Introduction
Materials and Methods
Plant Material and Treatments
Vegetative Growth
Leaf Area and Chlorophyll Determination
Photosynthesis and Related Parameters
Disease Infection
Fruit Yield and Quality
Fruit Mineral Analysis
Statistical Analyses
Results
Vegetative Growth
Leaf Area and Chlorophyll Content
Photosynthesis and Its Related Parameters
Diseases Infection
Yield and Fruit Quality
Fruit Minerals Concentration
Discussion
Introduction
Over the past several years, Korean apple growers have shown increased interest in organic apple production because of growing consumer?s concern regarding the negative effects of chemical pesticides in conventional apple production systems. In Korea, the Environment-friendly Agricultural Products Certification System (EAPCS) was established in 2001 to encourage the supply of safer agricultural products to consumers. The National Agriculture and Quality Management Service (NAQS) regulates organic certification, conducts organic advertising campaigns, and promotes awareness programs at the governmental level. Organic apple production system is beginning in Korea, and only a very limited number of apple growers have adopted this system.
Diseases and pests in apple orchards pose big, complex challenges to Korean apple growers becauseof weather conditions. In Korea, the summer is hot, with high relative humidity and rainfall; most of the country’s apple growing areas experience 1,000-1,300 mm annual rainfall, of which 50-60% occurs in summer (June to August), and 70-90% relative humidity (Korea Meteorological Administration). Therefore, apple growers have incorporated management tactics for organic apple production based on organic chemicals and nonchemical methods (biological agents, pheromones, fruit bagging, etc.). In organic production systems, growers have applied more than 12 sprayings of organically certified chemical compounds for disease control, based primarily on either copper (Bordeaux mixture) or sulfur (lime sulfur), horticultural oil, and several other microbial products, but have obtained only very limited success (Choi et al., 2010).
Several scientists have reported that sulfur- and copper-based organic fungicides are less effective and more phytotoxic than modern synthetic chemical fungicides (Beresford et al., 1991; Steffen et al., 2008). The application of Bordeaux mixture at temperatures above 29°C caused leaves to turn yellow and drop. Leaves also burned if rainfall occurred soon after the application (Ellis and Bradley, 1992; Ellis et al., 1991). Spraying with Bordeaux mixture left whitish dry residues on apple leaves, significantly diminished light absorption, and decreased net photosynthesis (Southwick and Childers, 1940). The components of the Bordeaux mixture, such as copper, reduced photosynthesis by destroying chloroplasts and affecting photosynthesis II activity and chlorophyll biosynthesis (Smith and Moser, 1985). In this experiment, two different pest management programs were applied in two different blocks. In the organic treatment, we followed an “organic control calendar” received from a successful organic apple grower in Gyeongbuk Province, and for the control treatment, we applied the synthetic chemicals that have been conventionally used by apple growers. Our experiment was designed to compare the effects of organic fungicides with synthetic chemicals and focused on the phytotoxicity effect of lime sulfur and Bordeaux mixture on photosynthesis, vegetative growth, and fruit quality in ‘Ryoka’/M.26 apple trees.
