서 언
질소는 식물이 흡수하는 총 무기원소 중 가장 많은 부분을 차지한다. 식물체 내에서 단백질, 아미노산 및 핵산 등의 주요 구성 성분이며, 작물의 생장, 수량 및 품질에 큰 영향을 미치는 매우 중요한 원소이다(Marschner, 2012). 작물의 종류, 생장시기 또는 식물체 조직 별로 차이가 있지만 다른 원소 보다 식물체 내 함량이 매우 높아 건물중 기준으로 약 2-4% 정도로 분석되고 있다(Bennett, 1993).
작물을 재배하면서 질소 시비를 하지 않으면 생장이 매우 저조하며, 일정한 수준까지는 질소 시비량이 많아질수록 흡수량 및 식물체내 함량이 증가하고 생장량도 증가한다(Choi et al., 2012; Jones, 2005). 그러나 적정한 수준을 넘어 과도하게 질소 시비량이 많아질 경우 오히려 작물 생장이 억제될 뿐만 아니라(Sonneveld and Voogt, 2009) 식물 조직이 연약해져 각종 병원균에 쉽게 감염되고 피해가 발생한다(Nam et al., 2006).
국내의 채소류 생산에서 주요 과채류나 배추 등 일부 엽채류는 자가육묘의 비율이 현저하게 낮아지고 공정육묘장에서 육묘한 묘를 구입하여 본포 재배를 위주로 한 영농이 이루어지고 있다. 국내의 주요 과채류 육묘를 위해 30-, 50-, 또는 72-cell 등 다양한 크기의 플러그 트레이가 사용되지만 배추 육묘를 위해서는 보편적으로 72-cell 트레이가 사용되고 있다. 트레이의 셀 숫자에 따라 트레이를 구성하는 개별 셀의 용적이 달라지지만 과거 육묘방법인 포트육묘에 비해 각각의 식물체를 지주하는 상토의 양이 현저하게 적어진다(Styer and Koranski, 1997). 따라서 플러그 트레이의 형태 및 적은 상토 양이 원인이 되어 물리·화학적 완충력이 매우 낮은 조건으로 변화되며, 식물체가 비료 농도에 쉽게 영향을 받아 결핍 또는 과잉증상이 유발될 수 있다 (Choi et al., 2009; Choi and Chung, 2007). 국내의 플러그육묘에서도 비료의 부족 및 과다가 원인이 되어 소위 “상토사고”라고 지칭하는 각종 생리장해가 빈번히 발생하며, 상토 생산회사와 육묘 농가가 소송에 휘말리는 등 사회적인 문제가 되고 있다.
원예용 상토는 대부분 기비(Pre-planting nutrient charge fertilizer)를 포함한 채 시판되고 있지만 회사마다 첨가되는 비료의 종류 및 양이 다르다. 상토 원료별 물리·화학성이 다르고 작물별로 양분 요구도의 차이가 있어 일률적으로 기준을 설정하기 어려운 면이 있지만 우리나라 “비료관리법”에는 단지 가밀도, pH, EC 및 유해성분(중금속)에 대하여 원예용 상토의 품질관리를 위한 기준과 보증범위가 규정되어 있다. 그러나 질소 등 양분에 대해서는 자율보증으로 규정하고 있으며 상토회사 별로 첨가된 비료의 종류가 달라 농가의 육묘과정에서 다양한 생리장해가 발생하고 있지만 법적 근거나 연구결과가 미비하여 상토 관련 사고발생 시 적극적인 처리에 한계가 있는 실정이다.
특히 상토에 기비로 혼합된 질소의 농도는 육묘중인 플러그묘의 생장(Styer and Koranski, 1997) 뿐만 아니라 정식 후의 생장에도 영향을 미치며(Garton and Widders, 1990), 국내의 배추 플러그 묘 생산에서도 질소의 농도가 과도하게 높아 많은 문제점을 발생시키고 있다. 따라서 혼합상토에 기비로 혼합된 질소의 시비수준을 인위적으로 조절하여 배추 플러그묘 생장에 미치는 영향을 파악하고, 적절한 질소 농도에 대한 기준을 제시하기 위하여 본 연구를 수행하였다.
