서 언
재료 및 방법
식물재배 및 재배환경
실험 1. 정식 전 배지의 무기이온 함량
실험 2. 정식 후 배액의 무기이온 변화 및 수량
조사항목 및 조사방법
통계처리방법
결과 및 고찰
원배지 무기이온 함량
정식 전 배액의 무기이온 함량, pH 및 EC 농도
정식 후 배액의 무기이온 함량, pH 및 EC 농도
재배 후 배지와 식물체의 무기이온 함량
상품 과실수량 및 당도
서 언
딸기(Fragaria × ananassa Duch.)는 2015년 국내 총생산액 12,843억원을 차지하는 과채류로 국내 총 생산량이 19.4만톤이였으며, 2016년 수출량은 3,540톤으로 신선과채류 중 파프리카 다음을 차지하는 수출 2위 품목이다(MAFRA, 2016; aT, 2017). 2015년 딸기재배는 98.5%가 시설재배로 이루어지고 있으며, 수량성, 재배용이성 등으로 고설 수경재배 면적은 2012년 316ha에서 2015년에는 768ha로 급격히 증가하였다(KREl, 2016).
근권 환경을 조절할 수 있는 수경재배에서는 같은 작물이라도 품종에 적합한 양액 선발, 배지 특성을 고려한 양액의 조성, EC, pH 등의 관리가 요구된다. 과채류 수경재배용 배지로는 암면, 펄라이트 등의 무기배지와 피트모스, 코이어와 같은 유기배지가 주로 이용되고 있다. 일반적으로 배지의 물리적 특성들은 배지의 종류, 입자의 크기, 용기의 모양과 크기, 수분상태 등 여러 가지 요인들에 의해 달라진다(Milks et al., 1989; Nelson, 1991). 또한 배지의 화학적 특성도 식물생육에 적합한 근권 환경을 결정하는 요인이며 pH, EC, 다량원소 및 미량원소 함량 등이 여기에 속한다(Gabriëls et al., 1986).
코이어 배지는 코코넛(Cocosnucifera) 과실의 부산물로 재배 배지로서의 적합한 물리성과 화학성을 가지고 있어 피트모스를 대체할 가능성을 가진 것으로 소개(Evans and Stamps, 1996; Nazari et al., 2011)되었고, 이후 전세계적으로 사용량이 증가되고 있다. 코이어 배지는 과피에서 추출된 섬유질로 짧은 코이어 섬유와 가루 등을 포함한 dust와 코코넛의 중과피를 자른 chip으로 구성되어 있으며, 주요 생산국은 스리랑카, 인도, 필리핀, 인도네시아 등이다. 코이어 배지에서 coir dust와 chip의 비율은 수경재배 급액에서 배지 내 액상에 영향을 줄 수 있으며, coir와 peat 혼합비율 3:7, 5:5, 7:3, 10:0에서 coir 비율이 증가함에 따라 기상이 증가하고 액상이 감소함에 따라 딸기의 수분 흡수량 감소가 수량 저하에 영향을 준다고 보고하였다(Endo et al., 2006). 또한 펄라이트 혼합배지, 코이어 등의 배지는 암면재배보다 오이와 딸기 등 과채류 지상부 생육과 수량이 좋았다고 보고됨에 따라 배지물리성에 따른 급액관리가 달라져야 한다(Colla et al., 2003; Adak and Gubbuk, 2015). 한편 코이어 배지는 70% 이상이 셀룰로스와 리그닌 등 음전하성을 가진 분자(electronegative molecules)들로 구성되어 있어서 양이온이 배지에 흡착(trap)되는 특성이 있다(Resh, 2016). 이러한 특성 때문에 배지 가공과정에서 질산칼슘4수염[Ca(NO3)2·4H2O] 용액에 침지시킨 후 세척과 건조과정을 거친 후 상품화하기도 한다. 그러나 이러한 화학적 특성이 작물 생육 및 수량과 양분흡수에 미치는 영향에 대한 연구는 아직 미비한 실정이다. 따라서 본 실험에서는 배지종류에 따른 화학성과 이들 배지에서의 정식 후 배액의 무기이온 함량성분 변화 및 딸기 과실의 수량과 무기이온 함량에 미치는 영향을 분석하여 배지의 종류에 적합한 딸기 수경재배 배양액 조성의 기초자료로 활용하고자 수행하였다.
