 이하로 가장 낮았고 이후에는 차츰 높아져 10MJ·m-2를 상회하였다(Fig. 1A). 상대습도는 생육 전기간 대체로 60%를 상회하였으며(Fig. 1B), 일평균 기온은 12.8°C(일최저평균 10.1°C, 일최고평균 15.5°C)를 나타내었다(Fig. 1C). 그리고 12월 초순부터 1월 하순까지는 일평균 10°C 이하의 온도에 노출된 날이 47일이며, 5°C 이하의 온도에 노출된 날도 7일이나 되었다.

Fig. 1
Changes in daily mean solar radiation (A), daily mean relative humidity (B), and daily air temperature (C) in field lysimeters filled with different types of soils used for Chinese cabbage (Brassica campestris subsp. napus var. pekinensis cv. Detong) cultivation during the experimental period (September 2014 – January 2015). The arrows in (A) indicate the days when young seedlings were planted and experimental measurements were carried out in situ.
토양유형별 토성 및 화학적 특성
실험에 사용한 흑색 화산회토양, 농암갈색 화산회토양, 암갈색 비화산회토양 모두에서 미사의 함량이 50%를 상회하였으며, 화산회토양은 비화산회토양에 비해 모래가 상대적으로 더 많은 미사질양토이고, 비화산회토양은 점토가 상대적으로 더 많은 미사질식양토로 나타났다(Table 1). 토양산도는 pH 5.24 ‑ 5.87로 화산회토양과 비화산회토양 모두 산성으로 나타났고, 전기전도도는 0.17 ‑ 0.37dS·m-1로 화산회토양이 비화산토양보다 1.4 ‑ 2.2배 더 높았다. 유기물과 전질소 함량은 화산회토양이 암갈색 비화산회토양보다 높고 흑색 화산회토양이 농암갈색 화산회토양보다 더 높았다. 그리고, 유효인산(Av. P2O5)과 Ca 함량은 농암갈색 화산회토양과 암갈색 비화산회토양이 흑색 화산회토양보다 2배 이상 더 높았으며, Mg은 암갈색 비화산회토양이 화산회토양에 비해 더 높았다. K 함량은 토양 유형에 관계없이 유사하였다(Table 2). 이러한 토양의 화학적 성질을 배추 주산지 밭토양의 적정기준(NAAS, 2010)과 비교하여 보았을 때, 화산회토양(흑색 및 농암갈색)과 비화산회토양(암갈색)의 화학적 특성은 전기전도도만 적정 기준 범위로 나타났으며, 모든 토양에서 토양산도와 유효인산 함량이 낮았다. 그리고 유기물 함량은 암갈색 비화산회토양에서는 적정기준 범위보다 다소 낮았으나 화산회토양(흑색 및 농암갈색)은 매우 높은 함량을 보였다. K 함량은 모든 토양에서 적정 기준 범위보다 다소 높았다. Ca 함량은 농암갈색 화산회토양에서는 적정 범위를 보였으며, 흑색 화산회토양과 암갈색 비화산회토양에서는 크게 낮았다. Mg은 암갈색 비화산회토양에서 적정 범위에 있으나 화산회토양에서는 낮은 함량을 보였다. 특히 흑색 화산회토양은 Mg 함량이 매우 낮았다.
Table 1.
Textures of soils used for Chinese cabbage (Brassica campestris subsp. napus var. pekinensis cv. Detong) cultivation
| Soil types |
Sand (2.0 ‑ 0.05 mm) |
Silt (0.05 ‑ 0.002 mm) |
Clay (0.002 mm) | Texture class | |
| Volcanic ash | Black soil (BS) | 24.1z ay | 63.7 a | 12.2 b | SiL |
| Very dark-brown soil (VDBS) | 22.0 b | 63.9 a | 14.1 b | SiL | |
| Nonvolcanic ash | Dark-brown soil (DBS) | 11.2 c | 52.7 b | 36.1 a | SiCL |
Table 2.
