서 언
재료 및 방법
공시 재료, 시험포장 조성 및 실험기간
총 출수 기간, 화경 밀도 및 평균 출수 속도
주간 출수율, 출수 피크타임, 출수 집중도 및 출수 패턴
화서 색채
화서의 형태적 특성
화서 가시성 평가
기상, 토양 환경 및 재배 관리
통계분석
결과 및 고찰
총 출수 기간, 화경 밀도 및 평균 출수 속도
주간 출수율, 출수 피크타임, 출수 집중도 및 출수 패턴
화서 색채
화서의 형태적 특성
화서 가시성 평가
서 언
관상용 그래스(ornamental grasses)는 경관 가치와 지속성이 우수한 식물로 벼과(Poaceae), 사초과(Cyperaceae), 골풀과(Juncaceae), 부들과(Typhaceae) 및 레스티오과(Restionaceae)의 5가지 분류군에 분포되어 있다(Darke, 2007). 양지, 음지, 건조, 습지 및 수변 등 다양한 생육환경에 적응하고, 여러 가지 토성(soil texture)과 척박한 토양에도 적응력이 우수하여(Davidson and Gobin, 1998; Dougherty et al., 2015) 전 세계적으로 녹지, 건축 조경, 가정원예 분야에서 광범위하게 식재되며(Gao and Liu, 2005; Wu et al., 2006; Thetford et al., 2009) 다양한 원예품종이 개발되고 있다. 최근 기후변화의 영향으로 내서성과 내건성이 우수한 종이 주목받고 있으며, 특히 관리 요구도가 낮아 국내에서도 하천변, 가로변, 광장 및 공원 등의 저 관리 지역(low maintenance area)에서 식재 빈도가 높아지고 있다(Kim et al., 2013). 그러나 긴 지하경(rhizome)과 지상경 형태(stoloniferous)로 생장하거나 종자 번식력이 높은 종(spp.)은 침입성(invasive potential)이 강하여 생태계 교란 가능성이 높아 종의 선택 시 생장 습성(growth habit)과 번식 특성을 고려할 필요가 있다(Meyer and Tchida, 1999; Meyer, 2004; Dougherty et al., 2014; Bonin et al., 2017).
현재 관상용 그래스가 가장 많이 속해 있는 벼과는 세계적으로 650 - 800여 속, 8,000 - 10,000여 종이 분포하고 있으며(KFS, 2015) 국립수목원(Korea National Arboretum, KNA) 국가 표준 식물 목록(Korean Plant Names Index, KPNI)에 명시된 관상용 그래스의 5가지 분류군 중 40.4%가 벼과에 속해 있어 잠재적 유전자원이 풍부한 식물군으로 해석될 수 있다(KNA, 2018). 우리나라에서는 억새속(Miscanthus), 수크령속(Pennisetum) 식물이 원예 및 조경용의 관상용 그래스로 주로 식재되고 있는데 억새속 식물은 C4 type의 다년생식물(Greef et al., 1997)로 국내에는 물억새[Miscanthus sacchariflorus (Maxim.) Benth.]와 억새(Miscanthus sinensis Andersson) 계통들이 전국 각지에 자생하고 있다. 물억새는 하천변이나 물가에 자라는 키 큰 풀로 긴 지하경이 있고 대 군락을 이루며 줄기의 직립성이 강한 반면, 억새는 산이나 평지, 초원에 자생하는 식물로 짧은 지하경이 있고 줄기는 총생하며 포기를 이룬다(Lee, 2003). 이러한 억새의 생장 습성(growth habit)은 물억새에 비하여 상대적으로 관상용 그래스로 적합하여 현재 가장 많은 원예품종이 개발되어 있으며 초고(plant height), 초형(overall form), 질감(texture) 및 잎의 무늬(leaf pattern)가 다양한 20종의 재배종이 KPNI(KNA, 2018)에 명시되어 있다.
관상용 그래스의 경관 감상은 영양 생장기에 해당하는 1차 감상 시기와 생식 생장기에 해당하는 2차 감상 시기까지 연속적으로 이어지며 생육상이 전환되면서 경관요소가 달라진다. 1차 감상 시기에는 초고, 초형, 질감, 잎의 무늬 및 엽색(leaf color)을 감상할 수 있다(Kim et al., 2015). 특히 관상용 억새의 독특한 무늬와 엽색은 1차 감상 시기의 주요 경관요소가 되며 엽맥과 교차하는 무늬가 있고 두 가지 색을 가진 zebra-stripe type(M. sinensis ‘Strictus’ etc.), 엽맥과 평행하는 무늬가 있고 두 가지 색을 가진 stripe type(M. sinensis ‘Variegatus’ etc.), 무늬가 없는 단색의 normal type(M. sinensis ‘Gracillimus’ etc.)으로 구분할 수 있다. 그리고 2차 감상 시기에는 출수(heading), 화서(inflorescence) 및 엽색의 변화(discoloration)가 경관요소가 되며 출수 특성(heading characteristics)과 화서의 가시성(inflorescence visibility)은 2차 감상 시기의 주요 경관요소가 된다(Wilson and Knox, 2006, 2009; Gunnell et al., 2015).