재료 및 방법
식물재배 및 재배환경
실험은 2015년 8월 5일부터 2016년 4월 28일까지 서울시립대학교 벤로 유리온실에서 실험 1과 실험 2로 구분하여 실시하였다. 딸기재배는 고설 베드에 설치된 플라스틱 재배조(31 × 102 × 21cm)에 4종류의 배지를 각각 충전하여 수경재배하였다. 정식은 강원 횡성 딸기육묘장에서 구매한 ‘설향’ 딸기(Fragaria × ananassa ‘Seolhyang’)의 모종을 2015년 9월 25일에 배지당 5주씩 20cm 간격으로 심었다. 정식 후 1일 급액량 250-300mL를 하루 6회 공급하였다. 수경재배기간 중 배액시료 채취를 위하여 고설 베드 하부 배수구에 호스를 연결하고 호스를 통해 배액이 플라스틱 통에 집수되도록 설치하였다. 배액이 햇빛에 노출되어 성분변화와 증발되는 것을 막기 위하여 플라스틱 통 뚜껑에 구멍을 뚫어 호스가 관통하도록 한 뒤 뚜껑은 항상 덮어두었다.
온실 내 온도, 상대습도(RH) 및 광합성유효광량은 환경계측기 데이터로거(Watch Dog 2450, Spectrum Technologies Inc., IL, USA)와 광합성 유효광센서(Quantum light 6 sensor bar, Spectrum Technologies Inc., IL, USA)를 사용하여 30분 간격으로 측정하였다. 온실 내 온도는 고정압 덕트형 에어컨(Samsung DVM-S, Samsung, Korea)의 온실바닥에 설치된 폴리에틸렌 필름덕트(지름 20cm)로부터 따뜻한 공기를 송풍하여 겨울과 봄의 평균온도를 최저 15°C에서 최고 30°C이하로 유지하였다. 온실 내 평균 야간습도는 40±2%였으며, 주간 평균 상대습도는 겨울철 최저평균 27.4%, 봄철평균 18.1%로 덕트 공기순환으로 낮은 습도가 유지되었다. 평균 일사량은 겨울철 최고 430W·m-2였고, 봄철에는 500W·m-2였다.
실험 1. 정식 전 배지의 무기이온 함량
2015년 8월 5일부터 9월 24일까지 4종류의 배지를 플라스틱 재배조(31 × 102 × 21cm)에 각각 2개씩 충진하여 4개 재배조는 UOS 배양액 처리구로 나머지 4개 재배조는 증류수 처리구로 배치하였다. 배지종류는 피트모스:펄라이트(v/v=50:50, PP, ㈜GFC), 암면(Rockwool, RW, ㈜한국 유알미디어), 코이어 dust:chip(v/v=50:50, D50, ㈜신성미네랄), 코이어 dust:chip(v/v=100:0, D100, ㈜신성미네랄) 등을 사용하였다. 1차 증류수(EC: 0.0, pH 5.8) 또는 서울시립대학교 딸기전용배양액(UOS; EC 1.2 dS·m-1, pH 5.8)(Table 1)을 각각의 배지에 1일 3회(1회 15분) 점적 관수하고 매일 배액을 수집하였다.
