서 언
재료 및 방법
식물재료
무측지성 발생 정도 및 실질적 동등성 평가
병해충 및 토양 미생물의 환경위해성 평가
결과 및 고찰
무측지성 발생 정도 및 실질적 동등성 평가
병해충 및 토양 미생물의 환경위해성 평가
서 언
세계적으로 기후변화에 대처하고 지속가능한 농업생산을 위한 생명공학의 중요성이 강조되고 있다. 그 중 유전자변형작물(genetically modified organism, GMO)을 하나의 대안으로 주목하고 있으나 GMO가 환경에 미치는 잠재적 위험성, 도입유전자가 표적 및 비표적 생물체로 전이될 가능성(De Vries and Wackernagel, 2004; Nap et al., 1992), 잡초화, 생태계 교란 등에 대한 안전성 시비는 끊임없이 대두되고 있는 실정이다(Sohn et al., 2010; Stewart et al., 2003). 유전자변형 작물을 이용하기 위해서는 유전자변형생물체의 국가간 이동 등에 관한 법률(LMO법)에 의거하여 환경에 대한 잠재적 위해성을 평가하고 관련부처에 제출하여 심사 및 승인을 받아야 한다(RDA, 2010). 국내에서 유전자변형 생물체의 위해성평가 자료를 제출하기 위한 항목 중 변형산물의 평가에서는 모의적 환경(격리포장) 시험 실적, 유전자변형 식물의 위해성 평가에 관한 정보 등의 자료를 제시하여 작성해야 하는 것으로 되어 있다(NAAS, 2005). 또한, 유전자변형식물의 심사를 위한 환경위해성 평가자료로써 유전자변형 식물체의 환경 방출 시 주변생물 및 생태계에 미칠 수 있는 영향에 관한 정보를 제출하도록 하고 있으며, 주변 생물은 화분매개체, 뿌리 공생균, 초식동물, 조류, 토양미생물, 토양 곤충 등을 지칭하고 있다(Baek et al., 2010).
토마토, 고추 등에서 기계화 수확을 위해 연구되었던 무측지성이 80년대 들어 국화육종에도 주요 형질로 도입되어 무측지성 품종이 육성되면서 곁봉오리 제거 노력의 절감을 통한 생력화 재배가 현실화되었다(Lippert et al., 1965; Malayer and Guard, 1964; Mapelli and Lombardi, 1982). 최근 스탠다드 품종들은 무측지성 국화로 대체되고 있으나(Tsuhiya, 2001), 고온에 따른 무측지성 국화의 액아 소실이 품종에 따라 차이가 있는 것으로 나타났다(Huh et al., 2007). 일부 연구에서는 고온 및 재배시기 조절에 의해 액아 발달이 감소될 수 있으며(Deguchi, 2002), Huh et al.(2013)은 토마토에서 분리된 lateral suppressor(LS) 유전자(LeLS)를 도입하여 국화에서 측아 형성 억제 기능성을 검토한 결과 측아 형성의 변화가 정식시기에 따른 온도의 영향을 받으며, 평균온도가 높을수록 무측지성 발현이 높은 것으로 보고하였다.
유전자변형 작물의 도입유전자 전이는 작물의 화분비산이나 곤충에 의해서 일어나고, 재배면적, 개화시기, 화분의 활력, 풍속, 곤충활동 반경 등의 요인에 의해 동종 식물과 교배가 일어날 수 있는 것으로 보고되었다(Cresswell, 1999; Pierre, 2001). 근연종 및 이종간의 교배가능성은 유전자변형 작물의 환경위해성 평가 항목 중 가장 중요한 부분이며, 이는 유전자변형 작물에 도입된 외래 유전자가 재배포장을 벗어나 자연 생태계의 동종, 근연종 및 이종 식물체로 유입된다면 생태계를 교란시킬 가능성이 있기 때문이다(Al-Ahmad and Gressel, 2005). Yoo et al.(2011)은 전남지역의 스탠다드 국화 시설재배에서의 병해충 발생 양상을 3년간 조사하였는데, 발생하는 해충은 주로 응애, 아메리카잎굴파리, 총채벌레, 진딧물, 온실가루이 등인 것으로 보고하였다.
