서 언
여주(쓴오이)(Momordica charantia)는 1년생 박과채소로 아시아, 아프리카지역에서 재배되고 있으며 치통, 설사, 종기, 당뇨를 치료하기 위하여 오랫동안 민간요법에 이용되어 왔다(Grover and Yadav, 2004; Chen et al., 2008). 영양적 가치로는 vitamin C, 철(Fe) 등의 함량이 높고, 70여종의 cucurbitacin과 cucurbitane glycoside가 뿌리, 줄기, 과실, 종자, 잎에서 분리되었으며(Chang et al., 2008), charantin,vicine, polypeptide-p 등 혈당강하 작용을 하는 기능성 성분이 풍부한 것으로 알려져 있다(Rey et al., 1994; Behera, 2004; Yeh et al., 2004; Shetty et al., 2005). 식물체의 조직별 기능성 및 이용을 살펴보면 과실은 항암 및 콜레스테롤을 낮추는 효과가 있으며(Ganguly et al., 2000; Ahmed et al., 2001), 꽃, 어린 줄기와 함께 향료로도 이용되고 있다. 잎과 어린 줄기는 아시아지역에서는 엽채류로 식용되고 있으며 항바이러스, 항균, 살충효과가 보고되었다(Chen et al., 1999; Li et al., 2001; Zhang et al., 2003; Cheng et al., 2004; Kubola and Siriamornpun, 2008). 한편 여주의 잎과 미숙과실은 줄기와 완숙과 보다 항산화 활성이 높으며, 주요한 페놀화합물로는 gallic acid, caffeic acid, catechin이다(Kubola and Siriamornpun, 2008). 또한 여주 잎의 영양분과 생리활성물질의 함량은 동결건조방법이 오븐 건조보다 높은 것으로 나타났다(Zhang et al., 2009). 여주 과실의 지질함량은 과실의 성숙도에 따라 차이를 보이지 않았으나 단백질함량은 성숙이 진행될수록 감소하였고, 완숙종자의 단백질과 지질의 함량이 미숙종자보다 높았다(Horax et al., 2010). 한편 여주의 주요 혈당강하성분인 charantin 함량은 품종 및 유전자원에 따라 차이를 보이는 것으로 나타났고(Kim et al., 2013; Kim et al., 2014), 항산화활성도 야생종 여주품종에 따라 변이를 보였다(Lu et al., 2012; Behera et al., 2013).
여주는 캐나다, 인도, 미국, 영국 등에서 2형 당뇨병의 치료를 위하여 주로 사용되고 있으며(Basch et al., 2003) 캡슐 또는 태블릿의 형태로 가공된 상품이 판매되고 있다(Krawinkel and Keding, 2006). 그러나 여주를 당뇨병 치료제와 함께 복용하는 경우의 안전성, 다른 잠재적 생화합성에 대한 정보가 부족한 실정이다(Diabetes UK Statement on Karela Capsules, 2006). 중국, 태국 등의 아시아지역에서는 과실 뿐 아니라 잎, 줄기 등을 식용 또는 가공용으로 이용하고 있다(Kubola and Siriamornpun, 2008). 국내에서는 미숙과만을 식용대상으로 생과 및 가공품이 판매되고 있으며, 과실의 열수 및 에탄올 추출물에 대해 미백 또는 주름개선 효과검토 등 기능성 화장품 소재로서의 가능성을 모색하고 있다(Kim et al., 2015). 식품의약품안전처에서는 여주의 열매, 잎, 생장점은 식품원료 사용 가능부위로 분류하고 있고, 씨, 덩이줄기, 뿌리는 식용 불가능한 부위로 구분함에 따라 일부 잎의 가공품도 유통이 어려운 실정이다. 최근 국내에서도 건강기능성식품에 대한 관심과 소비가 급격히 증가함에 따라 여주 재배면적 및 지역이 경상남도와 전라남도를 중심으로 급속히 확대되고 있다(Kim et al., 2013; Lee et al., 2015). 초기에는 노지재배를 주로 하였으나 최근에는 안정생산 및 재배기간 연장을 위하여 비가림시설을 이용한 재배가 확대되고 있어 생육 후기까지 건전한 잎을 확보할 수 있다. 따라서 본 연구는 여주재배 후기인 과실 수확 종료기 무렵에 잎, 줄기 등의 조직별 및 생육시기에 따른 charantin 함량을 분석하여 새로운 이용 가능성을 모색하고자 실시하였다.