Table 1. Mineral composition of the standard nutrient solution for strawberry developed by University of Seoul (UOS nutrient solution)
![]() |
실험 2. 정식 후 배액의 무기이온 변화 및 수량
실험 1이 종료된 후 실험 1에 사용된 배지 모두를 UOS 배양액으로 공급하면서, 배지의 EC가 1.2dS·m-1가 될 때까지 1일간 각 배지를 세척하고 포수시킨 후 2015년 9월 25일에 딸기를 정식하였다. 정식 후 딸기 배양액은 UOS로 급액하였고, 1일 6회, 1회 40-50mL씩 하루 250-300mL을 공급하여 2016년 4월 28일까지 재배하면서 매일 배액을 수집하였다. 배양액 관리는 정식 초기에는 EC 0.6dS·m-1, pH 5.8 수준으로, 정식 2주후에는 EC 0.8dS·m-1, pH 5.8로, 정식 56일 후에는 EC 1.0dS·m-1, pH 6.0으로, 정식 154일 후에는 EC 1.2dS·m-1, pH 6.0으로 각각 공급하였다. 정식 3-4주 후부터 2차 생장점과 런너(runner)를 적출하여 절단하였다. 신엽이 5매 이상 되었을 때부터 이산화탄소의 공급 흐름을 원활히 하고 신엽의 수광 상태를 증대하기 위하여 하엽을 제거하기 시작하였다. 화서당 화수는 5-7개를 유지하면서 수정벌로 착과를 유도한 후 70% 이상 착색되었을 때 수확하였다.
조사항목 및 조사방법
배액의 pH, EC 및 무기이온을 분석하기 위해 시료는 베드마다 설치된 배액구에서 매일 관수 종료 후 30분경 수집한 것을 사용하였다. 분석 전 배액은 여과지(Whatman No. 42)로 여과시켜 배액 희석비율에 따라 3차증류수를 이용하여 희석한 후 분석시료로 사용하였다. 배액의 EC와 pH는 2일간격으로 휴대용 EC/pH측정기(HI9813-6N, HANNA, USA)로 측정하였고, 질산태질소(NO3-N)와 인(PO42-)은 이온크로마토그래피(ICS-1600, Dionex, USA)로, 양이온(칼륨(K), 칼슘(Ca), 마그네슘(Mg), 나트륨(Na), 철(Fe), 아연(Zn))은 각 파장별로 원자흡광분광기(AAnalyst 400, PerkinElmer, USA )를 사용하여 매주 1회 측정하였다.
배지 내 무기성분(K, Ca, Mg, Na)은 구매 시의 원배지와 식물체 재배 후 마지막 수확일에 각 배지를 채취하여 농촌진흥청표준분석법[Rural Development Administration (RDA) method](RDA, 2013)과 유럽표준분석법[European Committee for Standardization (CEN) methods](CEN, 1999)을 이용하여 측정하였다. RDA 분석법은 1N의 암모니움아세테이트(NH4OAc)로 배지를 침출하여 분석한 방법이며, CEN 분석법은 증류수로 배지 내 이온을 침출하여 분석한 방법이다.
식물체 무기성분 분석은 배지당 3주를 채취하여 각각 잎과 엽병을 분리하여 열풍 건조한 후 뒤 분쇄하였다. 분말시료 0.5g을 농황산(H2SO4) 1mL와 50% 과염소산(HClO4) 10mL를 넣고 전열판(350°C)에서 분해한 후 자연 냉각시켰다. 여과지(Whatman No. 6)로 여과시킨 후 별도의 시약을 준비한 후에 농촌진흥청 표준분석법(2013)에 준하여 총질소(Total-N)는 Kjeldahl 증류법, 인산(P2O5)은 Vanadate법, 양이온(K, Ca, Mg, Na 등)은 원자흡광분광기(AAnalyst 400, PerkinElmer, USA)를 사용하여 각 파장별로 측정하였다.
과실은 1화방, 2화방, 3화방순으로 수확기 동안 70-100% 착색된 과실을 수확하여 소과(<5g 이하)와 기형과를 제외한 후 조사용 시료로 사용하였다. 과폭과 과장은 버니어캘리퍼스로 측정하고, 과중 및 과수를 조사하였다. 당도는 당도계(Refractometer PAL-1, Atago, Japan)로 측정하였다.