억새의 꽃은 우리나라에서는 8 - 10월 사이에 피며 포영(glume), 호영(empty glume), 내영(inner glume)으로 둘러싸여 여러 개가 피고 화서는 길이 20 - 30cm로 10 - 25개의 총(raceme)이 길게 배열되어 있다(KFS, 2015). 꽃은 크기가 작고 유지기간이 짧지만 화서는 유지기간이 길며 밀집된 정도와 색채가 조합된 전체적인 이미지에 따라 가시성의 핵심적인 요소가 된다. 관상용 그래스의 경우 종과 품종(cultivar)에 따라서 다양한 형태와 색채의 화서가 나타나는데 초형과 화서의 시각적 분리가 명확하고 밀도가 높으며 색채 변화가 뚜렷할수록 화서의 가시성이 높다. 화서의 가시성은 1차 감상 시기부터 이어지는 경관의 연속성 측면에서 중요한 요소이나 국내 억새속 식물의 연구는 에너지 작물 교배육종 모본 선발을 위한 출수 특성 연구(An et al., 2015; Song et al., 2018)와 플라워 디자인 소재에 관한 일부 연구(Sohn and Kwon, 2008) 등에서만 제한적으로 보고되고 있어 관상용 그래스로서 억새 원예품종의 출수 특성과 화서 가시성 평가에 대한 연구가 부족하다.
본 연구에서는 국내 저 관리 지역에 식재되고 있는 관상용 그래스 억새 품종 7가지를 선정하여 총 출수 기간(total heading period), 화경 밀도(density of peduncle), 평균 출수 속도(mean weekly heading, MWH), 주간 출수율(weekly heading rate, WHR), 출수 피크타임(heading peak time), 출수 집중도(mean heading rate, MHR), 출수 패턴(heading pattern), 화서 색채(inflorescence color) 및 화서의 형태적 특성(morphological characteristics)을 분석하고 2차 감상 시기의 주요 경관요소인 출수 특성과 화서의 가시성을 평가하였다.
재료 및 방법
공시 재료, 시험포장 조성 및 실험기간
공시 재료는 국내에서 식재되고 있는 억새(M. sinensis) 자생종과 원예품종 중에서 초고와 잎의 무늬가 다양한 7품종을 선정하였다(Table 1). 일반적인 특성은 미농무성(U.S Department of Agriculture, USDA)의 Natural Resources Conservation Service Plant Database(USDA, 2018)와 Missouri Botanical Garden(MBG)의 Plant Finder(MBG, 2018), The Encyclopedia of Grasses for the Livable Landscapes(Darke, 2007), 산림청(Korea Forest Service, KFS)의 한국식물 도해 도감(KFS, 2015) 및 원색 대한 식물도감(Lee, 2003)를 인용하였다. 식물명은 국립수목원(KNA)의 KPNI에 명시된 학명과 품종명을 표기하였고(KNA, 2018) 일반명은 국가와 지역에 따라 다양하게 사용되는 경향이 있어 생략하였다.
2012년 6월 연세대학교 원주캠퍼스 연구 온실(강원도 원주 소재)에서 모본들을 재배하였고 월동 시킨 후 2013년 3월 줄기수가 5 - 7개 포함되도록 분주하여 교내 시험포장에 정식하였다. 포장 면적과 식재 본 수는 성숙된 크기를 고려하여 한 품종 당 16m2(2m × 8m), 재식 간격 1m로 12본씩 식재하였으며 초기 활착을 위한 관수(irrigation) 관리를 제외하고 2017년까지 무 관수, 무 시비관리로 저 관리 지역에서 생장할 수 있도록 재배하였다. 전체 실험기간은 2017년 7월부터 2018년 2월까지였고 조사항목마다 데이터 수집 기간은 달랐다.
총 출수 기간, 화경 밀도 및 평균 출수 속도
총 출수 기간, 화경 밀도 및 MWH 조사는 2017년 7월부터 11월까지 1주일 간격 4반복(4개체)으로 실시하였다. 본 실험에서는 Jensen 등의 연구(Jensen et al., 2011, 2013)와 농촌진흥청(Rural Development Administration, RDA) 농업과학기술 연구조사분석기준 ‘억새의 생육 및 특성조사’(RDA, 2012)에서 출현기의 정의에 따라 전체 12본 중 5본 이상의 개체에서 화서가 지엽을 뚫고 출현한 출수 시작 시점부터 출수 종료 시점까지의 기간을 총 출수 기간으로 산정하였다. 화경 밀도는 1본 당 총 화경 개수로 정의하였고 총 출수 기간 동안 화서가 1cm 이상 출현한 화경의 개수를 1주일 간격으로 조사하고 누적하여 산출하였다. MWH는 Association of Official Seed Analysts(AOSA)의 종자분석방법(AOSA, 1990)을 응용하여 총 화경수(화경 밀도)를 조사 주수(총 출수 기간)로 나눈 값으로 정의하였다.