재료 및 방법
피트모쓰, 코이어 더스트 그리고 펄라이트를 3.5:3.5:3.0(v/v/v)으로 혼합한 상토를 조제하였으며, 조제 후 Choi et al. (2012)의 방법을 따라 측정한 결과 공극률 82.4%, 용기용수량 62.7%, 기상률 19.7%, 그리고 가비중 0.1g·cm-3의 물리성을 갖는 상토였다. 또한 Wallach et al. (1992)의 방법에 준해 측정한 결과 상토의 쉽게 이용할 수 있는 수분(easily available water, EAW)은 약 46%, 완충수(buffering water, BW)는 약 36%였다.
상토 혼합과정에서 기비를 혼합하였으며, 질소 수준은 0, 100, 250, 500, 750, 1,000, 및 1,500mg·L-1으로 조절하였다. 질소를 제외한 필수원소의 농도는 동일하게 조절하였고, 사용된 화학비료의 종류는 고토석회, 용과린, CaCl2·2H2O, MgSO4·7H2O, KCl, KNO3, NH4NO3 미량원소복합제(킬레이트 철, 아연, 망간, 구리, 붕소 및 몰리브덴 복합제제, Nutrichem Kombi-F, Belgium) 이었다(Table 1).
Table 1. Types and amounts of pre-planting nutrient charge fertilizers incorporated during formulation of the peatmoss:coir dust:perlite (3.5:3.5:3.0, v/v/v) medium.
| |
기비가 포함된 상태의 상토를7 2구 플러그 트레이에 충전하고 ‘불암3 호’ 배추 (주, 흥농씨앗) 종자를 파종하였다.
파종 후 뿌리 생육이 시작된 10일 후부터 7-10일 간격으로 13-2-13(Sunshine Technigro, USA)과 20-9-20(Sunshine Technigro, USA.)의 두 종류 비료를 교대로 추비하였다. 추비시 13-2-13와 20-9-20비료의 농도는 N 기준 100mg·L-1 수준으로 조절하여 두상관비 하였고, 추비 중간에 관수가 필요한 시점에는 지하수를 두상관수하였다.
파종 2 및 4주 후에 생육조사를 하였으며, 72구 플러그 에서 무작위로 수집한 15반복 작물의 초폭, 엽수, 엽장, 엽폭, 지상부 생체중 및 건물중을 조사하고, 엽록소 측정계(chlorophyll meter, Konica Minolta Sensing, Inc., Japan)를 사용한 SPAD 값을 측정하였다. 생장 조사에서 배추묘 포기의 폭을 조사하여 초폭으로 삼았으며, 뿌리를 잘라내고 바로 윗부분인 근출엽 발생부위부터 가장 긴 잎의 끝을 조사하여 엽장으로 간주하였다. 엽폭은 가장 큰 잎의 폭을 조사하였다.
근권부 무기이온 농도를 분석하기 위해서 매주 육묘중인 묘의 근권부에서 혼합상토를 채취하여 풍건하였다. 증류수와 풍건 상토를 1:10(w/w)으로 혼합한 반죽을 만든 후 실온에 2h 동안 치상하였고, 거즈로 용액을 채취하였다. 이 용액의 pH와 EC의 측정, ICP(Inductively Coupled Plasma, Intergra XL, GBC, Australia)를 사용한 K, Ca, Mg, 및 Na의 농도를 분석하였다(NIAST, 2000).
식물체 분석을 위해 배추 파종 4주 후에 지상부 식물체 전체를 수확하여 분석 시료로 삼았다. 식물체 분석은 농촌진흥청 국립농업과학원 표준법(NIAST, 2000)에 준하여, 식물체 시료 0.5g을 유리삼각플라스크에 취하고, 95% 2SO4:60% HClO4:증류수(1:9:5)의 혼합분해액 10mL을 가하여 240°C에서 분해한 후 100mL 메스플라스크에 여과하였으며, 여과용액을 ICP(Intergra XL, GBC, Australia)로 분석하였다.
식물의 생육을 조사한 후 처리간 평균은 Costat 프로그램(Monterey, California, USA)을 사용하여 p ≤ 0.05 수준의 유의차 검정을 사용하였다. 또한 질소 시비농도 증가에 대한 식물의 생장 반응, 무기물 함량 변화, 그리고 토양 분석결과에 대하여 1차 및 2차항 회귀분석을 함으로써 경향을 파악하고자 하였다.