통계처리방법
딸기 고설 베드에 설치한 4종류의 배지는 각 배지당 2반복을 난괴법 실험배치구로 설치하였다. 배지의 pH, EC 및 무기이온 함량은 매회 측정된 분석값을 평균간 비교하였다. 배지와 식물체의 무기이온함량은 3반복하였으며, 과실은 각 식물체에서 화방당 3개를 통계 처리하였다. 통계분석은 SAS package(statistical analysis system, version 9.3, SAS Institute Inc.) 프로그램을 이용하여 분산분석(Analysis of Variance, ANOVA)을 하였다. 처리 평균간 비교는 Duncan’s multiple range test(DMRT)로 5% 유의수준에서 검정하였다.
결과 및 고찰
원배지 무기이온 함량
재배에 사용하지 않은 원배지 무기이온(K, Ca, Mg, Na) 함량을 CEN 분석법(증류수로 배지 내 이온을 침출하여 작물 이용이 쉬운 수용성 무기이온 함량으로 보는 것)과 RDA 분석법(1 N- NH4OAc로 침출하여 작물이 잠재적으로 이용 가능한 무기이온 함량으로 보는 것)으로 측정한 결과 무기이온 함량은 코이어 배지에서 높았고 암면 배지에서 낮았다(Table 2). CEN 분석 결과 D50과 D100 배지의 평균 K은 115-119mg·L-1, Ca은 0.344-1.003mg·L-1, Mg은 0.251-0.288mg·L-1, Na은 26-50mg·L-1 수준으로 무기배지인 RW 배지에 비하여 K은 4.0-4.2배, Ca은 34-100배, Mg은 4.4-5.1배, Na은 23.5-45.6배 유의적으로 높았다. 특히, D50과 D100 배지에서 K과 Na 농도가 다른 이온들보다 높은 결과를 얻어 코이어 배지에서 K과 Na 이온이 수용성으로 다량 존재한다는 것을 알 수 있었다. RDA 분석 결과 D50과 D100 배지의 K은 209-286mg·L-1, Ca은 21.7-27.6mg·L-1, Mg은 22.88-50.76mg·L-1, Na은 113-133mg·L-1 수준으로 RW 배지보다 K은 6-8배, Ca은 13-17배, Mg은 33-72배, Na은 41-35배 유의적으로 높게 나타났다. 또한 RDA 분석법으로 D50과 D100 배지에서 Ca과 Mg 농도가 CEN 분석법보다 20-200배 이상 높게 검출되어 코이어 배지에서 Ca과 Mg은 작물이 쉽게 이용하지 못하는 형태로 다량 존재하는 것으로 배지 내 Ca과 Mg의 흡착으로 인한 CEN 분석법에서는 침출량이 적다는 것을 의미한다(Lee, 2006). 이러한 결과는 Alt(2001), Lee et al.(2006), Lee (2007) 등도 증류수로 침출한 무기이온의 함량이 다른 산을 이용한 침출액 내 무기이온보다 낮게 검출되었음을 보고한 바 있으며, 무기이온 함량은 사용하는 침출액의 종류, 시료와 침출액의 비율, 측정 방법 등에 따라 큰 차이를 나타낼 수 있다고 보고하였다(Lee et al., 2006).
