서 언
최근 절화 수국은 국내·외 소비가 크게 증가하고 있으며, 전 세계적으로 인기가 높아 각광받는 화훼장식 소재이다(Kitamura and Ueno, 2015; Lee and Lee, 2018). 수국은 꽃차례의 특성에 따라 Mophead(Hortensia)와 Lacecap 형태로 나뉘는데(Lee, 2016), 절화용으로 많이 사용되고 있는 Hydrangea macrophylla는 두 가지 형태 모두 속해 있다(Uemachi and Nishio, 2005; Uemachi et al., 2006; Kitamura and Ueno, 2015). 수국은 크고 화려한 형태의 꽃받침을 관상하며(JARES, 2015; Uemachi et al., 2004), 꽃받침의 색상에 따라 흰색, 분홍색, 청색 등 화색으로 분류한다. 또한, 작고 큰 꽃받침들이 모여 나기 때문에 이를 볼륨이 큰 하나의 꽃으로 여겨 플로리스트들이 선호하는 절화로 꼽고 있다(Kitamura and Ueno, 2015; Lee and Lee, 2018). 절화의 품질을 결정하는 중요한 요소는 수분흡수, 증산량 등에 의해 영향을 받는 절화 수명으로(Kitamura and Ueno, 2015; Pouri et al., 2016), 절화수명을 연장하는 연구는 다양하게 이루어지고 있다(Khalaj et al., 2017; Lee and Lee, 2015; Oh et al., 2017; Oh et al., 2018, Ren et al., 2017). 그러나 절화 수국은 최근 소비 트렌드가 부합하여 사용이 증가되고 있기 때문에 현재는 다양한 분야의 연구가 미흡한 실정이다.
절화의 저온 저장은 호흡을 억제하고 양분의 소모를 막아 꽃의 노화를 지연시키고 그에 따라 수명을 연장할 수 있으며(Lee et al., 1995), 특히, 적절한 저장온도는 호흡량을 감소시켜 탄수화물의 손실을 막고 화색의 발현 및 개화율을 촉진하여 절화수명을 연장시킬 수 있다(Cevallos and Reid, 2001). 그러나 절화의 저장온도가 적정 온도보다 낮을 경우에는 줄기의 조직이 파괴되고, 꽃이 괴사되는 현상이 나타나 절화의 품질을 저하시킨다(Kim, 2004). Flavia et al.(2014)의 연구에 따르면, 절화 수국은 저장 시 수분 공급이 되어야 하며, 수분 공급 시 반드시 전처리제가 포함되어야 한다. 현재 수국과 관련하여 전처리제를 이용하여 절화수명을 연장하는 연구는 다소 진행되고 있으나(Leeson et al., 2007; Ku and Cho, 2014), 저장 기간 및 온도와 관련한 연구는 미흡한 실정이다. 또한, 국내 절화수국의 주 생산시기는 5 - 7월이나, 국내산 절화 수국의 주요 수출 시장인 일본이 국내산 절화 수국을 필요로 하는 시기는 9 - 10월로 보고되었다(Lee and Lee, 2018). 이에 따른 문제들을 해소하고 수국의 수요량 증가에 따라 연중 생산을 하기 위해 겨울철 재배기술 연구가 진행되고 있다(Lee et al., 2018). 따라서, 본 연구는 절화 수국의 수요량 증가에 맞춰 집중 출하시기를 분산시키고 품질을 향상시키기 위해 수확 후 적정 저장 기간 및 저장온도를 구명하여 수확 후 관리 기술의 체계화를 위한 기반을 마련하고자 수행되었다.
재료 및 방법
공시재료 및 처리
절화 수국(Hydrangea macrophylla) ‘Snowball White’를 전라남도 강진군 옴천면 봉림리에 위치한 농가의 플라스틱하우스에서 수확한 후 습식용액 Chrysal RVB(Chrysal international, Netherlands)에 물올림하여 5, 10, 15일간 저온고에 저장하였다. 저장 기간에 따른 온도 처리는 각각 5, 10, 15°C로 처리하였다. 저장기간이 끝난 후 습식 수송 시 국내·외 유통되는 방식과 동일하게 water tube를 이용하였고, Chrysal professional Ⅱ(Chrysal international, Netherlands) 5mL·L-1로 습식 용액을 처리하였다.