결과 및 고찰
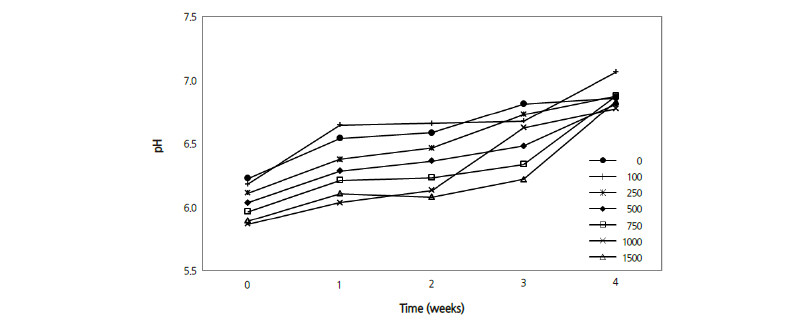
파종시기 부터 4주 후 까지 매주 상토 시료를 채취하여 추출용액의 pH와 EC 변화를 측정하여 Fig. 1 과 Fig. 2에 나타내었다. 파종 전 상토에 기비로 혼합된 질소의 수준 차이가 컸음에도 불구하고 모든 처리의 pH가 5.87-6.23 범위로 측정되어 Nelson(2003)이 제시한 수용 가능한 범위에 포함되었다. 작물 생육기간 동안 시간이 경과함에 따라 모든 처리의 pH가 상승하는 경향을 나타내었지만 질소 시비농도가 높은 처리의pH 상승폭이 적었다.
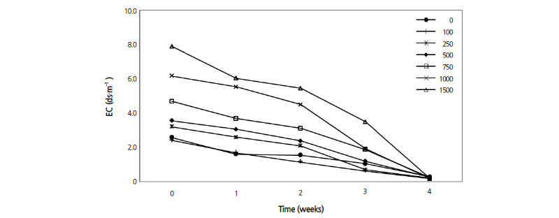
작물 파종 전 질소 시비 수준에 영향을 받은 상토 추출용액의 EC는 시비량이 많을수록 뚜렷하게 높았다. 그러나 파종 후 생육기간이 경과함에 따라 모든 처리의 EC가 낮아지는 경향이었으며, 질소 시비농도가 높았던 처리에서 더 심하게 낮아져 파종 3주 후에는 처리간 차이가 적어졌다. 이와 같이 육묘중 시비농도가 높았던 처리에서 EC가 더 심하게 낮아진 것은 용탈률과 추비농도에서 원인을 찾을 수 있다. Bunt(1988)와 Choi et al.(2009)에 의하면 혼합상토는 노지 토양 보다 양이온치환용량이 낮으며, 기비로 혼합되는 비료는 염기포화도를 약 80% 수준에 도달할 수 있는 수준으로 조절하는 것이 바람직하다. 그들은 기비로 혼합된 비료의 양이 과다하면 양이온교환부위에 흡착되지 못한 비료의 양이 많고 이들은 관수나 관비시 배수공을 통해 쉽게 용탈된다고 하였으며 본 연구의 질소 시비량이 많았던 처리에서 EC가 급격히 낮아진 점에 대한 이론적인 면을 뒷받침하고 있다.
기비로 혼합된 질소의 수준 차이가 육묘과정 중 근권부 농도에 미치는 영향을 파악하기 위해 육묘중 주기적으로 상토 시료를 채취하여 1:10(w/w)의 비율로 추출하였으며, 추출한 용액의 NH4 와 NO3 농도를 분석하여 Fig. 3에 나타내었다. 파종 전 채취한 시료는 질소 무시비구(0mg·L-1)에서 NH4 농도 20.0mg·kg-1, NO3 농도 26.9mg·kg-1으로 가장 낮게 분석되었다. 1,500mg·L-1 처리에서 NH4와 NO3가 각각 384.6 및 583.2mg·kg-1로 가장 높은 농도로 분석되었으며, 질소 시비수준에 따른 처리간 차이가 뚜렷하였다. 그러나 3주 이후에는 처리간 차이가 줄어들었고, 4주 후에는 모든 처리의 암모늄태 및 질산태질소 농도가 뚜렷하게 낮아졌으며 처리간 차이도 없었다. 상토의 질소 농도가 낮아지는 경향은 EC가 낮아지는 것과 매우 유사한 패턴을 보였는데, 이는 Bunt(1988) 또는 Choi et al.(2007)이 보고한 바와 같이 근권부에는 질소가 가장 고농도로 존재하며 토양용액의 EC에 가장 큰 영향을 미치는 원소이기 때문이다.