평균 출수 속도(mean weekly heading, MWH) = N/T
N: total number of peduncles
T: total heading period
주간 출수율, 출수 피크타임, 출수 집중도 및 출수 패턴
WHR, 출수 피크타임, MHR는 2017년 7월부터 11월까지 4반복으로 조사하였으며 종합하여 출수 패턴을 분석하였다. WHR은 출수 시작 후 1주 간격으로 산출한 화경 개수를 총 화경수로 나누어 백분율을 산정하였다.
주간 출수율(weekly heading rate, WHR = (ni/N) × 100
ni: number of peduncles per week
N: total number of peduncles
출수 피크타임은 조사 기간 중 WHR이 가장 높은 시기를 1차 출수 피크타임(peak I)으로 정의하고 소요 주수(week after heading)와 WHR을 명시하였다. 2차(peak II) 및 3차 출수 피크타임(peak III)은 Wilson과 Knox의 연구에서 적용한 5단계 척도(Wilson and Knox, 2006)를 응용하여 출수 후 누적 출수율(cumulative heading rate, CHR)이 50% 이상 되는 시기를 2차 출수 피크타임, CHR이 75% 이상 되는 시기를 3차 출수 피크타임으로 정의하고 각각의 소요 주수와 CHR을 명시하였다. 3차 출수 피크타임 이후 출현한 화경은 화서의 캐노피(canopy) 형성에 영향이 적었기 때문에 3차 출수 피크타임까지의 CHR을 소요 주수로 나누어 MHR을 산정하였다.
출수 집중도(mean heading rate, MHR) = Σ[(ni/N) × 100] / ti
Σ[(ni/N) × 100]: cumulative heading rate (CHR) to investigation weeks
ni: number of peduncles per week
N: total number of peduncles
ti: investigation weeks after heading
화서 색채
화서 색채에 대한 조사는 2017년 7월부터 2018년 2월까지 실시하였고 화서 변화 단계를 개화기(stage 1), 종자 성숙기(stage 2), 종자 탈립기(stage 3)의 3단계로 구분하였다. 각 단계마다 색채 변화가 80% 이상 진행된 시점에서 표현되는 색을 대표색으로 설정하고 색차계(CR-300Ⓡ colorimeter, Minolta, Japan)로 L*a*b*(CIE 1976 L*a*b* 색 공간) 값을 측정하였다. 측색 과정에서의 오차를 줄이기 위하여 차광캡을 설치하고 구경보다 지름이 작은 petri dish(Ø55mm) 위에 화서 변화 단계별 대표색으로 판단되는 화서 부위를 일정한 길이로 절단하여 여러 개를 포개어 면(face)을 형성하였고 광 노출을 피해 암실에서 6반복으로 측정하여 평균값을 취하였다. 색 차이 값(ΔE*ab)은 억새 자생종(M. sinensis ‘Common’)의 화서 색채를 기준색(reference color)으로 정하고 Nickerson Index of Fading의 색차식을 사용하여 화서 변화 단계 별로 각 품종 간 ΔE*ab를 구하였다(Chen et al., 2016). 두 색차 간 최소 식별차이(just-noticeable difference, JND) 값은 ΔE*ab≈2.3을 적용하여 기준색과의 차이를 구분하였다.
ΔE*ab = 
the difference of color values compared with reference color
화서의 형태적 특성
화서의 형태적 특성은 화서 색채 실험에서 적용한 화서 변화 3단계 중에서 stage 2에 해당되는 종자 성숙기에 실시하였고 조사 시기는 품종마다 달랐다. 농업과학기술 연구조사분석 기준(RDA, 2012)을 참고로 하여 초고(plant height), 간장(stem length), 분리 지수(dissociation index), 화서 길이(length), 화서 폭(width), 장폭비(length/width ratio), raceme 밀도(raceme density) 및 spikelet 밀도(spikelet density)를 조사하였다. 초고는 자연상태에서의 초형의 높이, 간장은 지면에서 이삭 하단부까지의 길이, 분리 지수는 초고와 간장의 비율, 화서 길이는 자연상태의 직선 길이, 화서 폭은 자연상태에서 가장 넓은 폭, 장폭비는 화서 길이와 폭의 비율, raceme 밀도는 화서 하나에 달린 raceme의 수, spikelet 밀도는 raceme 3cm를 단위 길이로 하여 단위 길이 당 spikelet의 수로 정의하였다.