Materials and Methods
Plant Material and Treatments
Eight-year-old ‘Ryoka’ apple trees (Malus domestica Borkh.) on M.26 rootstock were planted with a spacing of 3.2 × 1.5 m and trained to slender spindles at the experimental orchard of Kyungpook National University. The orchard was established in an area previously covered by native grassland. For nutrition maintenance, each tree received 100 g of compound fertilizer NPK (21-17-17) in late March of the year and 5 kg of organic manure applied in February of the alternate year. Two experimental blocks were sprayed with organic fungicides or chemical fungicides as a control. Each block consisted of 13 trees with similar vigor, but only six trees from each were observed. At full bloom (April 25, 2012), crop load of each tree was adjusted to 3 fruit/cm2 trunk cross-sectional area (TCA) by hand thinning. The organic block received 12 sprayings at 7-16 day intervals, from late March to early September, 2012. The spraying schedule was adopted from that of a successful organic apple grower in Gyeongbuk Province. Organic fungicides were lime sulfur (25°B) with 1% emulsified oil, and Bordeaux mixture (6-16-1,000 or 4-12-1,000) with 1% emulsified oil. Bordeaux mixture concentration is designated by three numbers (e.g., Bordeaux 6-16-1,000), the first number is kg of copper, the second is kg of lime, and the third is liters of water. Lime sulfur was made by mixing 5 kg of sulfur powder and 2.5 kg of lime in 20 L water. Emulsified oil was made of emulsifying agent and rapeseed oil mixed at the rate of 1:4. Seven sprayings of synthetic chemicals were made in the control treatment, from April to September, at 25 day intervals. The sprayings were prepared by mixing syntheticinsecticides and synthetic fungicides, which is common in the pest management program in Korea. Treatment schedules and concentration of organic fungicides and synthetic chemicals are shown in Table 1. The sprayings were applied to both sides of the canopy to runoff using a three-point hitch PTO sprayer (Model J.D. 9-C, Nifty fifty, Rears Mfg. Co., Coburg, OR, USA). Care was taken to direct the spray plume towards the target tree and to apply the materials, if possible, in the early morning when there was little wind.
Vegetative Growth
Total shoot growth and shoot number per tree were measured after leaf fall. TCA increment was measured at 20 cm above the graft union, two times in the beginning of March (before bud-break) and late November (after leaf fall).
Leaf Area and Chlorophyll Determination
Leaf area was measured for 10 randomly selected spur leaves per tree after the full expansion of the primary leaves using a portable leaf area meter (Ci-203, CID Inc., Camas, WA, USA). The specific leaf area (cm2·mg-1) was calculated as the ratio of leaf area to leaf dry mass. Chlorophyll status was measured for the same number of leaves using a SPAD-502 (Minolta Co., Tokyo, Japan). Similarly, three fully expanded leaves were selected per replicate in each treatment and used for chlorophyll content determination. Leaf samples (10 mg) were macerated in 10 mL of 80% acetone (v/v) and centrifuged at 1,500 rpm at 4°C for 10 min; chlorophyll content was then measured using a UV-visible spectrophotometer (Shimadzu Corp., Columbia, MD, USA) at 645 and 663 nm. The chlorophyll a (Chl. a), chlorophyll b (Chl. b), and total chlorophyll content (Chl.tot) were determined using Arnon’s equation (Arnon, 1949).
Photosynthesis and Related Parameters
Photosynthesis (A), stomatal conductance (gs), and transpiration (E) were measured using a portable IRGA (LCA-4, Analytical Development Co., Hoddesdon, England). The gas-exchange system was equipped with a leaf chamber that contained 6.25 cm2 of leaf area. Measurements were performed on three well exposed and fully expanded leaves of each tree on a clear day of early afternoon (10:00 AM to 13:00 PM). Seasonal photosynthesis was measured at 10-19 day intervals, from the early June to late September. Similarly, to determine the lasting effect of photosynthesis depression due to organic fungicides, three spray applications were made in the morning on June 17, July 18, and August 26, and photosynthesis was measured three times around each application i.e. one day before spraying, on the spraying day and one day after spraying. The durations from the previous applications of organic fungicides to the applications used for these measurements were 12 days in June, 16 days in July, and 13 days in August.
Disease Infection
Disease incidences of Japanese apple rust (Gymnosporangium yamadae) and alternaria blotch (Alternaria mali) on leaves, and white rot (Botryosphaeria dothidea) and bitter rot (Glomerella cingulata) infection on fruit were observed once on September 10, 2012. One hundred leaves from three terminal extension shoots and 30 fruits from six fruiting branches were randomly selected per replication to examine disease incidence. The number of infected leaves and fruits with lesions were counted from each experimental tree to calculate the percentage of infection.
