서 언
백합은 장미, 국화와 더불어 우리나라에서 수출되는 대표적인 3대 화훼 중 하나로, 수출용 백합의 99.9%가 일본으로 수출되고 있으며, 주로 Oriental 계통의 백합이 수출되며, 그 외에 LA 계통, Asiatic 계통, Oriental × Trumpet (OT) 계통 등 다양한 계통의 백합이 수출되고 있다(Kim and Kim, 2015). 국내산 절화 백합의 2017년 상반기 수출액은 1.3백만 불로 전년 대비 56.6% 증가하였으며, 일본 시장에서 전체 수입량의 88%를 차지할 정도로 수입시장에서 한국산 비중이 높다고 할 수 있다(KATI, 2017). 그러나 일본산과 국내산 절화 백합의 현저한 품질 차이 및 일본 화훼 시장의 장기간 소비 침체로 수입량이 지속적으로 감소하여 시장 점유율 확대의 어려움을 겪고 있다(KATI, 2017). 국내 절화 백합의 일본 수출량 증대를 위해 품질 및 신선도 유지가 더욱 중요시되고 있으나 수확 전 재배환경과 조기 수확, 수확 후 관리 부실 등으로 절화수명 단축, 조기 개화, 마지막 봉오리의 불개화 등이 문제가 되고 있다(Lee and Kim, 2016). 또한 절화 백합의 유통 과정에서 온·습도 환경 변화가 크고, 건식 수송이 이루어짐으로써 상품의 품질 및 신선도 유지에 문제가 발생하여 이로 인한 손실률이 약 10-15%인 것으로 보고되었다(Suh and Kim, 2004). 이를 해결하기 위해 절화 백합의 전처리 및 습식 수송 연구가 이루어지고 있다(Choi et al., 2012; Choi et al., 2014; Hwang et al., 2007; Lee and Kim, 2016; Lim et al., 2016; Ren et al., 2017).
Chrysal SVB로 전처리를 하였을 때 절화 백합 ‘Siberia’는 절화수명이 연장되었고 수분 유지에 효과적인 것으로 나타났으며(Oh et al., 2017), ‘Medusa’는 절화 휨 정도가 개선되며, 절화수명이 연장되는 것으로 조사되었다(Lee and Kim, 2016). 그러나 절화 백합은 전처리 후에 건식으로 유통되기 때문에 상품성 유지에 어려움이 있다.
국내산 절화 장미는 일본으로 수출 시 외부의 영향을 최소화하기 위해 전량 습식 수송으로 이루어지고 있다. 장미의 습식 수송 효과를 증명하는 연구는 현재까지 지속적으로 진행되고 있으며(Lee et al., 2010; Oh et al., 2018; Pouri et al., 2017), 최근에는 국화와 백합 등을 장미와 같이 습식 수송하기 위해 용액을 개발하는 연구들도 진행되고 있다(Lim et al., 2016; Roh et al., 2018; Roh et al., 2017). 절화 국화 ‘Baekma’는 수송 시 습식용액 NaOCl을 처리하였을 때 건식 수송한 처리구에 비해 절화수명이 연장되었으며, ClO2 1mg·L-1 처리구에서는 생체중이 높게 유지되고, 건식 수송한 처리구에 비해 화폭이 큰 것으로 나타났다(Roh et al., 2017b). ‘Jinba’는 건식 수송한 처리구에 비해 ClO2 2mg·L-1 습식용액 처리구에서 절화수명 연장과 품질 유지에 효과적인 것으로 조사되었다(Roh et al., 2017a). 또한, 절화 백합 ‘Medusa’ 품종에 상업용 전처리제를 사용하여 습식 수송을 하였을 때 건식 수송에 비해 수출국 경매장 단계에서 조기 개화를 억제하고, 절화 품질 개선에 효과적이라고 보고되었다(Lim et al., 2016). 이와 같은 절화 백합에 관한 연구 결과는 Oriental 계통의 백합 연구에 집중되어 있으며, 최근에는 일본 소비자의 변화된 선호 때문에 Oriental 이외 계통의 백합이 점차 수출되고 있기 때문에 다양한 계통의 백합 연구가 필요한 실정이다. 따라서, 본 연구에서는 OT 수출용 백합의 전처리와 수송 시 습식용액을 사용하여 전처리 단계부터 유통 단계까지의 품질을 비교 분석하고자 하였다.