정식 전 배액의 무기이온 함량, pH 및 EC 농도
딸기 모종을 정식하기 전 증류수 또는 UOS 배양액으로 점적관수 후 배지에서 용출된 배액의 무기이온 함량을 측정하였을 때 PO4는 배지 종류에 따른 유의성이 없었으며, NO3, PO4, Ca, Mg, Zn, Fe 등은 증류수로 배출하였을 때 배지 내 이온함량이 UOS 배양액으로 배출한 것에 비해 낮았다(Table 3). UOS 배양액으로 급액하였을 때 D50과 D100 배지에서 배액된 K 농도는 PP나 RW 배지에 비하여 2배, Na은 9.1-17.8배, Zn은 1.3-1.5배 유의적으로 높았고, 증류수로 급액하였을 때 배액된 K 농도는 PP나 RW 배지에 비하여 116-240배, Na은 45-363배, Zn은 7.3-14.5배, Fe은 10.3-26.9배 유의적으로 높았다. 반대로, Ca은 UOS 배양액을 급액하였을 때 D50과 D100 배지에서 33-34mg·L-1 수준으로 배액되어 PP와 RW 배지에서 배액된 Ca 농도(78-111mg·L-1)보다 유의적으로 낮았다. Ca과 유사하게 D50과 D100 배지에서 배액된 Mg 농도는 24.2-26.5mg·L-1 수준으로 PP와 RW 배지에서 배액된 Mg 농도(29.8-30.8mg·L-1)보다 유의적으로 낮았다. 이는 배양액의 Ca과 Mg 이온이 D50과 D100 배지와 화학적 상호작용으로 배지 내부에 흡착된 결과로 보인다(Resh, 2016). NO3도 UOS 배양액을 급액하였을 때 D50과 D100 배지의 배액에서 113-120mg·L-1 수준으로 PP와 RW 배액 NO3농도(128-130mg·L-1)보다 유의적으로 낮았다.
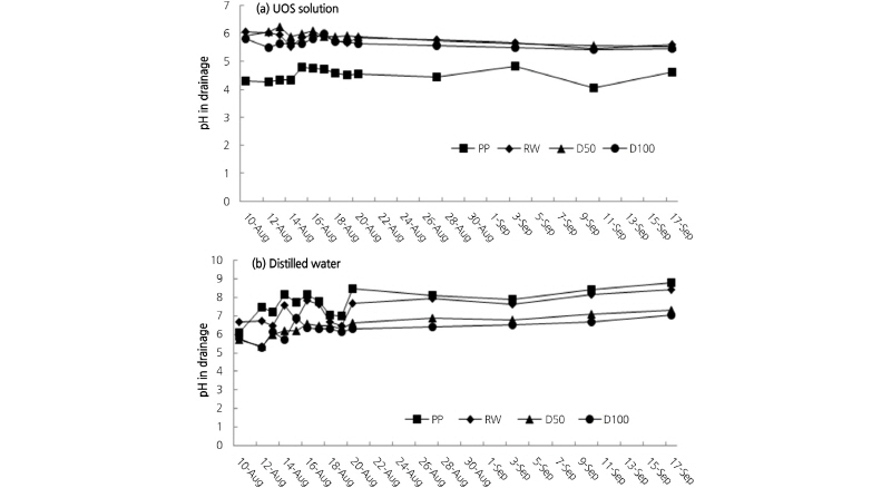
정식 전 UOS 배양액으로 점적관수 후 배지에서 용출된 배액의 EC 농도는 D50과 D100 배지에서 10일간 PP와 RW 배지보다 3-4배 유의적으로 높았으나 이후에는 감소하여 배지 내 EC 농도가 안정되는 경향을 나타냈고(Fig 1a), 증류수로 점적관수한 경우도 10일간 D50과 D100 배지에서 4-6배 높다가 차이가 감소되어 점차 화학적으로 안정화된 것으로 판단되었다(Fig. 1b).

Fig. 1. Changes in EC of the drained solution when the substrates [perlite and peatmoss (50:50 = v/v, PP), rockwool (RW), coir dust:chip (50:50 = v/v, D50), and coir dust:chip (100:0 = v/v, D100)] were irrigated without plants. The EC concentration was measured between the 10th of Aug. and the 17th of Sept. 2015.