재료 및 방법
실험재료
공시품종은 ‘NS454’(Asia seed co., Seoul, Korea)와 ‘드레곤’(Gana seed co., Gwangju, Korea)’ 2품종을 사용하였다. 발아촉진을 위하여 손톱깍기로 종피에 상처를 낸 다음 패트리디쉬에 기름종이를 깔고 물을 잠기지 않을 정도로 채운 다음 종자를 넣어 27°C에서 하루 보관 후 2015년 4월 9일에 32공 plug tray에 파종하였다. 발아 후 덮어두었던 신문지를 제거하고 30일간 전주 국립원예특작과학원(E 35°50, 127°02, and elevation 32m)의 유리온실에서 육묘하였다. 본엽 4.5-5.0매 전개되었을때 5마디에서 적심하고 파종 후 5월 6일 PE플라스틱 하우스에 이랑 폭 1.2m에 주간거리 1m 간격으로 하여 이랑 중앙에 정식하였다. 이후 측지 2본을 양쪽으로 그물망에 유인하여 재배하였으며 암꽃 개화시 인공수정하여 착과를 유도하였다. 시비량은 오이 농업기술길잡이(Kim et al., 2001)의 시설재배 기준(Kim et al., 2001)에 따라 N: P :K를 10a당 19.7: 10.3: 12.2kg 으로 하여 질소와 칼리는 총시비량의 60%를 시용하고 인산은 전량 기비로 하였다. 관수는 토양상태를 관찰하면서 2-5일 간격으로 주당 2-3L를 점적관수 하였고, 시설 내 환경관리는 주간온도는3 0-35°C, 야간온도는 20-25°C로 유지하였다.
성분분석
식물체 부위별 charantin 함량을 분석하기 위하여 7월 27일부터 8월 10일까지 최종 수확한 미숙과, 수꽃, 암꽃(자방 포함), 잎(생장점 아래쪽으로 10마디까지의 건전한 잎), 줄기(생장점 포함한 10마디까지)를 채취하였다. 수확시기별 charantin 함량 분석은 6월 10일부터 9월 8일까지 2-3일 간격으로 착과 후 14일된 미숙과를 수확하여 분석에 이용하였다. 5mm 두께로 절단한 미숙과와 수꽃, 암꽃, 잎, 줄기를 각각 초저온 냉동고에 보관 후 동결 건조기(PVTFD 10R, IShin Lab, Korea)를 사용하여 건조하였다. 건조된 분말 샘플 0.5g을 100% MeOH 12.5mL와 50mL 플라스틱 튜브에 넣어 시료와 용매를 초음파 발생기(Branson Ultrasonic Co., USA)를 이용하여 15분간 초음파 처리 후 진탕 교반을 15분간 각각 3회 반복하고, 13,000rpm으로 5분간 원심분리 하였다. 원심분리 후 시료의 상징액을 0.2 μm실린지 필터에 여과시킨 후 샘플을 UPLC 시스템을 사용하여 분석하였다. UPLC 시스템은 Waters system(Acquity UPLC H-Class system, Waters, Milford, MA, USA)에 UV-VIS PDA 검출기를 사용하였으며 검출 파장은 204nm였다. 컬럼은 Waters μ-Bondapak C18(BEH C18 1.7μm)을 사용하였고, 유속은 0.3mL· min-1였으며, 이동상 용매는 증류수(A)와 MeOH(B)을 사용하였다. Gradient 방법으로 초기 10분간의 용매 비율은(A/B, v/v)15/85, 이후 5분간은 5/95로 이동상 용매를 흘려 주었고, 시료는 20μL를 주입하였다. Charantin 분석에 사용된 표준물질은 ChromaDex(Santa Ana, CA, USA)에서 구입하였다.