재료 및 방법
공시재료 및 처리
공시재료는 2013년에 ‘Chelsea Flower Show’에서 소개된 OT 계통의 신품종(Hyde and Son, 2017)인 Lilium OT hybrids ‘Zambesi’ 4륜화를 사용하였으며, 2016년 9월 강원도 강릉시 수출 백합 단지에서 수확하였다. 수확 시 꽃봉오리가 벌어지지 않고, 1번화의 꽃봉오리가 하얗게 물든 상태의 수출 단계로 수확하여 사용하였다. 농가에서 수확 직후부터 출하 전 저장 단계까지를 전처리(pretreatment)로 tap water, Chrysal SVB (Chrysal international, Netherlands) 1pill/3L처리를 하였으며, 예냉을 위해 8°C 저온고에 24시간 동안 습식상태로 저온 저장하였다. 그 후 포장 단계부터 수출국 도착까지 수송과정 동안의 습식용액(shipping wet solution) 처리를 위해 현재 상용화 되고 있는 장미의 습식 박스(22 × 22 × 88cm)를 이용하여 건식 및 tap water, 1-MCP(FarmHannong Inc., Korea) 2ppm, Chrysal AVB(Chrysal international, Netherlands) 1mL·L-1 처리하였다. 1-MCP는 kit 형태로 만들어진 제품을 사용하였으며, 가스 형태의 처리로 tap water와 혼용하였다. 모의 수송 환경은 선박 수송 시간을 고려하여 12시간 5°C에서 저온 저장 하였으며, 검역 환경을 위해 3시간 동안 상온에 노출시키고, 수출국 경매장 단계인 수확 후 3일부터 품질 조사를 하였다.
전처리와 수송 시 습식용액에 따른 절화품질 분석
본 실험은 ‘Zambesi’의 균일한 절화를 처리별로 5개씩 선별하여 55cm로 재절단한 후 증류수가 들어있는 삼각 플라스크에 1개체씩 꽂아 5반복으로 실시하였다. 실험 1일을 경매장 단계로 정하여 품질 조사를 실시하였으며, 절화수명, 노화 양상, 화폭, 생체중 변화율, 수분 흡수량, 수분균형, 기공 크기 변화율을 조사하였다. 절화수명은 위조(wilting), 갈변(browning), 꽃잎 탈리(petal abscission) 등의 노화 양상 중 한가지 이상이 나타난 날까지의 일수를 계산하여 정하였고, 노화 양상은 발생 빈도를 백분율로 나타냈다(Fig. 1). 생체중 변화율은 조사 첫날을 기준으로 계산하였고, 수분 흡수량은 전날 무게에서 당일 무게를 뺀 값으로 계산하였으며, 수분균형은 생체중 변화율과 수분 흡수량을 통해 분석하였다. 기공 크기 변화율은 기공 전용 관찰 키트(SUMP, Kenis, Japan)을 이용하였으며, 경매장 시점인 실험 1일에 암과 명 조건을 거친 후 광학현미경(CX 31, Olympus, Japan) 100배율로 기공 크기를 측정하여 변화율로 계산하였다.
통계분석
통계분석은 SAS 프로그램(SAS 9.0, SAS institute Inc., USA)을 이용하였으며, Duncan의 다중검정으로 p = 0.05 수준에서 유의성 검정을 하였다.
결과 및 고찰
절화 백합 ‘Zambesi’의 전처리와 수송 시 습식용액에 따른 절화수명을 조사한 결과(Table 1), Chrysal SVB 처리 후 습식용액 tap water로 수송한 처리구, tap water + 1-MCP로 수송한 처리구 및 tap water 처리 후 습식용액 Chrysal AVB로 수송한 처리구의 절화수명이 13일로 tap water 처리 후 건식 수송한 처리구에 비해 약 2일 정도 연장되어 다소 효과가 있는 것으로 나타났다. 이는 Lee and Kim(2016)이 일본에 수출하는 절화 백합은 수확 후 10 - 12일까지 절화수명이 요구된다는 연구 결과와 일치하였다. 각 처리와 절화수명의 분산분석 결과, 전처리, 습식용액 처리 및 전처리와 습식용액의 교차 처리 모두 절화수명에 유의하게 영향을 미치는 것으로 나타났다. 그러나 노화 양상 조사 결과, Chrysal SVB 처리 후 건식 수송한 처리구를 제외하고, 전처리, 습식용액에서 Chrysal이 들어간 모든 처리구에서 꽃잎 갈변 현상이 적게 발생한 것으로 나타났다. 특히, 절화수명 연장에 다소 효과적이었던 Chrysal SVB 처리 후 습식용액 tap water + 1-MCP로 수송한 처리구에서는 꽃잎 갈변이 나타나지 않았고, tap water 처리 후 습식용액 Chrysal AVB로 수송한 처리구와 Chrysal SVB 처리 후 습식용액 Chrysal AVB로 수송한 처리구는 위조 및 갈변의 노화 양상이 20%로 다른 처리구에 비해 적게 나타나 품질 유지에 효과적인 것으로 조사되었다. Chrysal은 당과 살균 성분이 혼합된 상품으로 절화의 수명을 연장하고 화색을 유지하는 것에 효과가 있다는 기존 연구 결과와 유사하였다(Lee and Lee, 2015; Leeson et al., 2017).