UOS 배양액으로 점적 관수한 배액의 pH는 RW, D50, D100 배지에서는 차이가 없었으나(pH 5.6-6.0수준), PP 배지에서는 pH 4.3-4.6 수준으로 다른 배지에 비해 유의적으로 낮았다(Fig. 2a). 증류수 처리구의 배액 pH는 pH 5.7-8.5 수준으로 배지종류에 따라 유의적 차이를 보였으며, PP > RW > D50 > D100 순으로 pH가 높았다(Fig. 2b). 배양액 처리구에서 RW, D50, D100 배지는 pH 5.63-6.04 수준으로 작물생육에 적정한 범위였고, 증류수 처리구의 PP와 RW에서는 pH 7.68-8.46으로 약알칼리성을, D50, D100에서는 pH 5.70-6.61로 약산성을 나타냈다(Fig. 2b). Lee et al.(2012)은 코이어 배지의 pH 안정화를 위한 전처리 방법으로 정식 전 물로 4일 씻어내고 배양액으로 3일 씻어내었을 때 pH는 5.5-6.0 범위였으며, 배양액으로 7일 씻어내었을 때 pH는 5.3-5.8 범위로 안정화되었으며, EC는 처리 4일째부터 공급 EC 이하로 안정화되었다고 보고하였다. 본 실험에서는 배양액 또는 증류수 처리구에서의 D50, D100 배지의 pH가 7일 이후 안정화되기 시작하는 것으로 나타났고, 이는 coir 배지의 급액량, 급액 회수에 따른 침출량(재배기간 동안 배액률 13-20%, 자료 미제시) 차이로 인해 본 실험에서는 배지의 pH와 EC가 안정화되기까지는 약 10일이 소요되었다. 또한 Lee (2006)는 코이어 배지를 증류수로 2회 침출하였을 때 K, Na 농도는 배지 내 함량이 크게 감소하나, Ca는 3회 침출까지 처음 침출한 농도와 비슷하였으며, Mg는 3회 침출부터 농도가 낮아지는 경향을 보인다고 보고하였다. 본 실험에서도 UOS 배양액과 증류수 추출로 배액의 EC가 감소하는 것으로 보아 배지 내 수용성으로 존재하는 K, Na가 배액 EC의 안정화에 기여하였으리라 본다. 그러나 Ca, Mg 이온이 UOS 처리구보다 증류수 처리구에서 낮게 배액되어 Ca, Mg는 배지 내 흡착으로 낮음을 확인할 수 있었다(Table 2). 따라서 코이어 배지의 배지 내 이온 균형 유지를 위해서는 증류수 세척 후 배양액으로 포수하거나 배양액으로 급액하여 배지의 pH, EC의 안정화를 확인하여 작물을 정식하는 것이 바람직하리라 본다(Lee, 2006).

Fig. 2. Changes in pH of the drained solution when the substrates [perlite and peatmoss (50:50 = v/v, PP), rockwool (RW), coir dust:chip (50:50 = v/v, D50), and coir dust:chip (100:0 = v/v, D100)] were irrigated without plants. The pH was measured between the 10th of Aug. and the 17th of Sept. 2015.
정식 후 배액의 무기이온 함량, pH 및 EC 농도
딸기 재배기간 동안 배액의 무기이온 함량을 매주 측정한 평균값을 보면, NO3, PO4, K, Ca, Mg, Fe 등은 배지 종류에 따라 차이를 보였으나, Na은 32-37.3mg·L-1, Zn은 0.3-0.4mg·L-1 수준으로 배지에 따른 차이가 없었다(Table 4). 배액 내 NO3, Ca, Mg, Fe 농도가 PP와 RW 배지에서 D50과 D100 배지와 비교하여 유의적으로 높았다. 반대로, 배액 내 K 농도는 D50과 D100 배지에서 유의적으로 높았다. 이 결과는 본 실험에서 딸기 모종을 정식하기 전 UOS 배양액으로 점적관수 후 배지에서 용출된 배액의 무기이온 함량을 측정 결과와 일치하였다. 즉, 배양액의 Ca과 Mg 이온이 D50과 D100 배지 내부에 집적된 것으로 판단된다.
딸기재배기간 동안 배액의 평균 EC는 0.5-2.3dS·m-1 범위였고 배지별 EC는 PP(1.44dS·m-1) > RW(1.33dS·m-1) > D100(1.16dS·m-1) > D50(1.04dS·m-1) 순으로 PP 배지에서 유의적으로 높았고 D50과 D100 배지에서 유의적으로 낮았다(Fig 3a). 이 결과는 배액 내 NO3, Ca, Mg, Fe 농도는 D50과 D100 배지에서 유의적으로 낮았던 결과(Table 4)와 일치된다.