토양 생태계에서 유전자변형 작물 미생물이 어떠한 상호작용에 의해 영향을 주고, 80% 이상이 미배양종인 미생물의 지속 가능한 사용을 위해 어떠한 원칙 및 수준에 따라 위해성평가를 수행해야 하는지에 대해 아직 제시되지 않고 있다(Huh, 2012). 그러나, 환경위해성 평가 중 유전자변형 작물이 토양 미생물 군집에 미치는 영향에 대해서는 최근 토양 환경 내 미생물 군집의 특성을 연구하기 위한 발전된 방법들이 개발되고 있다(Lee et al., 2010). Bt벼와 낙동벼의 토양 미생물상 영향을 조사하기 위해 세균, 방선균, 진균의 미생물 군집밀도가 조사되었으며, 시기별 두 토양간 유의성 있는 차이는 없는 것으로 조사되었다(Sohn, 2012). 유전자 변형 작물의 경우 상업적 재배가 이루어지기 전에 유전자 변형 작물이 환경에 미치는 잠재적 위해성에 대한 면밀한 검토가 필요하며, 이를 위한 자료 축적은 꾸준히 이루어져야 할 것이다.
그러므로, 본 연구는 국내에서 개발된 국화의 GM 이벤트에 대한 실질적 동등성과 환경 위해성 평가를 위해 GM 화훼류 이벤트의 표현형, 생육 및 개화특성 등의 재배적 특성과 해충의 발생 정도 및 토양미생물의 변화 양상 등 프로토콜을 작성할 목적으로 주변 생물 및 생태계에 미치는 영향에 관한 정보를 수집하고자 하였다.
재료 및 방법
식물재료
무측지성 GM 국화의 시험재료로는 토마토에서 분리된 lateral suppressor 유전자(LeLS)가 도입된 무측지성 국화 형질전환체인 LeLS69, LeLS76, LeLS80 등 3계통을 이용하였으며, 전환체의 모체인 대조품종 ‘Jinba’와 비교 분석하였다. 완전임의배치법 3반복으로 총 90주를 시험구에 배치하였으며 수원 소재의 국립원예특작과학원 GMO 격리온실에서 2012년 4월 25일부터 2012년 10월 30일까지 수행하였다. 무측지성 GM 식물체 모주갱신을 위해서 삽목은 4월 25일, 정식은 5월 29일부터 30일까지, 적심은 6월 12일에 실시하였다. 특성검정용 시험구 처리를 위해서 삽목은 7월 5일, 정식은 7월 19일, 개화유도를 위한 단일처리는 8월 20일부터 개시하였다. 특성평가를 위한 조사는 10월 22일부터 24일까지 실시하였다.
무측지성 발생 정도 및 실질적 동등성 평가
무측지성 GM 국화의 표현형 및 재배적 특성을 검정하기 위해서는 각 계통간 무측지성 발생 정도를 비교하였다. 무측지성 정도는 정상적으로 착생된 액아수, 비정상적인 액아수(블라인드 현상과 유사), 그리고 처음부터 액아가 생기지 않는 무측지성 엽액수를 각 개체마다 조사하고 위치를 분석하였다(Fig. 1). 재배적 특성으로는 생육단계별 생육 정도 및 개화 특성을 대조구 및 GM 국화 계통별로 분석하였다. 생육에 따라 개화의 진전 단계가 달라 개화 정도를 6단계로 구분하여 조사하였다.
|
Fig. 1. Various standards of investigation for axillary buds and flowering stages (A, normal axillary bud; B, abnormal axillary bud; C, non-branching; D, six flowering stages). |
병해충 및 토양 미생물의 환경위해성 평가
GM 국화의 생리장해 및 병해충 발생 정도를 정식 후 매주 조사하여 변화양상에 대해 분석하였다. 꽃노랑총채벌레(Frankliniella occidentalis, thrips), 목화진딧물(Aphis gossypii, aphids), 아메리카잎굴파리(Liriomyza trifolii, leafminer), 온실가루이(Trialeurodes vaporariorum, whiteflies), 점박이응애(Tetranychus urtucae, mites) 등의 20개 엽당 발생 정도를 조사하였다. 시험구당 90주에서 임의로 잎 20개를 채취하여 해부현미경 하에서 엽당 병해충 수를 조사하였다.
또한 토양미생물의 변화를 보기 위해 실험 종료 시 GM 국화 계통별로 뿌리와 밀접한 부위의 토양을 채취하여 세균, 방선균, 사상균의 발생 정도를 분석하였다. 채취한 토양 10g을 90mL의 멸균된 0.85% NaCl 용액에 넣어 진탕배양기(Vision Co., Bucheon, Korea)에서 200rpm으로 30분간 현탁하였다. 현탁액은 일련의 희석계열을 만든 후, 세균은 cycloheximide(0.05gL-1)를 첨가한 R2A agar(NA, Difco) 배지에, 사상균은 chloramphenicol(0.02%)을 첨가한 R2A agar 배지에, 방선균은 sodium caseinate agar 배지에 도말하여 배양하였다. 도말된 평판은 세균의 경우 28°C에서 2일간, 방선균은 4일간, 사상균은 5일간 배양한 후 출현한 colony를 계수하였다. 각 시료당 미생물 수는 3개의 petridish에 나타난 colony를 각각 계수한 후 평균한 값을 생균수(colony forming unit: CFU・g-1 건토)로 산출하였다.