화서 가시성 평가
화서 가시성 평가는 Smith and Fellowes(2015)의 꽃의 개수와 크기로 가시성을 평가한 방법을 응용하였으며 출수 특성과 화서의 형태적 특성을 종합하여 실시하였다. 전체 조사 항목 중에서 화서 가시성 평가를 위한 출수 특성은 화경 밀도, MWH 및 3차 출수 피크타임의 CHR, 화서의 형태적 특성으로는 분리 지수, 화서 길이 및 raceme 밀도를 선정하였다. 각 항목마다 본 실험에서 조사된 통계적 등급에 따라 1점부터 5점까지 0.5점 단위로 부여하였으며 출수 특성과 화서 형태적 특성의 평균점수를 산출하여(scale1-5; 1 = poor quality, 3 = average quality, 5 = excellent quality) 화서의 가시성을 평가하였다(Wilson and Knox, 2006).
기상, 토양 환경 및 재배 관리
2017년 7월부터 2018년 2월까지 실험 기간 동안의 기상 데이터는 시험포장에서 인접한 원주 기상청(Korea Meteorological Administration; KMD)의 관측자료(KMD, 2018)를 수집하여 월평균 기온(monthly mean temperature), 월평균 최저기온(monthly mean minimum temperature) 및 월 누적 강수량(monthly cumulated precipitation)을 조사하였다(Fig. 1). 사양토(sandy loam)로 조성된 실험포장 토양 이화학성 분석은 공시 재료 정식 시에 실시하였으며 농업과학기술 연구조사분석기준 ‘농업환경’(RDA, 2012) 분석방법에 준하여 토성(soil texture), pH, 전기전도도(electronic conductivity), 유기물 함량(organic matter), 양이온치환용량(cation exchange capacity), 질산태질소(NO3), 유효인산(P2O5), 칼륨(K+) 함량을 분석하였다(Table 2).
Table 2. Soil test results following the “Standard book on research, investigation and analysis of agricultural science and technology” (RDA, 2012) before planting in the research plot ![]() |
재배 관리는 2013년 정식 후 초기 활착을 위한 관수를 제외하고 자연강우에 의존하였고 시비는 실시하지 않았다. 매년 3월 초에 신초(shoot)가 발생하기 전 광량 확보를 돕고 신초 생장을 촉진 시키기 위하여 지면에서 20cm 높이로 묵은 지상부를 제거하였다(Quinn and Macleod, 2003; Lee and Kim, 2005).
통계분석
시험구 배치는 완전임의배치법(completely randomized design)으로 적용하였고 통계분석은 Statistical Analysis System (SAS) 9.4 프로그램(SAS institute, 2016)의 ANOVA를 이용하여 품종간 출수와 화서의 형태적 특성을 비교 분석하였으며 평균간 유의성 검정은 던컨의 다중검정법(Duncan’s multiple range test) 5% 오차 수준에서 실시하였다.
결과 및 고찰
총 출수 기간, 화경 밀도 및 평균 출수 속도
본 연구에서 전체 실험 기간 중 출수하지 않았던 ‘Gold Breeze’를 제외하고 총 출수 기간, 화경 밀도 및 MWH는 통계적으로 품종 간 유의한 차이를 보였다(Table 3). 출수 된 공시 재료 6품종의 총 출수 기간 조사 결과 5 - 9주 범위였으며 ‘Kleine Fontäne’ > ‘Strictus’ ≈ ‘Common’ > ‘Variegatus’ ≈ ‘Gracillimus’ > ‘Morning Light’ 순서로 길었다(Table 3). ‘Kleine Fontäne’는 2017년 7월 25일 공시 재료 중 가장 빨리 출수하여 9월 19일까지 9주간 장기간 지속되었고 ‘Morning Light’는 가장 늦은 10월 3일 출수하여 10월 31일까지 5주간의 짧은 출수 기간을 보였다. ‘Common’과 ‘Strictus’는 9월 3일, 9월 10일 출수하여 모두 7주간, ‘Variegatus’와 ‘Gracillimus’는 9월 24일 출수하여 6주간의 출수 기간을 보였다. Jensen et al.(2011)의 연구와 같이 본 실험에서도 첫 서리가 내리고 최저기온이 영하로 내려가는 10월 말을 기점으로 공시 재료 모두 더 이상의 출수가 진행되지 않았다. 억새는 자생지와 환경 조건이 달라지면 영양 생장기의 생육 특성이 다르게 나타나는데(Song et al., 2018) 공시 재료 중 ‘Gold Breeze’는 미국 Oregon 지역의 M. sinensis ‘Strictus’ 군락에서 우연 실생으로 육종된 품종(U.S. Patent, 2011)으로 현지에서는 9월 말이나 10월 초에 화경이 출현하는 것으로 알려져 있다. 그러나 본 실험에서는 2013년 정식 후 2017년 조사기간까지 한 차례도 출수되지 않은 것으로 보아 지역적 환경 조건에 따라 출수 특성 차이가 큰 것으로 생각되었다.