단국대학교로 수송한 후 30cm로 재절단하였으며, 실험 조사는 500mL 삼각플라스크에 증류수를 사용하여 5개씩 3반복으로 실시하였다. 증류수는 절화수명이 끝날 때까지 교체하지 않았으며, 물이 부족할 때는 모든 처리구에 같은 양의 증류수를 보충해 주었다. 실험실 환경은 22 ± 1°C, 상대습도는 60 ± 10%, 광도는 형광등 조명으로 12시간 광주기로 조사하였다.
절화의 특성 및 절화수명 조사를 위해 저장 후 저온고에서 꺼낸 시점을 1일로 정하였으며, 개화단계를 체크한 후 2일 간격으로 절화수명, 생체중, 수분흡수량을 조사하였다. 개화단계는 꽃받침이 벌어지지 않고, 꽃받침이 말려있는 상태를 1단계로 정하였고, 꽃받침이 50% 이내로 벌어지기 시작하고, 연두빛의 꽃받침이 곳곳에 보이며 화색이 전부 드러나지 않은 상태를 2단계, 꽃받침이 50% 이상 벌어져서 전체적으로 흰색을 화색이 골고루 띠고 있는 상태를 3단계로 정하여 조사하였다. 절화수명은 수국의 노화 양상인 꽃받침조각의 위조, 갈변, 꽃목굽음, 화색 변화 및 잎의 위조와 갈변의 양상으로 나누어 각 절화의 노화양상이 2가지 이상 나타나서 관상가치가 끝나는 시점을 일수로 계산하여 절화수명일로 정하였다.
화색은 절화 수국의 감상부위인 꽃받침조각(sepal) 부위를 색차계(Chroma Meter CR-400, Minolta, Japan)를 이용하여 반사광법으로 3번씩 3반복으로 측정였으며, Hunter value L, a, b 값은 측정기에 의해 자동 계산된 값을 사용하였다. 화색의 변화는 이 값들을 이용하여 실험 첫날과 노화된 시점의 △E값으로 나타내었다(Oh et al., 2015). 엽록소 함량 조사는 절화 수국의 잎을 chlorophyll meter(SPAD-502, Minolta, Japan)를 이용하여 측정하였다. 엽면적 측정은 절화 수명 조사가 끝난 후 수국의 잎을 떼어 낸 후 스캔하여 Image J 프로그램을 사용하여 엽면적을 측정하였다. 박테리아 검정은 3M Pipette Swap(3M Korea Ltd., Korea)을 사용하여 절화의 줄기 절단부 샘플을 채취한 후 일반 세균용 Petrifilm(3M Korea Ltd., Korea)에 분주하였으며, 항온기에 37°C, 24시간 배양하여 3개씩 3반복으로 Petrifilm에 배양된 균의 발생 유무를 조사하였다.
통계처리
각 조사에 따른 측정값의 통계분석 및 유의성은 SAS 프로그램(SAS 9.0, SAS institute Inc., Cary, USA) Duncan의 다중검정 p ≤ 0.05 수준에서 분석하였다. 그 외 절화수명과 각 요인의 상호작용에 관련하여 상관관계 분석은 SPSS 프로그램(SPSS 23.0 Statistics, SPSS Inc., Chicago, USA)을 통해 통계분석을 실시하였으며, 이원배치 분산분석(Two-way ANOVA) 분석방법을 이용하였다. 또한, Pearson’s correlation analysis를 통해 저장온도 및 저장기간과 절화수명을 포함한 절화의 품질 요인 간의 상관관계를 실시하였다.