Chemical characteristics of soils used for Chinese cabbage (Brassica campestris subsp. napus var. pekinensis cv. Detong) cultivation
| Soil types |
pH (1:5) |
EC (dS·m-1) |
OM (g·kg-1) |
T-N (g·kg-1) |
Available P2O5 (mg·kg-1) |
K (cmol·kg-1) | Ca (cmol·kg-1) |
Mg (cmol·kg-1) | |
| Volcanic ash | BS | 5.24z cy | 0.37 a | 87.5 a | 5.5 a | 10.6 c | 0.95 a | 1.55 c | 0.45 c |
| VDBS | 5.87 a | 0.23 a | 72.7 b | 4.1 b | 29.6 a | 1.01 a | 6.06 a | 1.12 b | |
| Nonvolcanic ash | DBS | 5.51 b | 0.17 a | 17.2 c | 1.0 c | 22.0 b | 1.28 a | 3.17 b | 1.60 a |
| Optimum ranges for Chinese cabbage cultivationx | 6.0 ‑ 6.5 | < 2.0 | 25 ‑ 35 | - | 350 ‑ 450 | 0.65 ‑ 0.80 | 5.00 ‑ 6.00 | 1.50 ‑ 2.00 | |
ySignificant differences among treatments (p < 0.05) by Duncan’s multiple range test are indicated by the different letters within each column.
xChemical characteristics of open field soils optimal for crop cultivation were cited from National Academy of Agricultural Science (2010).
토양 유형별 배추의 광계II 활성과 광합성의 변화
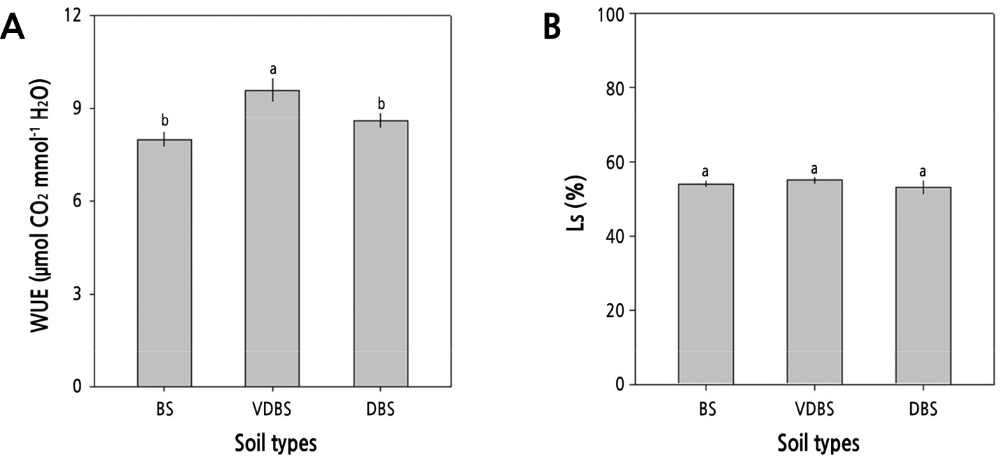
토양유형별 배추 잎의 OJIP 곡선의 변화와 광계II 활성, 그리고 광합성률의 변화를 살펴보았다(Figs. 2 and 3). OJIP 곡선은 O, J, I-단계에서의 엽록소형광밀도가 농암갈색 화산회토양에서 다소 낮았으며, P-단계에서의 엽록소형광밀도는 암갈색 비화산회토양에서 월등히 높게 나타났다(Fig. 2A). 그리고 OJIP 곡선으로부터 유도해 낸 형광변수들 중에 초기형광수율(Fo)은 농암갈색 화산회토양에서 다소 낮았으며(Fig. 2B), 최대형광수율(Fm)은 암갈색 비화산회토양에서 높았다(Fig. 2C). 광계II의 최대 광화학적 효율(Fv/Fm)은 농암갈색 화산회토양과 암갈색 비화산회토양에서 다소 높지만 모든 토양에서 0.8 이상으로 안정된 값을 보였다(Fig. 2D). 그리고 광계II의 잠재적 광합성능(Fv/Fo)은 농암갈색 화산회토양과 암갈색 비화산회토양이 흑색 화산회토양보다 더 높았다(Fig. 2E). 배추 잎의 SPAD 값은 모든 토양에서 55 이상으로 나타나 토양 유형 간에 유의한 차이를 보이지 않았다(데이터 미제시). 그리고, 광합성률(A)과 호흡률(Rd)은 암갈색 비화산회토양에서 다소 높으나 토양 유형 간에 통계적으로 유의한 차이가 없었으며(Fig. 3A and 3B), 증산률(E)과 기공전도도(gs)는 농암갈색 화산회토양에서 다소 낮았으나 통계적으로 유의한 차이를 보이지 않았다(Fig. 3C and 3D). 반면에 수분이용효율(WUE)은 농암갈색 화산회토양에서 다소 높았으며, 기공제한(Ls)은 토양 유형 간에 유의한 차이를 보이지 않았다(Fig. 4).