통계처리
실험구 배치는 난괴법 3반복으로 하였으며, 통계분석은 SAS 프로그램(SAS 9.2, SAS Institute Inc., USA)을 이용하여 95% 신뢰수준에서 Duncan’s Multiple Range Test(DMRT) 검정을 실시하였다.
결과 및 고찰
수확종료 시기의 식물체 부위별 charantin 함량
과실 수확 종료 시점에 식물체 부위별 charantin 함량을 분석한 결과(Table 1), ‘NS454’는 잎의 charantin 함량이 138.0mg·g -1 D.W.으로 가장 높았고 과실은 16.0mg·g -1 D.W.으로 가장 낮았다. ‘드레곤’도 잎의 charantin 함량이 131.5mg·g -1 D.W.로 가장 높았고 암꽃 57.8mg·g-1 D.W., 수꽃과 줄기는 각각 40.1 mg·g-1 D.W. 과 38.5mg·g-1 D.W.이었고, 과실내 함량은 16.0mg·g-1D.W.으로 유의성 있게 낮았다. ‘드레곤’ 역시 잎의 charantin 함량이 131.5mg·g-1 D.W.으로 가장 높았고 과실내 함량은 14.7mg·g-1 D.W.로 가장 낮았다. 즉, 과실 수확 종료기가 되면 여주 잎의 charantin 함량이 과실보다 약 8배 이상 높은 것으로 나타났고 암꽃, 수꽃과 줄기에도 charantin 함량이 높은 것으로 나타났다.
‘NS454’와 ‘드레곤’ 품종의 과실 수확 종료 무렵에 식물체 부위별 charantin 함량의 분포를 보면 과실의 charantin 함량은 5%로 가장 낮았고 줄기 12-13%, 수꽃 14%, 암꽃 20-21%, 잎 48% 였다. 수확 후 식물체를 폐기하게 되면 과실내 5%의 charantin 함량만 이용하고 과실 이외의 잎 등의 charantin 함량 95%를 버리게 된다. 채소의 비식용부위에 대한 이용가능성을 모색하기 위한 연구결과로 딸기와 당근의 잎은 phenolic compounds의 함량이 식용부위보다 높다고 하였다(Kahkonenet al., 1999; Kim et al., 2013). 또한 토마토의 잎은 완숙과 보다 β-carotene, lutein, caffeic acids, anillic acids 등의 이차대사산물의 함량이 높아 항산화제, 소염약, 항균제, 살충제로의 이용가능성을 제시하였다(Kim et al., 2014). 여주 잎은 lutein 함량이 케일, 엔디브, 시금치보다 높고, β-carotene 함량은 엔디브, 시금치보다 높아 영양과 기능성성분이 풍부하다고 하였다(Zhang et al., 2009). 여주 재래종과 ‘드레곤’ 품종의 과실, 잎, 줄기의c harantin 함량을 분석한 결과 두 품종 모두 잎과 줄기의ch arantin 함량이 과실보다 높았다(Lee et al., 2015)는 연구결과와 유사하여 여주의 과실내 charantin 함량뿐만 아니라 잎과 줄기내 charantin 함량의 이용 가능성을 시사하였다. 또한 본 실험의 경우 수확 종료기 무렵에 어린 암꽃과 수꽃의 charantin 함량도 과실보다 높은 것으로 나타나 이들의 이용 가능성도 확인할 수 있었다.