결과 및 고찰
절화 수국의 적정 저장 기간 및 온도를 구명하고자 5, 10, 15일간 각각 5, 10, 15°C의 온도에 저장 후 실험을 실시한 결과, 저장이 끝난 후 실험 첫날의 개화모습은 Fig. 1과 같다. 5일동안 저장한 절화 수국은 수확 당시 채화한 상태와 같은 개화 2단계로 관찰되었고(Fig. 1B, C, D), 10일(Fig. 1E, F, G), 15일(Fig. 1H, I, J) 동안 저장한 절화 수국은 다소 개화가 진행되어 개화 3단계로 관찰되었다. 10일과 15일의 15°C(Fig. 1G, J) 처리구는 사진으로는 나타나지 않았으나, 육안으로 보았을 때 꽃받침 및 잎이 수분감을 잃고 늘어져있어 팽압이 느껴지지 않았으며, 꽃받침이 안쪽으로 말려들어가는 꽃잎 말림현상이 나타나 상품의 가치가 없는 상태로 조사되었다. 절화 수국의 상품평가에서 가장 중요한 부분은 외형으로, 큰 볼륨감과 색상이 소비자가 원하는 기준에 맞아야 하고, 꽃받침의 상처, 변색, 접힘 등의 손상이 없는 것이 중요한 요인라는 보고(Lee and Lee, 2018)와 같이, 육안으로 보았을 때 절화 수국의 개화상태가 고르게 유지되며, 꽃받침이 말려있지 않고, 수분감이 있어 팽압이 느껴지는 것이 중요한 것으로 판단되었다. 따라서, 오랜 저장기간과 높은 온도는 절화 수국의 외형적인 품질을 저하시키기 때문에 10일과 15일의 15°C 저장은 적합하지 않은 것으로 판단된다.

Fig. 1. Appearance of hydrangea‘Snowball White’ cut flowers by postharvest storage period and temperature: 1st day after storage test (A), 5th day after storage test (B - D), 10th day after storage test (E - G), 15th day after storage test (H - J) at storage temperature of 5°C (B, E, H), 10°C (C, F, I), and 15°C (D, G, J).
절화 수국의 품질 조사를 위하여 잎의 엽록소 함량, 꽃의 색도값, 절화수명 및 엽면적을 조사하고, 각 요인에 미치는 상호작용 분석을 실시하였다(Table 1). 꽃이 노화되기 시작한 실험 7일, 잎의 엽록소 함량은 무처리구가 가장 높게 나타났으나, 15일동안 15°C에 저장한 처리구를 제외하고 모든 처리구에서 통계적으로 유의차가 없는 것으로 조사되었다. Choi et al.(2014)은 절화 백합을 3일동안 습식 수송 할 때 5°C 처리가 백합 잎의 엽록소 함량을 높여 품질 유지에 다소 효과적인 것으로 보고하였고, 10°C는 통계적으로 유의차가 없어 본 연구 결과와 같이 저장 기간이 짧을 때는 저장온도가 엽록소 함량에 영향을 미치지 않은 것으로 판단된다. 상관관계를 조사한 결과, 저장기간과 엽록소 함량은 음의 상관관계(p ≤ 0.01, r = - 0.440)를 가지는 것으로 조사되었다(Table 2). 이는 저장기간이 길어질수록 엽록소 함량이 감소하는 것으로 판단된다. 또한, 수국의 엽록소 함량은 재배기간 동안 재배환경 및 pH조절 등에 따라 변화되는 것으로(JARES, 2015), 잎이 크고 넓기 때문에(Eid et al., 2015) 엽록소가 다량 축적되어 15일 동안 15°C에 저장한 처리구를 제외하고 통계적으로 크게 차이가 없는 것으로 판단된다. Hunter value △E 값은 작을수록 꽃잎의 색상이 본래의 색상 가깝다는 것을 의미하며(Oh et al., 2015), 실험 7일의 △E 값은 5일 동안 5°C, 10°C에 저장한 처리구 및 무처리구 값이 다소 낮은 것으로 보아 화색변화가 다른 처리구에 비해 적은 것으로 나타났다. 이는 Lee et al.(2014)의 연구에서 ‘Snowball White’ 품종이 노화가 되었을 때 색상 변화의 차이가 없다는 연구 결과와 일치하였다.