화경 밀도는 70 - 200개 범위였으며 ‘Kleine Fontäne’는 식물 1본 당 총 화경 수가 평균 199.3개로 가장 많았고 ‘Common’, ‘Strictus’, ‘Variegatus’는 각각 75개, 73.5개, 70개로 가장 적었다(Table 3). 품종 간 비교 결과 ‘Kleine Fontäne’ > ‘Gracillimus’ > ‘Morning Light’ > ‘Common’ ≈ ‘Strictus’ ≈ ‘Variegatus’ 순서로 화경 밀도가 높았으며 ‘Common’과 비교하여 ‘Kleine Fontäne’, ‘Gracillimus’, ‘Morning Light’는 통계적으로 유의하게 높았다. MWH는 10 - 25개 범위였으며 ‘Kleine Fontäne’는 22.1개로 MWH가 가장 빨랐고 ‘Strictus’와 ‘Common’은 각각 10.9개, 10.7개로 가장 느렸다(Table 3). 품종 간 비교한 결과 ‘Kleine Fontäne’ > ‘Gracillimus’ > ‘Morning Light’ > ‘Variegatus’ > ‘Strictus’ ≈ ‘Common’ 순서로 나타났으며 ‘Common’과 비교하여 ‘Kleine Fontäne’, ‘Gracillimus’, ‘Morning Light’, ‘Variegatus’는 통계적으로 유의하게 빨랐다.
억새의 영양생장과 생식생장에 관한 연구에 의하면 영양생장 기간이 상대적으로 길고 바이오매스 축적량이 많은 대형종(M. sacchariflorus)은 영양생장 기간이 상대적으로 짧고 조기 출수하는 소형종(M. sinensis)에 비하여 출수가 늦은 것으로 보고되어 있다(Clifton-Brown et al., 2001; An et al., 2013; Song et al., 2018). 그러나 본 실험에서 억새 원예품종의 경우 상대적으로 소형 품종인 ‘Gracillimus’, ‘Morning Light’에서 대형 품종인 ‘Common’, ‘Strictus’, ‘Variegatus’보다 출수 시점이 늦고 출수 기간이 짧은 상반된 경향이 나타났다. 화경 밀도는 소형 품종이 대형 품종보다 높았고 MWH도 소형 품종이 빠른 경향을 보였다.
주간 출수율, 출수 피크타임, 출수 집중도 및 출수 패턴
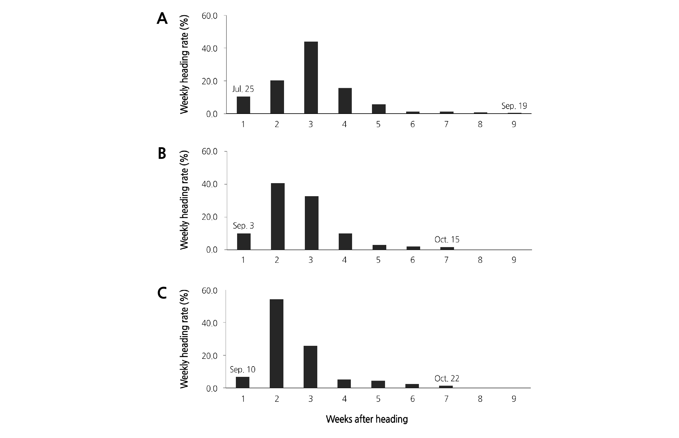
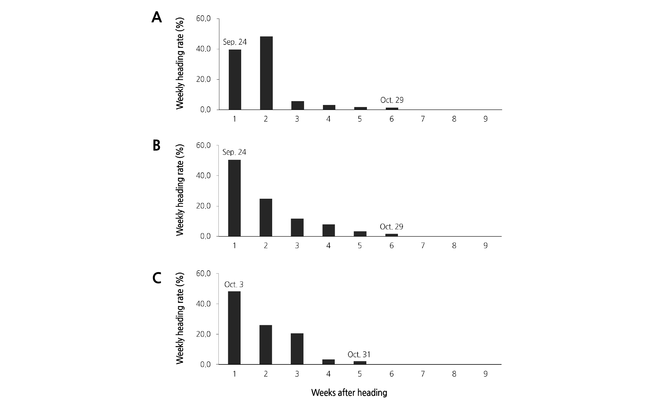
‘Gold Breeze’를 제외한 6품종의 WHR을 분석한 결과 ‘Kleine Fontäne’는 7월 말 출수하여 9주간 지속되었고 1주차 WHR 10.5%를 시작으로 3주차까지 증가하였으며 4주차부터 감소하기 시작하여 5주차부터는 10% 이하로 급격히 감소하였다(Fig. 2). ‘Common’과 ‘Strictus’는 9월 초 출수하여 7주간 지속되었고 ‘Kleine Fontäne’와 유사한 경향을 보였다. 두 품종 모두 1주차 WHR은 10% 이하였고 2주차까지 증가하였으며 3주차부터는 감소하기 시작하여 4주차부터 10% 이하로 급격히 감소하였다. 이와 달리 ‘Variegatus’는 9월 말 출수하여 6주간 지속되었으며 1주차에 WHR이 39.8%로 높았으며 2주차까지 상승하였고 3주차부터는 10% 이하로 급격히 감소하였다(Fig. 3). 동일하게 9월 말 출수한 ‘Gracillimus’도 6주간 출수가 지속되었는데 1주차 WHR이 50.6%로 공시 재료 중에서 높은 출수율을 보였고 2주차부터는 감소하였으며 4주차부터 10% 이하로 급격히 감소하였다. ‘Morning Light’는 10월 초 출수하여 5주간 지속되었고 1주차 WHR이 48.3%로 높은 출수율을 보였고 ‘Gracillimus’와 유사한 경향을 보였다.