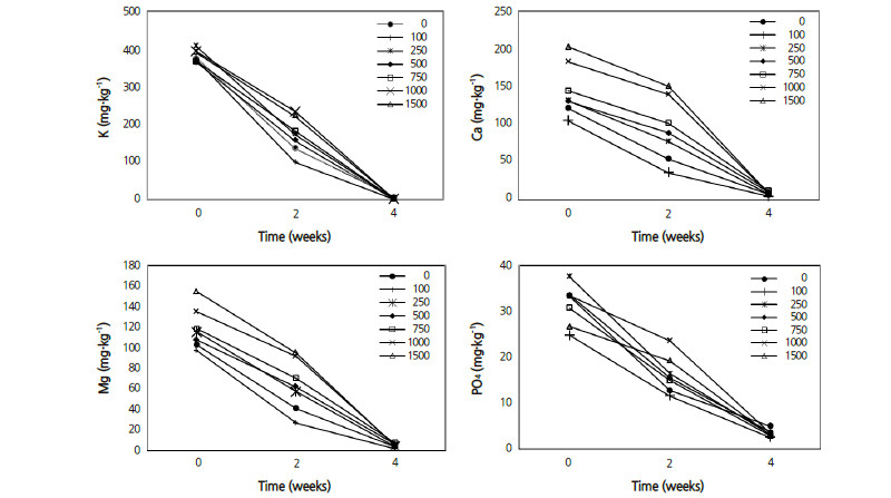
배추 생육기간 동안 질소 시비수준에 영향을 받은 근권부의 다량원소 농도 변화를 Fig. 4에 나타내었다. 파종 전 기비를 포함한 상태의 상토 추출용액을 분석한 결과 K는 321.0-404.5mg·kg-1의 범위로 분석되었다. 질소 시비수준을 250mg·L-1으로 조절한 처리구에서 K 농도가 404.6mg·kg-1로 가장 높게 분석되었고, 1,500mg·L-1으로 조절한 처리구에서 Ca과 Mg 농도가 가장 높아 각각 202.1과 154.1mg·kg/-1로 분석되었으며 질소 시비 수준이 높아질수록 Ca과 Mg의 농도도 높아짐을 알 수 있었다. 작물의 생육기간이 경과함에 따라 모든 처리에서K , Ca, Mg과 Na 이온 농도가 뚜렷하게 낮아지는 경향을 보였다.
정식 전 분석에서 질소 시비 수준이 높을수록 Ca과 Mg 농도가 높았던 것은 상토의 양이온치환부위에서 양이온간 흡착을 위한 길항작용이 발생하였기 때문이라고 판단하였다. 즉, Table 1에 나타낸 바와 같이 KH4NO3를 혼합하여 질소 시비수준을 조절하였으며, 고농도 시비구에서는 NO3뿐만 아니라 NH4의 시비농도도 높아졌고, 상토에 양이온인 NH4의 농도가 높아짐에 따라 양이온치환부위에 흡착되지 못한 다른 양이온인 Ca과 Mg의 농도가 높게 분석된 원인이 되었다고 생각한다. 육묘 시간이 경과함에 따라 다양원소의 농도가 낮아진 것은 앞에서 설명한 바와 같이 관비 및 관수 과정에서 지속적으로 용탈되었기 때문이라고 판단하였다.
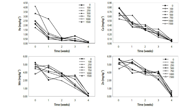
토양 용액으로부터 미량원소인 Fe, Cu, Mn 및 Zn 농도를 분석한 결과는 Fig. 5와 같다. Fe는 1.72-2.47mg·kg-1, Cu는0.35-0.62mg·kg-1, Mn은 3.34-5.04mg·kg-1, 그리고 Zn 3.72-5.60mg·kg-1의 농도 범위를 보였으며, 질소 시비수준에 따른 뚜렷한 경향을 발견할 수 없었지만 4 종류 이온 모두 작물의 생육기간이 경과함에 따라 농도가 낮아졌다.