화폭 조사 결과(Table 2, Fig. 2), 실험 1일에 1번화의 화폭이 통계적으로 유의한 차이를 보였으나, 육안으로 관찰하였을 때 각 처리의 봉오리가 벌어지는 정도가 미미한 차이를 보여 경매장에서 가격에 영향을 미치지 않을 것으로 판단되었다. 또한, 소비자가 감상하는 시점인 실험 7일에는 모든 처리구의 1번화는 만개되어 유의차 없이 개화가 이루어졌고, 그 후 노화되면서 위조와 꽃잎 탈리로 인해 점차 감소하는 경향을 보였다. 4번화는 tap water 처리 후 건식 수송한 처리구가 화폭이 0.0으로 개화가 되지 않은 것으로 나타났다. tap water 처리 후 건식 수송한 처리구의 절화수명일인 실험 11일에는 Chrysal SVB 처리 후 건식 수송한 처리구의 화폭이 1번화, 4번화 모두 가장 크게 나타났으나, 다른 처리구에 비해 노화 양상이 많이 나타나서 육안으로 보았을 때, 품질이 낮은 것으로 판단되었다. 일본 경매장에서 절화 백합은 봉오리 상태로 개화가 이루어지지 않아야 가격 경쟁력이 우수하며(Lim et al., 2016), 소비자 단계에서는 모든 소화가 불개화 되지 않고 개화가 되어야 품질이 좋은 것으로 판단된다(Lee and Kim, 2016; van Doorn, 1997). 따라서, Chrysal SVB 처리 후 습식용액 tap water + 1-MCP로 수송한 처리구와 Chrysal SVB 처리 후 습식용액 Chrysal AVB로 수송한 처리구가 품질에 효과적인 것으로 판단되었다. 각 처리와 화폭의 분산분석 결과, 실험 1일 경매장 단계에서는 수송 시 습식용액이 0.05 유의수준에서 화폭에 영향을 미치는 것으로 나타났고, 모든 처리구가 만개하여 절화수명이 종료되어가는 시점인 실험 11일에는 1번화 및 4번화의 꽃이 개화하는데 전처리의 영향이 각각 0.01, 0.001 유의수준에서 영향을 미치는 것으로 나타났다. 따라서, 전처리는 절화의 모든 소화의 불개화를 방지하는 역할을 하는 것으로 판단되며, 습식용액은 경매장에서 영향을 미치나 육안으로 관찰하였을 때 봉오리 벌어짐 정도가 미미하여 경매 가격에 상관없이 선도 유지에는 효과적인 것으로 판단된다.

Fig. 2. Flowering of cut Lilium OT hybrid ‘Zambesi’ as influenced by the treatments: 1st day of vase life test (A–H) and 11th day for vase life test (I–P). Pretreatment with tap water (A–D, I–L) or Chrysal SVB 1pill/3L (E–H, M–P); dry shipping treatment (A, E, I, M), and wet shipping treatment using tap water (B, F, J, N), tap water + 1-MCP 2 ppm (C, G, K, O), or Chrysal AVB 1 mL·L-1 (D, H, L, P).