출수 피크타임, MHR에 대한 품종 간 비교 결과 WHR이 가장 높은 1차 출수 피크타임 도달 시기는 출수 후 1 - 3주 사이였고 ‘Gracillimus’ ≈ ‘Morning Light’ > ‘Strictus’ ≈ ‘Variegatus’ ≈ ‘Common’ > ‘Kleine Fontäne’ 순서로 빨랐다(Table 4). 1차 출수 피크타임의 WHR은 40.7 - 54.4%까지 나타났으며 ‘Strictus’ > ‘Gracillimus’ > ‘Variegatus’ ≈ ‘Morning Light’ > ‘Kleine Fontäne’ > ‘Common’ 순서로 높았다. CHR이 50% 이상 되는 2차 출수 피크타임 도달 시기는 출수 후 1 - 3주 사이였는데 ‘Morning Light’는 1차에서 2차 출수 피크타임까지 1주일이 소요된 반면, 다른 5품종들은 모두 1차 피크타임과 2차 피크타임이 동시에 나타났다(Table 4). 2차 출수 피크타임의 CHR은 50.6 - 88.3%까지 나타났고 ‘Variegatus’ > ‘Kleine Fontäne’ ≈ ‘Morning Light’ > ‘Strictus’ ≈ ‘Common’ > ‘Gracillimus’ 순서로 높았으며 품종 간 CHR 차이가 가장 크게 나타났다. CHR이 75% 이상 되는 3차 출수 피크타임 도달 시기는 출수 후 2 - 4주 사이였으며 ‘Variegatus’ ≈ ‘Gracillimus’ > ‘Strictus’ ≈ ‘Morning Light’ ≈ ‘Common’ > ‘Kleine Fontäne’ 순서로 빨랐고 출수 된 공시 재료 모두 총 출수 기간의 반이 지나기 전 3차 출수 피크타임에 도달하였다(Table 4). 3차 피크 타임의 CHR은 75.4 - 94.6%까지 나타났고 ‘Morning Light’ > ‘Kleine Fontäne’ > ‘Variegatus’ > ‘Strictus’ > ‘Common’ > ‘Gracillimus’ 순서로 높았다. 3차 출수 피크타임의 CHR을 소요 주수로 나눈 MHR은 22.7 - 44.0%까지 나타났으며 ‘Variegatus’ > ‘Gracillimus’ > ‘Morning Light’ > ‘Strictus’ > ‘Kleine Fontäne’ > ‘Common’ 순서로 높았다(Table 4).
이상의 결과를 종합하여 출수 패턴을 분석해 보면 ‘Kleine Fontäne’, ‘Common’, ‘Strictus’는 7월 말에서 9월 초 사이 출수하여 조기 출수의 패턴이 나타났고 ‘Variegatus’, ‘Gracillimus’, ‘Morning Light’는 9월 말에서 10월 초 사이 출수하여 만기 출수의 패턴을 보였다(Figs. 2 and 3). 출수 시점이 빠른 조기 출수 패턴의 품종(‘Kleine Fontäne’, ‘Common’, ‘Strictus’)은 출수 초기에 WHR이 높은 경향이었으나 만기 출수 패턴의 품종에 비해 1차, 2차, 3차 출수 피크타임 도달 시기가 상대적으로 늦고 MHR이 낮았다(Table 4). 출수 시점이 늦은 만기 출수 패턴의 품종(‘Variegatus’, ‘Gracillimus’, ‘Morning Light’)은 출수와 동시에 WHR이 높게 나타났고 1차, 2차, 3차 출수 피크타임 도달 시기가 빨랐으며 MHR도 높았다(Table 4). 한편, 공시 재료 모두 3차 출수 피크타임을 지나면서 WHR이 10% 전후로 급격히 감소하였는데 이는 품종 간 출수 시점에 따라 화서의 캐노피 형성 시기가 다를 수 있지만 3차 출수 피크타임까지는 전체적인 캐노피 형성이 완료되는 것으로 판단되었다.