절화수명 조사 결과, 무처리구의 절화수명은 8일이었며, 5일 동안 10°C에 저장 처리구는 13.2일로 무처리구에 비해 약 5.2일 연장되었다. 그러나 5일 동안 5, 10, 15°C에 저장한 모든 처리구는 무처리구에 비해 절화수명이 다소 연장되었으나 10°C를 제외하고 유의차가 없는 것으로 나타났다. 15일 동안 저장 시에는 5°C와 10°C 모두 무처리구와 절화수명이 비슷하게 나타났으나, 무처리구에 비해 실험 첫 날부터 상품성이 다소 떨어지는 것으로 나타나 15일 저장 시에는 온도를 더 낮추어야 할 것으로 판단되었다. 이는 Flavia et al.(2014)의 연구 결과와 같이 antique 단계의 절화 수국을 예냉을 하지 않고 0.5°C에 약 20일간 저장 시 수국의 수명이 유지되어 효과적인 것으로 보고된 것과 같이 장기간 저장 시 5°C보다 온도를 더 낮추어야 할 것으로 판단되었다. 수국의 antique 단계는 수국의 관상 부위인 꽃받침이 본래의 화색에서 엽록소 발현이 끝난 후 녹색 계열 또는 붉은색 계열로 바뀌고 질감이 다소 건조된 느낌이 도는 단계이다(Flavia et al., 2014; Lee and Lee, 2018).
절화수명은 저장기간과 저장온도간의 상호작용은 없으나 각 요인은 영향을 미치는 것으로 조사된 결과와 일치하였으며, 특히, 저장온도과 절화수명은 음의 상관관계(p ≤ 0.01, r = - 0.434)로 나타나 저장온도를 낮춰주는 것이 수명연장에 효과적인 것으로 판단된다(Table 2). 절화 수국은 수확 후 품종에 따라 2일에서 약 11일까지 절화수명이 유지되며, 전처리 용액으로 습식 저장 시 수명 및 품질에 더 효과적이고, 전처리를 하지 않은 상태로 저장을 하게 되면 곰팡이병에 발병하기 쉽다고 보고하였다(Flavia et al., 2014). 국내에서 절화의 저장온도와 관련된 연구는 수출을 위해 수송 시 적정 온도와 관련된 연구가 주를 이루고 있으며(Lee and Lee, 2015; Oh et al., 2017), 이 중 Lee and Lee(2013)의 보고에 따르면, 스프레이 국화는 일본으로 수출 시 소요되는 약 48시간 동안 5°C로 저장하여 수송하는 것이 절화수명을 3일 연장하여 효과적이라 하였다. 이와 같이 절화의 적정 저장온도는 5 - 7°C로 저장하는 것이 절화의 품질 향상에 효과적이며, 타 저장방법에 비해 비용이 적게 들어서 실용적인 저장법으로 보고되었으며, 이는 5일 이내 유통 시 적정한 저장온도로 조사되었다(Yoo and Kim, 2003). 또한, 저장 시 건식은 상업적으로 쉽게 이용할 수 있으나 절화의 품질 향상과 수명연장을 위해서는 반드시 습식저장을 해야 품질 유지에 효과적이라고 보고되었다(Bosma and Dole, 2002).
절화 수국은 큰 잎을 가지고 있어 ‘big leaf hydrangea’라고 불리며(Eid et al., 2015), 국내에서는 수확 후 꽃 아래 잎을 2매씩 남겨서 출하한다. 절화 수국은 장미 다음으로 결혼식 연회 장식 및 웨딩 부케 소재로 많이 사용하며(Kim, 2010), 잎을 많이 사용하지 않는 화훼장식 소재로 절화수명을 감소시키는 요인으로 작용할 수 있기 때문에 각 처리의 엽면적을 조사하였다. 그 결과, 처리간에 유의차는 나타나지 않았으나 15일 저장 시 10°C 및 15°C 처리구가 무처리구에 비해 다소 낮게 조사되어 육안 관찰 시 수분감이 없어 팽압이 느껴지지 않은 결과와 일치한 것으로 나타났다. Lauridsen et al.(2015)는 수국을 수확 하기 전 분화상태에서 에틸렌 호르몬을 처리하면 잎이 쉽게 떨어지고, 화색이 변색되는 것을 방지하여 저온저장 후 유통하면 품질 유지에 효과적이라고 보고하였다.