Fig. 2
Chlorophyll a fluorescence O-J-I-P transient curves (A) and parameters (Fo, Fm, Fv/Fm, and Fv/Fo; B-E) from dark-adapted leaves of Chinese cabbage (Brassica campestris subsp. napus var. pekinensis cv. Detong) plants grown for 80 - 90 days in different types of soils. Each column and error bar represents the mean ± SE of ten replicates. The different letters above bars indicate significant differences among treatments (p < 0.05) by Duncan’s multiple range test.

Fig. 3
Photosynthetic rate (A), dark respiration (B), transpiration rate (C), and stomatal conductance (D) from leaves of Chinese cabbage (Brassica campestris subsp. napus var. pekinensis cv. Detong) plants grown for 80 - 90 days in different types of soils. Each column and error bar represents the mean ± SE of 14 replicates. The different letters above bars indicate significant differences among treatments (p < 0.05) by Duncan’s multiple range test.

Fig. 4
Water use efficiency (A), and stomatal limitation (B) from leaves of Chinese cabbage (Brassica campestris subsp. napus var. pekinensis cv. Detong) plants grown for 80 - 90 days in different types of soils. Each column and error bar represents the mean ± SE of 14 replicates. The different letters above bars indicate significant differences among treatments (p < 0.05) by Duncan’s multiple range test.
토양 유형별 배추의 생육 특성
토양 유형이 배추 생육에 미치는 영향을 살펴보면, 지상부와 지하부 모두 농암갈색 화산회토양에서 생육이 양호하였으며, 흑색 화산회토양과 암갈색 비화산회토양에서는 저조하였다. 농암갈색 화산회토양에서 지상부의 생체중과 건물중이 더 클 뿐만 아니라 엽면적이 더 넓고 엽수 또한 많았으며, 결구의 높이와 폭도 각각 1.7배와 1.3배 이상 증가하였다. 그리고 농암갈색 화산회토양에서 재배하였을 때 엽수가 30% 이상 많았으며, 엽면적도 2배 이상 증가하였다(Table 3). 지하부의 생체중과 건물중도 흑색 화산회토양과 암갈색 비화산회토양에서 재배하였을 때보다 농암갈색 화산회토양에서 재배되었을 때 1.6배 이상 더 무거웠다. 뿌리의 길이는 농암갈색 화산회토양과 암갈색 비화산회토양에서 재배하였을 때 다소 길었으나 토양 유형 간에 통계적 유의성은 없었다. 그러나 가용성 고형물 함량은 흑색 화산회토양과 암갈색 비화산회토양에서 재배하였을 때 높고 농암갈색 화산회토양에서는 낮았다. 또한, 지상부와 지하부의 수분함량도 농암갈색 화산회토양에서 다소 높았다.
Table 3.