통계분석은 SAS system(Ver 9.1, SAS Institute Inc., USA)에 의해 최소유의차(LSD) 검정법으로 5% 수준에서 유의성을 검정하였다. 그래프 작업은 SigmaPlot(Ver 9.01, Systat Software Inc., USA)을 이용하였다.
결과 및 고찰
무측지성 발생 정도 및 실질적 동등성 평가
GM 국화들의 무측지 발생 정도를 모체로 사용되었던 대조구 ‘Jinba’와 비교분석한 결과 LeLS80 이벤트에서 무측지성이 가장 강하게 발현되었다(Table 1). LeLS80의 경우 상단부의 측지 발생 출현빈도가 대조구인 ‘Jinba’에 비해 낮아 측지제거를 위한 노력 절감이 기대되었다(Fig. 2). 무측지성은 주로 여름 고온기에 발현되는 것으로, 액아가 발생하면서 소실되는 무측지성을 관찰할 수 있었다. 고온처리는 무측지성 국화의 액아 발달 억제 및 측지 발생을 감소시키나(Faust and Heins, 1992; Kaneko and Morita, 2002), 45°C 이상의 고온은 액아 발달을 다시금 유도하는 것으로 보고되고 있다(Shin, 1995). GM 국화 중에서 LeLS76 및 LeLS69의 경우는 액아가 비정상적인 형태를 나타내다가 9월 이후 온도가 떨어지는 시점부터 측지로 발생하는 것을 볼 수 있었다. Shin et al.(1998)의 연구에 따르면 자연상태에서 무측지성의 발현을 육안으로 확인할 수 있는 시기는 5월 하순에서 6월 상순이었으며 무측지성의 발현이 억제되기 시작한 시기는 9월 상순인 것으로 나타났다. LeLS80은 대조구 ‘Jinba’에 비해서 무측지성의 발현도가 높은 것을 확인할 수 있었으나, LeLS76과 LeLS69는 무측지성의 발현율이 현저히 낮았다.
무측지성 GM 국화 계통의 생육 및 개화 특성을 비교한 결과는 Table 2와 같았다. ‘Jinba’와 GM 국화 계통의 생육은 유의성 있는 차이가 보여지지 않았다. 개화에 있어서는 대조구 ‘Jinba’와 LeLS69의 개화 진전이 비슷한 양상을 나타내었지만 LeLS80과 LeLS76의 경우 다소 늦어져 개화까지 단일처리 후 60일 이상 소요됨을 볼 수 있었다. 무측지성 품종들은 기존의 주력 품종에 비해 품질이 뒤떨어지고 번식력이 낮다는 단점과 무측지성의 생리와 재배법에 관한 연구 부족으로 초반에는 크게 부각되지 못하였으나(Shin et al., 1996), 무측지성 국화의 재배특성에 관한 많은 연구들이 이루어지면서 고온과 재배시기의 조절에 의해 품질이 개선된 것으로 보고되었다(Gotoh and Tomimitsu, 1999). 전반적인 생육을 비교해 볼 때 대조품종인 ‘Jinba’에 비해 GM 국화의 개화시기가 늦어졌으나, 무측지성의 발현 정도에 따른 각 계통에 대한 유용성 평가 및 품질 향상을 위한 재배관리 등이 개선되어야 할 것으로 판단되었다.
병해충 및 토양 미생물의 환경위해성 평가
병해충 발생을 보기 위해 단일처리 후 매주 단위로 조사하였다(Fig. 3). 꽃노랑총채벌레(Frankliniella occidentalis, thrips) 발생 소장은 조사기간 중 8월 27일, 10월 2일에 높게 나타났다. 10월 6일 이후 밀도가 감소하였으며 전체적으로 이벤트간 차이는 없었다. 점박이응애(Tetranychus urtucae, mites) 발생 소장은 9월 3일부터 밀도가 증가하여 10월 8일에 가장 높게 나타났다. 전체적으로 이벤트간 차이는 없었으며 발생 경향이 유사하였다. 목화진딧물(Aphis gossypii, aphids) 발생 소장은 9월 3일, 10월 2일, 10월 22일에 가장 높게 나타났으며, 발생 소장은 이벤트간 차이가 없었다. 아메리카잎굴파리(Liriomyza trifoli, leafminers) 발생 소장은 LeLS80에서 다른 계통에 비해 피해 정도가 높았으나 10월 8일 이후에는 다른 계통과 동일한 경향을 보였다. 이는 육묘기에 LeLS80이 아메리카잎굴파리에 의한 감염 정도가 높았기 때문인 것으로 사료되었다. 온실가루이(Trialeurodes vaporariorum, whiteflies) 발생 소장은 9월 10일부터 17일 사이에 높게 발생했으며 이후 전체적으로 점차 감소하였다. 발생 경향은 이벤트간 차이가 없었다. 병해충 별 발생 경향 분석에서 꽃노랑총채벌레, 점박이응애, 목화진딧물, 온실가루이는 총 발생량에서 이벤트간 유의차가 없었다(Table 3). 콩의 유전자변형 작물과 비변형작물로의 곤충상을 개화 최성기에 비교한 결과, 야생콩은 14개 과에 속하는 270개체(8월; 장님노린재과, 잎벌레과, 파리류 등), 재배콩인 태광콩은 13과에 속하는 98개체(7월; 파리류, 잎벌레과 등), 제초제저항성 형질전환 콩은 9과에 속하는 21개체(7월; 잎벌레과) 등이 발생한 것으로 보고되었다(Baek et al., 2010). 작물별 다양성의 차이는 보여졌으나, 시기별 유의성 있는 결과는 얻어지지 않아 본 연구와 일치된 결과를 나타냈다. 고추의 연구에서도 곤충의 군집이 시기에 따른 차이만 나타내고, 유전자변형 여부의 영향을 인하여 군집구조의 통계적 유의한 차이는 없는 것으로 보고되었다(Yi et al., 2007).