화서 색채
색차계의 L*a*b* 값의 L은 명도, a와 b는 색 좌표 값으로 +a는 적색(red), -a는 녹색(green), +b는 황색(yellow), 그리고 -b는 청색(blue) 방향을 나타낸다(Kim and Kim, 2008). 엽색과 화색은 계절, 관리 조건, 생육단계에 따라 변하게 되며 실내의 경우는 광원에 따라서도 다르게 표현되기 때문에 고정된 대표색을 추출하기에는 어려움이 있다고 보고되어 있다(Kim and Seo, 2013; Seo, 2014; Moon and Choi, 2014; Kim and Choi, 2015; Lee and Moon, 2015). 본 연구에 적용된 억새 원예품종 화서의 경우 작은 기관이 밀집된 구조이고 일시에 단일한 색이 표현되지 않아 측색 시점을 화서 변화 단계(stage 1 - 3)마다 측정하였으며 화서 변화 단계가 진행될수록 황색 계열(yellowish) 색상이 발현되었다(Table 5).
개화기인 stage 1에서 나타난 색채의 주요 부위는 spikelet이였고 ‘Common’, ‘Strictus’, ‘Morning Light’, ‘Variegatus’, ‘Gracillimus’는 적색 계열(reddish), ‘Kleine Fontäne’는 황록색 계열(yellowish green)의 색상이 발현되었다. 적색 계열의 ‘Morning Light’, ‘Variegatus’, ‘Gracillimus’는 ‘Common’보다 적색이 짙었고 ‘Strictus’는 유사하였으며 명도 차이는 크지 않았다(Table 5). 종자 성숙기인 stage 2에서 나타난 색채의 주요 부위는 spikelet 기부에서 나타난 털(hair)이었고 기준색의 ‘Common’과 비교하여 ‘Morning Light’, ‘Variegatus’, ‘Gracillimus’는 색 차이 값(ΔE*ab)이 크게 나타났다(Table 5). 적색 계열의 ‘Common’, ‘Strictus’, ‘Morning Light’, ‘Variegatus’, ‘Gracillimus’ 모두 stage 1에서 나타났던 적색이 옅어졌고 황색이 짙어졌으며 명도에 의한 ΔE*ab가 크게 나타났다. 종자 탈립기인 stage 3로 전환된 후 색채의 주요 부위는 꽃대(rhachis)였는데 출수 된 공시 재료 모두 황색이 더욱 짙어졌으며 품종 간 ΔE*ab가 가장 작았다(Table 5). Stage 1, stage 2에서는 기준색과의 색차를 가시적으로 확인이 가능했지만 stage 3부터는 기준색과의 색차가 크지 않았으며 측색 결과 동일한 경향을 확인하였다. 따라서 화서의 색채를 가시성의 평가 요소로 적용하기 위해서는 stage 1과 stage 2에서 발현되는 색채를 구분하여 적용해야 할 것으로 판단되었다.
화서의 형태적 특성
본 연구의 공시 재료는 포장에서 정식 5년 차였고 화서의 형태적 특성의 조사 시점은 화서 변화 단계 중 종자 성숙기(stage 2)였다. 화서의 형태적 특성을 평가하기 위하여 초고와 간장, 그리고 초고와 간장의 거리 비율인 분리 지수를 측정하였다. 출수된 공시 재료 6품종의 초고 분포는 105 - 152.5cm였으며 ‘Strictus’ ≈ ‘Common’ > ‘Variegatus’ ≈ ‘Gracillimus’ > ‘Kleine Fontäne’ ≈ ‘Morning Light’ 순서로 높았고 품종간 최대 47.5cm의 차이가 나타났다(Table 6). 간장은 120 - 225cm까지 분포하였으며 ‘Strictus’ > ‘Common’ > ‘Variegatus’ ≈ ‘Gracillimus’ > ‘Kleine Fontäne’ ≈ ‘Morning Light’ 순서로 나타났고 각 품종의 초고와 유사하였다. 분리 지수는 1.12 - 1.48까지 분포하였으며 ‘Strictus’ > ‘Common’ ≈ ‘Morning Light’ ≈ ‘Gracillimus’ > ‘Variegatus’ > ‘Kleine Fontäne’ 순서로 컸다(Table 6). ‘Strictus’는 초형의 직립성이 강한 품종으로 초고가 높았지만 간장도 길어 분리 지수가 1.48로 가장 컸으며 화서로 식물체의 캐노피가 형성되었다. ‘Kleine Fontäne’는 1.12로 분리 지수가 가장 작아 초고와 간장의 차이가 크지 않는 초형과 화서가 혼재된 캐노피를 형성하였다. 화서 길이는 20.8 - 34.3cm까지 나타났고 ‘Common’ > ‘Kleine Fontäne’ ≈ ‘Gracillimus’ ≈ ‘Strictus’ ≈ ‘Variegatus’ > ‘Morning Light’ 순서였으며 ‘Common’이 34.3cm로 가장 길었다(Table 6). 