수확 시기별 charantin 함량
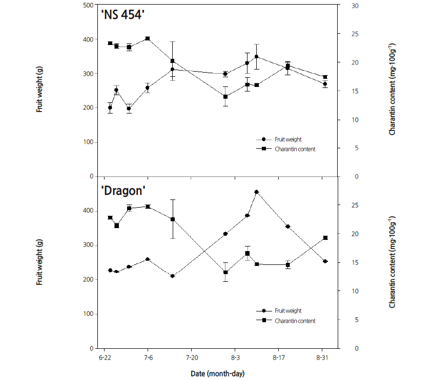
‘NS454’와 ‘드레곤’ 두 품종을 6월 24일부터 9월 8일까지 수정 후 14일된 미숙과실을 수확한 후 과실의 charantin 함량을 분석하였다(Table 2). ‘NS454’의 charantin 함량은 7월 6일에 수확한 과실의 charantin 함량이 24.1mg? g -1 D.W. 로 가장 높았고, 7월 30일에 수확한 과실의 함량이 14.0mg·g -1 D.W.로 가장 낮았는데, 전반적으로 8월에 수확한 과실의 charantin 함량이 다른 시기에 수확한 과실보다 낮았다. ‘드레곤’의 charantin 함량도 ‘NS454’와 비슷한 경향을 보였는데 6월 30일과 7월 6일에 수확한 과실의 charantin 함량이 각각 24.4와 24.7mg·g -1 D.W. 로 높았고, 7월 30일과 8월에 수확한 과실의 charatin 함량이 낮은 경향을 보였다. 두 품종 모두 6월부터 7월 중순까지 수확한 과실의 charantin 함량이 높았고, 7월 하순부터 8월 하순까지 수확한 과실의 charantin 함량이 낮아 여주 과실의 charantin 함량은 수확시기에 따라 차이가 있음을 확인할 수 있었고 charantin의 축적이 최대로 이루어지는 시기가 7월 초순까지로 판단되었다.
여주는 아열대성 작물로써 온도가 높은 시기에는 과실의 성장이 빨라 착과 후 동일한 날짜에 수확을 하더라도 과중이 큰 것으로 나타났다(Fig. 1). ‘NS454’ 품종은 6월에는 평균 과중이 200-250g 정도였으나 7월 중순부터 8월 하순까지는 300-350g으로 100g이나 무거웠다. ‘드레곤’의 과중도 6월에는 220-240g이었으나 ‘NS 454’ 보다 고온기에 과중이 급격히 증가하여 7월 중순부터 8월 중하순까지 330-450g이었다. 여주 과실의 charantin 함량은 생산지 및 품종에 따라 차이가 있을 수 있다고 하였고(Kim et al., 2013; Kim et al., 2014), 우리나라 재래종을 대상으로 과중과 charantin 함량을 비교한 결과 과실의 크기가 커짐에 따라 감소한다고 하였다(Lee et al., 2015). 이러한 결과를 보더라도 여주의 charantin 함량은 수확시기, 품종 등 다양한 요인에 따라서 charantin 함량에 차이가 있을 수 있음을 시사하였다. Kole et al.(2013)은 여주에 탄소 기반 나노입자를 처리하였을 때 cucurbitacin-B 성분을 74%, lycopene 82%, charantin 함량을 20% 증진시켰다는 연구결과를 발표하였다. 토마토의 경우 품종, 재배환경요인, 식물생장조절제, 숙기 등이 주요 항산화성분인 lycopene의 함량에 미치는 영향에 대하여 활발한 연구가 수행되었다(Kuti and Konuru, 2005; Brandt et al., 2006). 따라서 여주의 주요 기능성성분인 charantin 함량에 미치는 주요한 요인에 대한 추가 연구가 필요할 것으로 사료된다.
최근 20년 동안 여주의 혈당강하 활성 관련 내분비계와 생화학적 기작에 관한 연구가 수행되었으나 여주의 혈당강하 활성에 대한 연구들은 생리활성화합물에 대한 정성 또는 정량 없이 액체 또는 건조된 식물체 추출물을 사용해 왔다(Krawinkel and Keding, 2006). 더욱이 재배 및 수확시기가 혈당강하성분의 함량에 미치는 영향에 대한 연구가 미흡한 실정이다. 본 연구는 여주의 charantin 함량은 재배시기에 따라 차이가 있으며 charantin 함량과 과중의 상관관계를 구명함으로써 기능성함량 증진을 위한 재배법 개발에 토대를 제공하였다. 또한 기존에는 과실을 주로 이용하였으나 본 연구의 결과에서 밝혀진바와 같이 charantin 함량이 풍부한 여주의 잎과 암꽃, 수꽃 등 과실 이외의 부분을 채취하여 환이나 차 등으로 가공함으로써 이용범위를 확대할 수 있을 것으로 사료된다.