Growth characteristics of Chinese cabbage (Brassica campestris subsp. napus var. pekinensis cv. Detong) plants grown for 110 days in different types of soils
| Plant part | Soil types |
Length (cm) |
Diameter (cm) |
Fresh weight (g/plant) |
Dry weight (g/plant) |
No. of leaves (ea/plant) |
Leaf area (cm2/plant) |
Soluble solids content (°Brix) |
Water content (%) |
| Head | BS | 10.0 b | 39.9 b | 303.3z by | 30.0 b | 52.0 ab | 4452.1 b | 8.2 a | 90.1 a |
| VDBS | 17.7 a | 54.3 a | 810.8 a | 75.0 a | 69.7 a | 9923.1 a | 6.3 b | 90.7 a | |
| DBS | 8.9 b | 40.5 b | 300.0 b | 32.0 b | 51.2 b | 4286.9 b | 7.1 ab | 89.3 b | |
| Root | BS | 20.4 a | 14.2 b | 3.3 b | 76.9 b | ||||
| VDBS | 23.3 a | 28.3 a | 5.4 a | 80.7 a | |||||
| DBS | 24.4 a | 15.0 b | 3.2 b | 78.6 ab |
토양 유형별 배추의 무기물 함량
식물체 내 무기성분들 중에 T-N은 농암갈색 화산회토양에서 가장 낮았으며, 다량원소 중에는 Mg을 제외한 모든 원소들은 농암갈색 화산회토양에서 재배하였을 때 더 높았다. 반면에 미량원소 중에서 Cu는 농암갈색 화산회토양에서 재배된 배추에서 가장 높았으나 Fe, Mn, Zn는 전반적으로 낮게 검출되었다(Table 4). 기존에 보고된 배추의 무기성분 함량과 비교하였을 때(NAAS, 2010), 토양별 배추 내 T-N, Ca, Mg, Fe, Mn 함량은 모든 토양에서 1.8배 이상으로 크게 높았다. 그리고 P, K, Zn 함량은 흑색 화산회토양에서 재배된 배추에서 다소 낮지만, 모든 토양에서 기존에 알려진 함량과 유사한 범위 내에 있었다.
Table 4.
Nutrient content in heads of Chinese cabbage (Brassica campestris subsp. napus var. pekinensis cv. Detong) grown for 110 days in different types of soils
| Soil types |
Macronutrients (mg·g-1 DW) |
Micronutrients (µg·g-1 DW) |
Total content (mg·g-1 DW) | |||||||||
| T-N | P | K | Ca | Mg | Na | Fe | Mn | Zn | Cu | |||
| BS | 73.4z ay | 6.3 b | 75.4 a | 32.0 b | 8.9 a | 8.3 b | 1527.0 a | 183.7 a | 59.2 c | 2.4 b | 207.0 a | |
| VDBS | 67.5 b | 7.2 a | 77.9 a | 39.9 a | 5.8 c | 11.7 a | 1122.8 b | 67.4 b | 86.2 b | 7.6 a | 213.4 a | |
| DBS | 74.6 a | 7.0 a | 86.1 a | 32.5 b | 6.8 b | 8.2 b | 1745.0 a | 177.5 a | 109.4 a | 6.5 a | 220.2 a | |
|
Nutrient contents of Korean cabbagex | 35.8 ‑ 45.3 | 7.1 ‑ 9.7 | 67.5 ‑ 84.3 | 18.0 ‑ 26.2 | 2.8 ‑ 4.4 | - | 113 ‑ 251 | 33 ‑ 52 | 47 ‑ 131 | - | ||
yDifferent letters within each column indicate significant differences among treatments (p < 0.05) by Duncan’s multiple range test.
xNutrient contents in Chinese cabbage were cited from National Academy of Agricultural Science (2010).