상토에 기비로 포함된 질소 수준을 다양하게 조절하고 배추를 파종하였으며, 파종 2 및 4주 후 생육 조사한 결과를 Table 2 및 3 그리고 Fig. 6 및 7에 나타내었다. 파종 2주 후 질소 시비수준을 100mg·L-1으로 조절한 처리에서 초폭 10.4cm, 엽장 5.27cm, 엽폭 3.32cm, 지상부 생체중 1.18g, 그리고 건물중 0.08g으로 생육이 가장 우수하였다. 그러나 1,500mg·L-1 처리에서 초폭 4.51cm, 엽장 2.57cm, 엽폭 1.48cm, 엽수 3.0, 지상부 생체중 0.24g, 그리고 건물중 0.03g으로 생육이 가장 저조하였다.
파종 4주 후의 생육조사 결과 질소 시비수준을 500mg·L-1으로 조절한 처리에서 초폭 24.5cm, 엽폭 5.64cm, 지상부 생체중 10.1g으로 가장 우수하였다. SPAD 값은 1500mg·L-1 처리구에서 29.8로 가장 높게 측정되었다. 또한 질소 무시비구(0mg·L-1) 에서 엽장 6.99cm, 엽폭 4.57cm, 엽수 8.1, 지상부 생체중 0.33g, 그리고 건물중 0.03g으로 생육이 가장 저조하였다. 500mg·L-1 처리의 경우 무시비구에 비하여 생체중이 약7 3% 무거웠으며 통계적으로도 그 차이가 뚜렷하였다.
배추 파종 4주 후 수확한 작물체의 지상부 무기원소 함량은 Table 4에 나타내었다. 배추의 T-N 함량은 질소 100mg·L-1에서 2.88%로 가장 낮았고, 250mg·L-1 처리에서 4.16%로 가장 높았으며, p ≤ 0.001 수준에서 처리간 통계적인 차이가 인정되었다. P, K, Ca 함량은 무시비구처리에서 각각 1.19, 8.81, 2.71%로 가장 높은 함량을 보였고, 질소 500mg·L-1에서 P 및 K함량이 0.72 및 5.65%로 가장 낮았으며 p ≤ 0.01 수준에서 처리 간 통계적인 차이가 인정되었다. Mg은 0.83-1.13mg·kg-1, Na는 0.78-1.54mg·kg-1의 범위로 분석되었으며 처리간 통계적인 차이가 인정되었다. 미량원소인 Cu, Zn의 식물체내 함량은 1,000mg·L-1 처리구에서 각각 15.5와 184.9%로 가장 높았고, Fe와 Mn은 1,500mg·L-1 처리구에서 각각 375.1와 105.8mg·kg-1로 가장 높게 분석되었다.
Ulrich(1993)는 감자의 식물체 내 무기원소 함량과 작물 생장의 관계를 보고하였으며 최대 생장량 보다 10% 감소한 생장을 보이는 조건의 무기원소 함량을 한계점(critical concentration)으로 정의하였다. 그는 최대 생장량의 80% 미만 생장을 보일 때 의 식물체내 무기원소 함량을 결핍 영역, 최대 생장량의 80-100% 생장을 보일 때의 무기물 함량을 잠재적 결핍 영역, 그리고 최대 생장을 보이는 식물체내 무기원소 함량을 적정 영역, 그리고 식물이 무기원소를 과다하게 흡수하여 생장이 억제되는 영역을 과잉영역으로 보고하였다. 파종 2주 후 100과 250mg·L-1 처리의 생장이 가장 우수하였고, 파종 4주 후 500 및 750mg·L-1 처리의 생장이 가장 우수하였던 점을 고려할 때 기비로 혼합된 질소 수준을 250mg·L-1 이하로 조절하고, 추비의 농도를 높이는 것이 바람직하다고 판단하였다. 아울러 Salifu et al.(2006) 및 Ulrich(1993)의 보고 내용과 본 연구의 식물체내 N 함량 및 생장량(생체중 및 건물중 기준)을 고려할 때 지상부 식물체 N 함량이 3.83-5.79%의 범위에 포함되도록 질소 시비 수준을 조절하는 것이 바람직하다고 판단하였다.