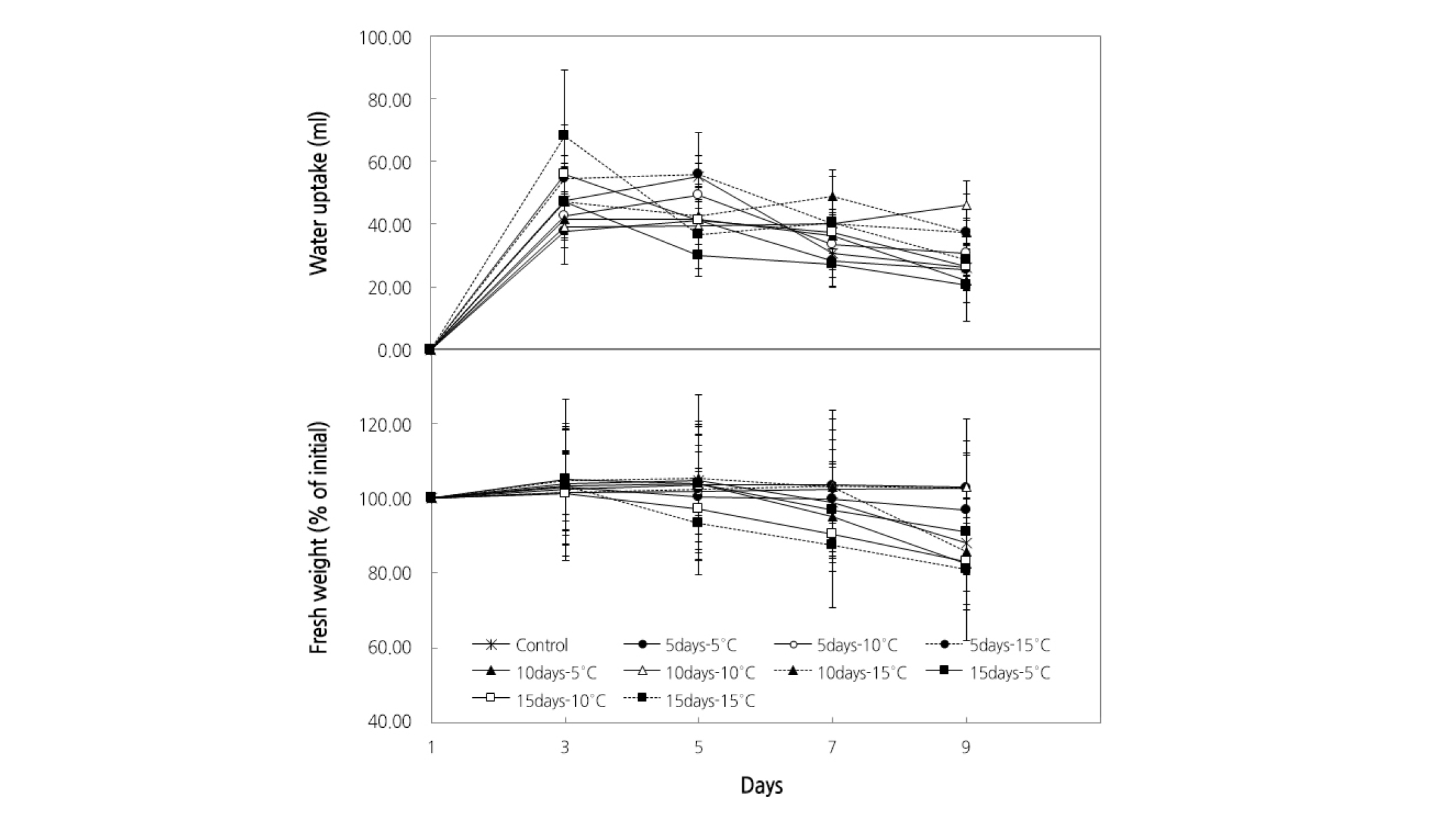
절화 수국 줄기의 박테리아 검정 결과(Fig. 2), 무처리구를 제외하고 저장기간에 상관없이 저장온도 15°C의 모든 처리구에서 박테리아가 다소 검출되었다(Fig. 2D, G, J). 이는 15°C가 줄기 내 박테리아의 발생에 유리한 환경인 것으로 판단되어, 절화수명이 다른 처리구에 비해 다소 짧게 나타난 앞의 연구 결과와 일치하였다. 절화 수국의 수분 흡수량 및 생체중변화율을 조사한 결과(Fig. 3), 수분흡수량은 실험 3일에 급격히 증가한 후 감소하는 경향을 보였으며, 15일 동안 15°C, 10°C에 저장한 처리구의 수분흡수량이 각각 68.3mL, 55.9mL로 가장 높게 나타났다. 또한, 5일과 10일 동안 5°C, 10°C에 저장한 처리구의 수분흡수량이 가장 낮았다. 이를 통해 본 연구의 박테리아 검정 결과와 비교 시, 15°C 처리구의 박테리아 발생이 많음에도 불구하고 수분흡수량이 저온처리보다 많은 것은 절화 수국에 발생한 박테리아는 수분흡수에 있어 크게 영향을 미치지 않는 것으로 판단된다.

Fig. 2. Bacteria reaction of postharvest storage temperature and period of hydrangea ‘Snowball White’ cut flower on bacterial growth: 1st day after storage test (A), 5th day after storage test (B - D), 10th day after storage test (E - G), 15th day after storage test (H - J) at storage temperature of 5°C (B, E, H), 10°C (C, F, I), and 15°C (D, G, J) (n = 9).