Fruit Yield and Quality
All fruits were harvested on October 6, and subjected to yield and average fruit weight measurements. A random sample of 10 fruits per tree was assessed in detail for fruit quality, including fruit color, sugar content, acidity, and firmness. Fruit color was measured of each fruit using a handy colorimeter (NR-3000, Nippon Denshoku Co., Ltd., Tokyo, Japan) for Hunter’s L, a, and b values. Fruit soluble solid concentration (SSC) was measured by using Atago refractometer (Atago,Co., Ltd., Tokyo, Japan) while titratable acidity (TA) was measured by a digital fruit acidity analyzer (Model: GMK-706R, G-WON Hitech. Co., Ltd., Seoul, Korea). Fruit flesh firmness was measured an Effegi penetrometer (EPT-1-R, Lake City Technical Products Inc., Kelowna, BC, Canada).
Fruit Mineral Analysis
After the assessment of fruit quality fruit flesh beneath the peel was taken from the two opposite sides (sunny and shadow). Sample cuts were grinded into a fine powder after at 75°C up to 4 days and used for mineral analysis. Nitrogen was quantified using vario Max CN element analyzer-CHNOS (Elementar Analysensysteme GmbH, Germany). Phosphorus (P), potassium (K), calcium (Ca), magnesium (mg), iron (Fe), manganese (Mn), copper (Cu), and zinc (Zn) contents were determined by using USEPA, 3051 (microwave, HNO3-HCl) acid digestion method at the laboratory of Gyeongsangbukdo Agricultural Research & Extension Services.
Statistical Analysis
The data were analyzed using the PROC GLM and ANOVA functions of SAS version 9.3 (SAS Institute, Cary, NC, USA). All means were compared by using t-test at p = 0.05, 0.01, or 0.001.
Results
Vegetative Growth
No significant differences were observed in vegetative growth parameters, including total shoot growth, shoot number, and increment of TCA (data not shown), were observed between the organic and control treatments.
Leaf Area and Chlorophyll Content
Leaf area was significantly smaller in the organic treatment than in the control, but specific leaf area and SPAD values were not significantly different between the two treatments (Table 2). The total chlorophyll content was significantly higher in the control leaves than in the organic leaves, and Chl. a was also lower in the organic leaves than in the control, which led to a higher chlorophyll ratio (Chl. a /b) in the control treatment (Table 3).
Table 2. Leaf characteristics and SPAD values of ‘Ryoka’/M.26 apple trees in organic and control treatments.
| |
NS, *Nonsignificant or significant at p ≤ 0.05. | |
Photosynthesis and Its Related Parameters
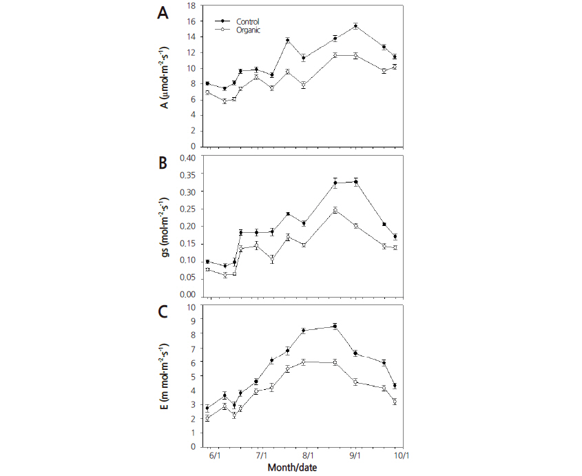
Over the growing season, photosynthesis (A) and the related parameters such as gs and E were significantly lower in the organic leaves than in the control leaves (Fig. 1). The average photosynthetic rates in the control leaves were 8.7 μmol·m-2·s-1 in June, 10.8 μmol·m-2·s-1 in July, and 13.4 μmol·m-2·s-1 in August, while in the organic leaves, they were 6.9, 8.6, and 10.3 μmol·m-2·s-1 in June, July, and August, respectively. Regardless of treatments, A, gs, and E were comparatively lower in June than in July to September, and after September all parameters declined (Fig. 1). The difference in A, gs, and E between the two treatments were relatively smaller (15-20%) in June than in July or August (30-35%). The maximum A values were observed on August 30 to be 15.2 and 11.2 μmol·m-2·s-1 for control and organic treatments, respectively, presumably due to highest solar radiation (12.2 W.m-2) on that day.