고 찰
배추는 원추형의 긴 주근에 잔뿌리가 많아 토심이 깊으면서 물빠짐이 좋은 토양에서 잘 자라며, 적합한 토양산도는 pH 6.0 ‑ 6.5이며 산성이 강하면 무사마귀병과 석회결핍증이 발생할 수 있다(RDA, 2002). 제주지역의 농경지 토양 유형별로 배추를 재배하였을 때 지상부와 지하부는 모두 농암갈색 화산회토양에서 재배하였을 때 흑색 화산회토양이나 암갈색 비화산회토양에서 재배하였을 때보다 더 잘 자라고 생산성이 높았다(Table 3). 흑색 화산회토양에서는 유묘 정식 후 초기에는 생육이 빠르나 후기에 생육이 불량하여 잎이 누렇게 되는 현상이 나타났으며, 암갈색 비화산회토양에서는 전체적인 생육은 늦지만 오랫동안 녹색이 유지되는 양상을 보였다(데이터 미제시). 그리고, 농암갈색 화산회토양에서 재배된 배추는 광합성률(A)이 토양 유형에서와 통계적으로 유의한 차이는 없으나(Fig. 3), 지상부의 생장이 좋고 엽면적도 넓어(Table 3) 개체 수준에서는 광합성이 더 많이 일어나는 것으로 보이며, 작물의 생산성을 고려했을 때 농암갈색 화산회토양에서 재배하는 것이 유리한 것으로 보인다. 농암갈색 화산회토양에서의 작물 생산성은 같은 십자화과(Brassicaceae) 식물인 무(R. sativus L. var. hortensis Backer)와 제주지역의 주요 월동작물인 마늘(A. sativum L.)에서도 지상부와 지하부의 생체중, 건물중, 크기 등에 있어서 모두 높고 외관상 상품성도 좋은 것으로 보고된 바 있다(Oh et al., 2019, 2020).
일반적으로 식물이 스트레스를 받으면 초기형광수율(Fo)은 높고 최대형광수율(Fm)은 낮은 양상을 보이는데(Rascher et al., 2000), Fig. 2에서 살펴본 바와 같이 흑색 화산회토양에서 재배된 배추의 잎에서 Fo는 높고 Fm이 낮은 특성을 보여 다른 토양에서와는 달리 배추가 어느 정도 스트레스를 받는 것으로 보인다. 이는 Fig. 2A의 OJIP 곡선에서도 P-단계에서의 엽록소형광 밀도가 흑색 화산회토양에서 낮게 나타나는 것으로도 확인할 수 있다. 더욱이 스트레스 지표로 이용되고 있는 광계II의 최대 광화학적 효율(Fv/Fm)과 잠재적 광합성능(Fv/Fo)도 흑색 화산회토양에서 재배된 배추에서 낮게 나타나고 있다. 그리고 흑색 화산회토양과 암갈색 비화산회토양에서 재배된 배추는 Fig. 3과 Fig. 4에서 보는 바와 같이 기공전도도와 증산률이 증가하고 수분이용효율이 감소하여 수분요구량이 많아질 수 있음을 나타낸다. 따라서 흑색 화산회토양과 암갈색 비화산회토양에서는 배추의 생육기간에 적절한 관수를 통해 수분 스트레스에 노출되지 않도록 관리할 필요가 있다. 반면에 농암갈색 화산회토양에서 재배된 배추는 높은 수분이용효율을 나타내어 수분 손실을 줄이기 위한 생리적 작용이 수반되는 것으로 추정된다.
토양의 수분보유능은 식물이 이용할 수 있는 유효수분에 영향을 주며 이는 작물의 생산성과도 관련이 있는 바(Karhu et al., 2011), 암갈색 비화산회토양에서 작물을 재배할 때에는 충분한 수분공급이 이루어져야 할 필요가 있다. 더군다나 다른 작물들은 생육 후기 작물계수의 값이 1.0 이하로 되어 수확기에 접어들수록 물 소모량이 적어지는 것과는 달리 배추는 1.22로 높아 물 소모량이 많은 편이며(Eom et al., 2010), 수확 시까지 적절한 관개가 필요함을 알 수 있다. 본 연구에서 Table 1에서와 같이 비화산회토양은 미사질식양토로 이루어진 데 반하여 화산회토양은 미사질양토로 이루어져 토양유효수분이 많을 것으로 짐작할 수 있다. 또한, 화산회토양은 비화산회토양보다 유기물 함량이 월등히 높게 나타나(Table 2), 화산회토양에서 토양유효수분 함량이 더 높을 것임을 시사해 주고 있다(Kim et al., 2010; Moon et al., 2011). 이는 각각의 토양으로 채워진 라이시미터에 동일한 양의 물을 관수하였을 때, 흑색 및 농암갈색 화산회토양은 암갈색 비화산회토양에 비해 배수가 잘되고 보습성이 높은 것으로도 짐작해 볼 수 있다(데이타 미제시).