생체중 변화율은 실험 3일까지 초기 생체중에 비해 전체적으로 약 3.1% 증가하였으며, 이 중 15일 동안 5°C에 저장한 처리구 및 10일 동안 15°C에 저장한 처리구는 평균 생체중 변화율에 비하여 약 2 % 상승되었다. 저장기간이 길어질수록 노화가 되었을 때 생체중이 급격히 감소하는 경향을 보여 실험 9일은 무처리구와 15일동안 저장한 모든 처리구가 감소폭이 다소 크게 나타나 Yoo and Kim(2003)의 거베라 연구 결과와 같았다.
저장온도 및 저장기간과 생체중 변화율 및 수분흡수량 간의 상관관계를 조사한 결과(Table 2), 수분흡수량은 저장온도와 양의 상관관계(p ≤ 0.01, r = 0.540)를 가지는 것으로 조사되었으며, 생체중변화율은 저장기간과 음의 상관관계(p ≤ 0.01, r = - 0.485)를 가지는 것으로 조사되었다. 또한, 수분흡수량과 생체중 변화율 간에는 양의 상관관계(p ≤ 0.01, r = 0.580)를 가지는 것으로 조사되었다. 이를 통해 절화 수국 저장 시 온도가 높을수록 수분흡수량이 많아지는 것으로 판단되며, 이는 식물을 저온저장 시 식물체 내 탄수화물 및 호흡속도를 감소시켜 수분손실을 막아(Lee and Lee, 2015) 선도유지 효과적인 것으로 판단되었다.
따라서, 절화 수국의 5일 저장 시 5, 10, 15°C 모두 통계적 유의차가 없어 무처리구보다 품질 유지에 효과적일 것으로 판단되며, 15일간 저장 시에는 절화 수국이 온도에 따라 품질이 변화하기 때문에 호흡을 억제하여 수분을 유지할 수 있도록 5°C보다 낮은 온도에 저장하는 것이 선도유지에 효과적일 것으로 판단된다.