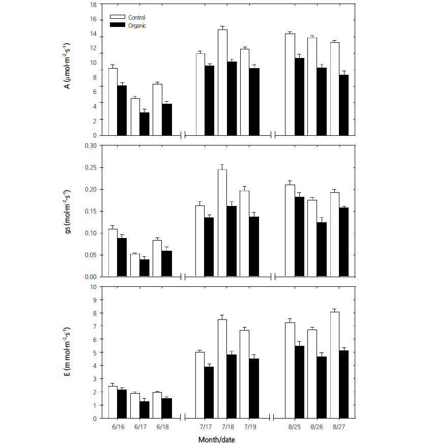
To determine the lasting effect of the treatments on A, gs, and E, we compared the measurements on the spraying day (0 day) with those taken one day before (-1 day) and one day after spraying (+1 day). The results showed that these parameters were significantly higher in the control treatment than in the organic treatment regardless of time of measurements (Fig. 2). In June measurements, for example, the differences in A between the two treatments were 2.09, 1.79, and 2.23 μmol·m-2·s-1 at -1, 0, and +1 day, respectively. Other parameters such as gs and E were also regulated in a similar manner.
Diseases Infection
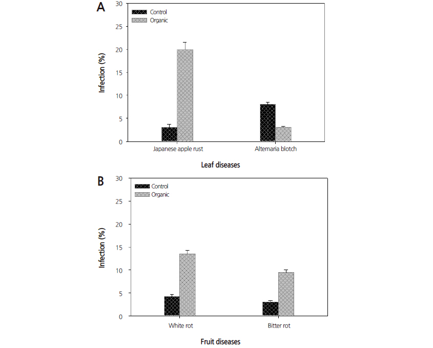
Infections by Japanese apple rust (Gymnosporangium yamadae) in leaves and white rot (Botryosphaeria dothidea) and bitter rot (Glomerella cingulata) on fruits were significantly higher in the organic treatment than the control (Fig. 3), but the pattern of leaf infection by alternaria blotch (Alternaria mali) was opposite (Fig. 3).
Yield and Fruit Quality
Yield was significantly lower in the organic treatment than in the control (Table 4), probably due to higher infection rate by white rot and bitter rot in the organic treatment (Fig. 3B). However, individual fruit weight was not significantly different between treatments. Fruit SSC and TA contents were not significantly different either. Organic fruits exhibited less color development as lower Hunter’s a value indicated, but had significantly higher flesh firmness (3.26 kgf/∮ 8 mm) than did the control fruits (3.09 kgf/∮ 8 mm).
Table 4. Yield and fruit quality attributes of ‘Ryoka’/M.26 apple treated with organic or conventional chemical method.
| |
NS, *, **Nonsignificant or significant at p ≤ 0.05 or 0.01, respectively. | |
Fruit Minerals Concentration
Fruit calcium, copper, and iron concentrations were significantly higher in the organic treatment than in the control (Table 5). However, other mineral concentrations such as nitrogen, phosphorus, potassium, magnesium, boron, and zinc were not significantly different between the treatments.
Discussion
The organic treatment significantly reduced leaf area compared to the control treatment (Table 2), possibly due to phytotoxic effect. Palmer et al. (2003) reported that organic fungicides did not affect leaf area development, but Holb et al. (2003) and Steffens et al. (2008) reported lime sulfur led to reduce leaf area development in apple trees due to its phytotoxicity. The soluble sulfide component of lime sulfur is believed to be responsible for the plant injury by reducing CO2 assimilation, which appear to be a fundamental factor underlying the phytotoxic effects (Subhash, 1988). In this experiment, organictreated leaves were covered with white residues, and exhibited significantly reduced photosynthesis throughout the growing season. The white residues on the organic apple leaves diminished the light absorption and decreased the photosynthesis and stomatal conductance (Southwick and Childers, 1940). Similarly, the repeated applications of these fungicides may have induced thigmonasty due to some mechanical stimulation. Neel and Harris (1971) also reported reduced growth in young trees of Liquidambar styraciflua due to vibrating or shaking of the trunk.