|
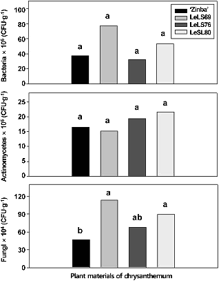
Fig. 4. Number of microbes in rhizosphere soil according to the plant materials of chrysanthemum (Mean separation within columns by LSD at p = 0.05). |
토양 미생물의 변화를 살펴본 결과, 세균과 방선균은 ‘Jinba’와 GM 국화 계통간에 유의성 있는 차이가 보여지지 않았다(Fig. 4). 사상균은 모든 GM 국화가 ‘Jinba’보다 높은 값을 보였다. 연구를 통해 유전자변형 작물과 이의 삼출물 그리고 토양미생물간의 상호관계에 의해 미생물 다양성의 변화와 생태계 기능이 영향을 받을 수 있다는 우려가 제기되었으며, 토양과 식물체 그리고 토양미생물의 상호작용은 식물 종과 도입된 유전자 그리고 유전자변형 작물의 환경에 의해서도 영향을 받는 것으로 보고되었다(Huh, 2012). 양분과 에너지 급원인 식물체의 지하부 역할과 토양 미생물의 중요성을 오래 전부터 인식하였음에도 불구하고 토양 생태계의 복잡성으로 인해 미생물의 군집 구조와 기능에 대한 이해는 초보적인 수준에 머물러 있으며, 토양 미생물에 대한 영향을 평가하기 위해 예전부터 사용해오던 여러 방법들이 유전자변형 작물의 영향 평가에 폭넓게 적용 가능한지도 아직까지 불확실한 상태이다(Liu et al., 2005). 유전자변형 작물과 미생물간의 상호작용에 대한 가능한 많은 정보를 수집하고 분석함으로써 효과적인 환경위해성 평가와 심사가 이루어질 수 있으리라 판단되었다.
종합적으로 볼 때, 모체로 사용되었던 ‘Jinba’와 GM 국화 계통간의 생육은 유의성 있는 차이를 보이지 않았고, 특히 LeLS80 계통의 경우는 하계 고온기에 무측지성이 잘 발현됨을 관찰할 수 있어서 향후 무측지성 발현을 위한 유전자원 및 이벤트 개발에 유용할 것으로 추정되었다. 본 연구는 GM 국화의 농업적 형질 또는 생육 형질에 대한 동질성 및 환경위해성 평가를 위한 프로토콜을 작성할 목적으로 실시되었으며, 특히 GM 국화를 포식하는 곤충과 토양 미생물의 변화양상을 관찰하여 주변 생물 및 생태계에 미치는 영향에 관한 정보를 수집하고자 하였다. 국화의 GM 이벤트로 인한 곤충 및 미생물의 변화 양상에 환경 위해성이 나타나지 않았으나, 지속적인 실질적 동등성 평가를 위해 앞으로 모니터링 연구를 기초하여 다양한 측면에서 접근할 필요성이 있는 것으로 판단되었다. 국화의 GM 이벤트가 실용화되기 위해서는 비형질전환 작물과의 실질적인 동등성을 가지는지에 대한 평가 외에 도입 유전자의 분자생물학적 특성 등과 같은 환경위해성 여부가 평가되어야 하며, 도입 유전자의 세대 간 안정적 유전 및 발현 등과 같은 분자생물학적 분석이 추가적으로 필요할 것으로 사료되었다.