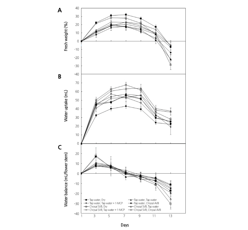
절화 백합의 생체중 변화율을 조사한 결과(Fig. 3A), 모든 처리구가 급격히 증가하다 노화가 진행되면서 감소하는 경향은 기존 절화들의 생체중 변화율 결과와 일치하였다(Lee et al., 2016; Choi et al., 2012). 그 중 tap water 처리 후 건식 수송한 처리구의 생체중 변화율이 가장 높게 유지되었고, 이는 절화 백합이 건식으로 수송되면서 수분을 함유하고 있지 않다가 수분 공급이 이루어지면서 생체중이 증가한 것으로 판단된다. 절화수명이 다소 연장되었던 Chrysal SVB 처리 후 습식용액 tap water + 1-MCP로 수송한 처리구의 경우 생체중 변화율이 품질조사 마지막 날인 13일까지 다른 처리구에 비해 높아 품질 유지에 효과적인 것으로 조사되었다.
수분 흡수량을 조사한 결과(Fig. 3B), 생체중 변화율과 비슷한 경향이었으며, Chrysal SVB 처리 후 습식용액 tap water + 1-MCP로 수송한 처리구는 실험 9일 이후 노화가 시작되어 급격히 감소하는 것으로 나타났으며 다른 처리구에 비해 높은 수분 흡수량을 보였다. 수분균형을 조사한 결과(Fig. 3C), 실험 7일에 만개하여 노화가 시작되면서 수분 흡수가 거의 이루어지지 않아 ‘–’ 값으로 떨어지는 경향을 보였으나, Chrysal SVB 처리 후 습식용액 tap water + 1-MCP로 수송한 처리구가 다른 처리구에 비해 약 2일 늦게 ‘–’ 값으로 떨어지는 것으로 나타났다. 또한 절화수명 연장에 효과적이었던 Chrysal SVB 처리 후 습식용액 Chrysal AVB로 수송한 처리구의 수분균형이 다른 처리구에 비해 높은 것으로 나타났다. 반면, tap water 처리 후 습식용액 tap water로 수송한 처리구와 Chrysal SVB 처리 후 건식 수송한 처리구는 수분균형이 낮게 나타났으며, 절화수명 조사 결과 짧은 절화수명을 나타낸 결과와 일치하였다. In et al.(2016)의 연구에 따르면, 절화수명은 수분 스트레스와 상관관계가 높아 수분 유지가 중요한 것으로 나타났다. 이는 전처리와 습식용액의 성분에 들어가는 당과 에틸렌 억제제 성분 등이 있어 부족한 당을 공급하고, 수분 흡수를 원활하게 해주는 것으로 판단되었다(Choi et al., 2013).
명과 암 반응의 기공의 크기 변화율을 조사한 결과(Fig. 4), Chrysal SVB 처리 후 습식용액 tap water + 1-MCP로 수송한 처리구와 Chrysal SVB 처리 후 습식용액 Chrysal AVB로 수송한 처리구의 기공 크기 변화율이 유의한 증가를 보였으며, 다른 처리구에 비해 다소 크게 났으므로 수분균형에 효과적인 것으로 판단된다. 그러나 tap water 처리 후 건식 수송한 처리구와 Chrysal SVB 처리 후 건식 수송한 처리구의 경우 암 조건에서 기공 폐쇄가 제대로 되지 않았다. 과도한 증산은 수분 손실이 많아지는 원인으로 수분균형이나 절화의 위조가 더욱 빨리 발생하게 되면서 품질 유지에 좋지 않은 것으로 나타났다(In et al., 2016).
국내산 절화 백합 ‘Zambesi’의 경우 경매장 단계에서는 수송 시 습식용액 처리, 소비자 단계에서는 전처리의 영향을 많이 받는 것으로 판단되고, 전처리와 수송 시 습식용액 처리 중 한번만 처리되어도 수명 연장 및 만개하는 개화 정도, 수분 유지 등에 효과적인 것으로 나타났다. 그 중 Chrysal SVB로 전처리하고, 습식 수송 시 건식 수송에 비해 노화 양상이 적게 나타났다. 그러나, 현재 절화 백합은 습식 수송 시스템이 미비하여 일본으로 수출 시 건식으로 수송되고 있는 실정이다. 본 연구 결과, 습식 수송 시스템의 필요성이 강조되고 있으며, 특히 수송 시 습식용액에서도 tap water에 비해 tap water + 1-MCP 또는 Chrysal AVB로 수송한 처리구가 가장 효과적이었으므로, 전처리는 Chrysal SVB, 수송 시 습식용액은 tap water + 1-MCP 또는 Chrysal AVB로 수송한 처리구가 적절한 것으로 판단된다.