Fig. 3. Changes in EC and pH of the drained solution when the plants were grown with the UOS solution and substrates [perlite and peatmoss (50:50 = v/v, PP), rockwool (RW), coir dust:chip (50:50 = v/v, D50), or coir dust:chip (100:0 = v/v, D100)] between the 24th of Sept. 2015 and the 2nd of Mar. 2016.
딸기 재배기간 동안 배액 pH는 RW, D50, D100 배지에서 평균 6.3-6.4 수준으로 배지간 유의차가 없었고 적정범위를 보였으나 PP 배지의 배액 평균 pH는 3.5로 매우 낮았다(Fig. 3b). PP 배지의 낮은 배액 pH 결과는 피트모스배지 6종류의 pH를 분석한 결과 pH 3.46-4.17 범위를 나타냈다는 연구결과(Shin et al., 2012)와 일치하였다. 이는 피트모스가 수 만년 전에 늪지대에서 생성된 유기물질로 pH가 3.2에서 5.5로 낮은 특성을 지니고 있는 것과 관련이 있다(Kim et al., 2000).
재배 후 배지와 식물체의 무기이온 함량
최종 수확 일에 지상부를 모두 제거한 후 배지의 무기이온 함량을 분석하였을 때 CEN 분석결과에서 D50와 D100 배지의 K은 34.3-39.0mg·L-1, Ca은 4.95-13.4mg·L-1, Mg은 7.45-11.9mg·L-1, Na은 10.5-12.7mg·L-1 수준이었다. RDA 분석결과에서 D50와 D100 배지의 K은 59.4-66.4mg·L-1, Ca은 130-159mg·L-1, Mg은 61.85-79.16mg·L-1, Na은 12.92-26.46mg·L-1 수준이었다(Table 5). RDA 분석법에 의한 원배지 D50과 D100 배지의 K은 209-286mg·L-1, Ca은 21.7-27.6mg·L-1, Mg은 22.9-50.8mg·L-1, Na은 133-113mg·L-1 수준인 것과(Table 2) 비교하면 재배기간 동안 코이어 배지에서 K과 Na은 배액으로 지속적으로 용탈된 것으로 보이고 Ca과 Mg은 지속적으로 배지 내 축적된 것으로 보인다. 이 결과는 D50과 D100배지에서 재배된 딸기 잎에서 K 함량이 낮은 것과 관련이 있는 것으로 보인다(Table 6). 즉, 코이어 배지에 축적된 다량의 Ca과 Mg이 식물체 내 K 흡수를 저해한 것으로 판단된다.
식물체 부위에 따른 무기이온 함량은 다르게 나타났는데, T-N, P2O5 함량은 엽병보다 잎에서 높았고, K 함량은 엽병에서 높았다(Table 6). 잎과 엽병을 합한 T-N과 P2O5 함량은 앞서 보고된 ‘매향’ 딸기에서 건물 중 기준 최적 식물체내 함량으로 제시된 N 0.97-1.18%, P 0.3-0.75% 범위보다는 높았다(Jeong, 2007). 배지종류에 따른 잎의 T-N, Ca, Mg, Na 함량과 엽병의 T-N, P2O5, K, Mg 함량은 통계적으로 유의성이 없었다. 반면, 잎의 P2O5 함량은 D50에서 유의적으로 높았고, K은 PP배지에서 유의적으로 높았다(Table 6). 재배 후 배지 내 Ca과 Mg 함량이 가장 높았던 D50과 D100 배지(Table 5)에서 재배된 잎의 K 함량이 유의적으로 낮은 것은 D50과 D100 배지에서 코이어 배지에 축적된 다량의 Ca과 Mg이 식물체 내 K 흡수를 길항작용으로 저해한 것(Marschner, 2012)으로 판단된다.