화서 폭은 6.0 - 31.3cm까지 나타났으며 ‘Gracillimus’ ≈ ‘Common’ ≈ ‘Variegatus’ > ‘Morning Light’ ≈ ‘Strictus’ > ‘Kleine Fontäne’ 순서로 넓었다(Table 6). ‘Gracillimus’의 화서 폭은 31.3cm로 가장 넓었지만 화서 폭이 가장 좁은 ‘Kleine Fontäne’를 제외하면 품종 간 화서 폭은 유사하였다. 화서 장폭비는 0.84 - 4.62까지 나타났는데 ‘Kleine Fontäne’를 제외하면 품종 간 큰 차이는 없었으며 ‘Kleine Fontäne’ > ‘Strictus’ ≈ ‘Common’ ≈ ‘Variegatus’ ≈ ‘Morning Light’ ≈ ‘Gracillimus’의 순서로 컸다(Table 6). ‘Kleine Fontäne’는 화서 폭이 6.0cm로 가장 좁았으며 장폭비는 4.62로 길이가 폭의 4배 이상으로 화서의 직립성이 강하게 나타났다. Raceme 밀도는 화서 한 개당 22.3 - 33.8개를 보였고 ‘Common’ > ‘Strictus’ > ‘Gracillimus’ ≈ ‘Variegatus’ > ‘Morning Light’ > Kleine Fontäne’ 순서였으며 화서 길이가 가장 길었던 ‘Common’은 33.8개로 raceme 밀도가 가장 높았다(Table 6). Spikelet 밀도는 raceme 3cm 단위 길이 당 10.8 - 24.8개까지 분포하였으며 ‘Morning Light’ > ‘Variegatus’ > ‘Gracillimus’ > ‘Common’ > ‘Strictus’ > ‘Kleine Fontäne’ 순서였고 ‘Morning Light’는 24.8개로 raceme 밀도는 낮았지만 spikelet 밀도가 가장 높았다(Table 6).
화서 가시성 평가
화경 밀도, MWH, 3차 출수 피크타임 CHR의 출수 특성(Tables 3 and 4)과 분리 지수, 화서 길이, raceme 밀도의 화서 형태적 특성(Table 6) 대하여 통계적 등급에 따라 평균점수를 산출하고 화서의 가시성을 평가한 결과 평균 3.1 - 3.8로 출수 된 공시 재료 6품종 모두 scale 3(scale 1 - 5; 1 = poor quality, 3 = average quality, 5 = excellent quality) 이상을 보였다(Table 7). 화서 가시성 결정 특성을 각 품종별로 분석해 보면 ‘Common’, ‘Strictus’, ‘Variegatus’, ‘Gracillimus’는 화서의 형태적 특성에 의해, ‘Kleine Fontäne’, ‘Morning Light’는 출수 특성에 의해 가시성이 결정되는 경향을 보였다(Table 7). ‘Common’의 화서 가시성은 평균 3.2였는데 화경의 밀도가 낮고 MWH, 3차 피크타임의 CHR도 낮아 화서의 캐노피 형성이 늦었다. 그러나 분리 지수가 크고 화서 길이가 길며 raceme 밀도가 높아 출수 특성(2.7)보다 화서의 형태적 특성(4.7)이 가시성을 높이는 주요인으로 판단되었다. ‘Stirctus’의 화서 가시성은 평균 3.2였으며 가시성 결정 특성이 ‘Common’과 유사하였다. ‘Variegatus’의 화서 가시성은 평균 3.1이었고 화서의 길이가 길고 raceme의 밀도도 높았다. ‘Gracillimus’의 화서 가시성은 평균 3.4였는데 화경의 밀도는 높았으나 3차 출수 피크타임 CHR이 낮아 캐노피 형성이 늦었던 반면 분리 지수가 크고 화서의 길이도 길었다. 이와 대조적으로 ‘Kleine Fontäne’의 화서 가시성은 평균 3.8이었는데 분리 지수가 작아 초형과 화서의 캐노피가 혼재되어 나타났고 화서의 길이에 비하여 raceme의 밀도가 낮았다. 그러나 화경의 밀도가 높고 MWH, 3차 출수 피크타임 누적 출수율도 높아 형태적 특성(3.0)보다 출수 특성(4.7)이 가시성을 높이는 주요인으로 판단되었다(Table 7). ‘Morning Light’는 공시 재료 중에서 가장 높은 3차 출수 피크타임 CHR이 나타났지만 화서의 길이가 짧고 raceme의 밀도가 낮았다. 따라서, 본 연구의 억새 원예품종들은 품종마다 출수 특성과 화서의 형태적 특성에서 차이가 나타남에 따라 다양한 요인에 의해 화서의 가시성이 결정되는 것으로 분석되었다.