한편, 배추의 무기영양 성분의 함량은 우리나라 중북부 지역의 노지에서 재배된 배추에서도 재배지역간에 차이를 보이는데(Cho et al., 2010), 이는 재배지의 기상 및 토양 등의 조건에 따른 영양 성분의 변화를 살펴볼 필요가 있음을 나타낸다. 본 연구에서 배추의 무기성분들 중에 T-N은 농암갈색 화산회토양에서 낮았다. 그러나 다량원소 중에 Mg을 제외한 모든 원소들과 미량원소 중에서 Cu 함량은 농암갈색 화산회토양에서 재배된 배추에서 더 높았다. 배추의 주요 무기질 성분은 T-N, K, Ca 등인데(Seong et al., 2016), 모든 토양에서 높은 수준이었다. 그리고 기존에 보고된 배추의 무기성분 함량과 비교하였을 때(NAAS, 2010), 본 연구에서 P, K, Zn 함량은 토양 유형과 관계없이 기존에 알려진 것과 유사한 범위 내에 있었으며, T-N, Ca, Mg, Fe, Mn 함량은 모든 토양에서 더 높았다. 무기질의 생체 내에서 역할은 종류에 따라 다양하지만 pH 완충작용과 식물체 내 다양한 생리적 기능 조절이라 할 수 있으며(Sathiyavani et al., 2017), 생리활성물질의 구성성분으로 식품영양학적 측면에서도 의미가 있다(KNS, 2005). 그리고, 토양에 따라 pH나 전기전도도가 달라 배추의 주요 생리활성물질인 glucosinolate 함량에도 영향을 미칠 것으로 보인다(Shim et al., 2018). 농암갈색 화산회토양은 토양산도가 pH 5.87로 배추 생육에 가장 적합하며, 토양 내 치환성 양이온(K, Ca, Mg) 함량도 가장 높아, 식물체 대사에 중요한 역할을 수행할 것으로 보인다(Table 2). 이에 반해 암갈색 비화산회토양은 유기물과 T-N 함량이 매우 낮아 유기질 비료와 화학 비료를 보완적으로 사용하여 토양의 물리적 특성과 비옥도를 개선하고, 흑색 화산회토양은 pH가 낮고, Ca, Mg 함량이 적어 석회질 비료를 시용하여 배추 생육에 지장을 주지 않도록 할 필요가 있다.
이상의 결과를 종합해 보았을 때, 농암갈색 화산회토양에서 재배된 배추는 원활한 뿌리 성장으로 인해 수분과 양분 흡수율이 높아져 지상부의 생장이 좋고 엽면적도 넓어 개체수준에서의 광합성이 원활하게 이루어질 것으로 보인다. 반면에 흑색 화산회토양이나 암갈색 비화산회토양에서는 석회질 비료 또는 유기질 비료와 화학 비료를 보완적으로 사용하여 토양의 물리적 특성과 비옥도를 개선하고, 배추의 생육기간에 수분 스트레스에 노출되지 않도록 충분한 관수가 필요하다. 그리고, 배추의 생산성을 높이기 위해서는 생육에 최적인 농암갈색 화산회토양을 기준으로 관수나 시비 기준을 달리하여 무기성분의 변화를 분석하여 확립할 필요가 있다. 이러한 재배지 토양 유형별 작물의 특성은 고품질의 배추를 생산하고자 하는 재배농가들에게 유용한 정보로 활용될 수 있을 것으로 판단된다.