상품 과실수량 및 당도
과경과 과장은 1화방에서 크고, 2화방에서 감소하다 3화방에서 증가함에 따라 평균 과중도 1화방에서 가장 높았고, 2화방에서 가장 적었다가 3화방에서 다시 증가하는 경향을 보였다. 과장과 과중이 2화방에서는 배지종류에 따른 차이가 보였는데 PP 배지에서 가장 낮은 생육을 나타냈고 3화방에서도 PP 배지의 과경과 과중이 가장 낮았다. 과실중은 D100 > D50 > RW > PP 순서로 코이어 배지에서 가장 높았고 근권 내 pH가 가장 낮았던 PP 배지에서 가장 낮았다(p < 0.05)(Table 7). 코이어에서 과중이 높은 결과는 앞서 보고된 연구결과와 일치된다. Jun et al.(2006)은 ‘아키히메’ 품종을 펄라이트, 코이어, 코이어/펄라이트(상/하)의 2층, 버미큘라이트/펄라이트의 2층, 버미큘라이트와 왕겨의 혼합배지에 재배하였을 때 딸기의 과중과 과경은 코이어 배지와 코이어/펄라이트의 2층 배지에서 가장 높았으며 수량은 코이어/펄라이트의 2층 배지에서 가장 높았고, 그 다음으로 펄라이트와 코이어 단독배지가 높았다고 하였다. 저자들은 보수성과 배수성이 양호한 배지에서 잘 자라는 딸기작물이, 코이어 배지에서 뿌리 발생이 양호하여 나타난 결과라고 하였는데 본 연구에서도 D50과 D100 배지에서 근계가 가장 양호한 것으로 관찰되었다(Fig. 4). 반면, PP 배지에서 과실중이 가장 낮았던 것은 피트모스, 펄라이트를 혼용 시 두 배지의 비율을 50:50으로 한 것과 관련이 있는 것으로 보인다. 앞서 보고된 연구결과에 의하면 피트모스와 펄라이트 두 배지 혼용 시 펄라이트 비율을 더 높였을 때 생육과 수량이 우수하다고 하였다(Linardakis and Maios, 1990). 이는 무기물 배지인 펄라이트와 유기질 배지인 피트모스를 혼합하였을 때 통기성 및 보수성이 보완되고 pH와 EC가 안정되는 효과가 있기 때문이라고 하였다(Wilson, 1986). PP 배지에서 엽 생체중이 가장 낮았고, 비록 크라운의 직경에는 영향을 주지 않았으나(자료 미제시), 상대적으로 적은 근계의 뿌리 생육량(Fig. 4)은 양수분 흡수에 제한 인자가 됨으로써 2화방과 3화방의 적은 과중(Table 7)으로 수량이 감소한 것으로 보인다. 앞서 보고된 바에 의하면 ‘설향’ 수경재배에서 배액의 pH는 뿌리의 활성과 직접적으로 연관 있으며(Jun et al., 2011), 배양액의 농도에 영향을 받아 배양액 EC가 높으면 pH가 4.0 이하로 낮아진다고 보고하였다(Choi et al., 1998). PP 배지의 평균 EC는 적정 범위에 있었으나, 배액 pH가 낮아 뿌리 활성과 세근 발생에 작용하여 1화방 이후 소과를 수확하게 된 것으로 생각된다(Fig. 4). RW 배지에서도 세근이 부족한 것으로 관찰되었다(Fig. 4). 과실당도는 배지종류별 유의차를 보이지 않았으나 3화방에서는 RW 배지에서 낮았다. 보고된 다른 연구결과에서도 배지의 종류가 딸기의 당도에는 유의성 있는 차이를 주지 않았다고 하였다(Jun et al., 2006).
따라서, 유기배지인 코이어 배지가 딸기 수경재배용 배지로 적합한 것으로 판단된다. 다만 지속적으로 안정적인 재사용을 위해서는 배양액 조성 시 K, Ca, Mg 이온 농도에 대한 보정이 필요할 것으로 생각된다.