Over the growing season, photosynthesis was significantly lower in the organic treatment than in the control (Fig. 1), possibly due to its phytotoxic effect on leaves. Spraying of oil mix with sulfur (Ferree et al., 1999), Bordeaux mixture (Southwick and Childers, 1940), and lime sulfur (Palmer et al., 2003) have been reported to reduce net photosynthesis of apple leaves. Ferree (1979) in a review, summarized work in the 1930s and 1940s, which showed that lime sulfur could reduce leaf assimilation rate. In later work, Ferree et al. (1999) reported that spraying with sulfur significantly decreased leaf photosynthesis in greenhouse-grown apple trees on MM.106 rootstock after 11 days, being reached up to 50% reduction after 20 days. In this experiment, gs and E were also significantly reduced in the organic leaves than in the control leaves over the entire season (Fig. 1). Untiedt and Blanke (2004) reported that decreased gs in apple tree leaves was related toreduction in A as treated with the mixtures of fungicides and insecticides. During the later part of the season (July to September), the organic leaves exhibited a significant reduction (30-50%) in A compared to the control leaves (Fig. 1). Leaf chlorophyll content was significantly lower in the organic treatment than in the control (Table 3), likely because copper in the Bordeaux mixture negatively affected the chlorophyll formation. Van Assche and Clijsters (1990) reported that copper caused the destruction of chlorophyll due to blocking of enzymatic action in chlorophyll synthesis.
In both treatments, photosynthesis in June was lower than in July and August possibly due to higher solar radiation (10-11 W·m-2) during that period than in June (8-9 W·m-2) (Fig. 1). The measurements of A on three days around the spraying day showed similar patterns of reduction for both organic and control treatments (Fig. 2). The intervals from the previous applications of organic fungicides to the dates of these measurements were 11-15 days. We observed that organic fungicides adhered well to the plant canopy and remained for several days, therefore believed that Cu content of Bordeaux mixture induced injuries on leaves. Orbovic et al. (2007) reported that fungicidal Cu deposits tended to remain on surfaces of citrus leaves and injure by toxic levels of Cu penetrating the tissues. The results in the present study also showed that A, gs, and Ewere significantly lower in the organic treatment than in the control (Fig. 2), regardless of time of measurements possibly due to lasting effect of organic fungicides. Baudoin et al. (2006) have reported that photosynthetic depression due to the application of horticultural oil on grape leaves lasted from a few days to approximately 3 weeks.
Yield per tree was largely mediated by the reduction in the fruit number in the organic treatment compared to the control because of the higher disease infection in organic fruits. Organic production systems have previously been shown to provide lower fruit yields than conventional systems due to their greater disease and pest problems (Artney and Walker, 2004; DeEll and Prange, 1993; Palmer et al., 2003; Steffens et al., 2008). In early studies, lime sulfur was assumed to be injurious to apple tree and to reduce fruit yield (Hamilton, 1931; Hamilton and Keitt, 1928). Insect infestation has not been in any noticeable trouble in this experiment, because pheromone dispensers to disrupt insect have been regularly maintained in the experimental orchard since over 9 years. The reduced fruit numbers in organic treatment might have induced an increased in fruit size (Mc Artney et al. 1996) but this was not observed, presumably because the decreased photosynthesis due to organic fungicides negated this effect. Organic fruits also demonstrated significantly higher flesh firmness than the control fruits (Table 4). Conventionally grown ‘Fuji’ apples have been shown to display generally lower flesh firmness than organic fruits (DeEll and Prange, 1993; Reganold et al., 2001). Fruits in the organic treatment had significantly higher Cu and Ca concentrations than control fruits (Table 5), possibly as result of frequent sprayings of organic fungicides.
Finally, we concluded that frequent applications of organic fungicides (Bordeaux mixture and lime sulfur) significantly reduced photosynthesis during the entire growing season, had negative effects on the leaf size, chlorophyll content, and fruit yield and quality. Therefore, sulfur- and copper-based organic fungicides could be less effective in increasing yield and fruit quality, while causing phytotoxicity, than the conventional chemical fungicides.









