서 언
버섯은 독특한 향미를 지니고 있으며 각종 영양소가 함유되어 있어 꾸준히 소비・생산되고 있는 작물이다. 국내에서는 양송이, 느타리 등을 비롯한 12종이 인공으로 재배되고 있으며 양송이는 4계절 연중 수확되는 버섯으로 국내에서 1960년대부터 재배되기 시작하여 2011년도 양송이의 총 생산량은 13,052톤으로 총 버섯 생산량의 약 8% 정도를 차지하고 있다(MAF, 2011).
양송이는 다른 과일 및 채소류에 비해 호흡속도가 빠르고, 조직이 연하기 때문에 수확 후 저장 및 유통과정 중의 품질변화가 일어나기 쉽다. 양송이의 저장 중 품질변화를 방지하기 위하여 예냉처리(Kim et al., 2007), 포장재질에 따른 기체조성조절(Chang et al., 2012) 등의 연구가 진행되어왔는데, Kim et al.(2007)의 연구에서는 수확 후 예냉처리가 양송이의 저장 중 품질유지에 효과적이었고, Chang et al. (2012)의 연구에서는 양송이를 polypropylene(PP) film으로 포장하였을 경우 상품성이 더 오래 유지된다고 밝혔다. 또한, 양송이의 저장 중 품질저하는 표면의 갈변현상으로 나타나며 이는 주로 양송이에 함유된 polyphenol oxidase(PPO)의 한 종류인 tyrosinase에 의한 것으로 알려져 있다(Yim et al., 1991). Tyrosinase를 저해하는 것으로 알려진 ascorbic acid, citric acid, cysteine 등의 천연유래 물질의 갈변저해 효과를 확인하는 많은 연구(Coseteng and Lee, 1987; Lee et al., 2003; Mccord and Kilara, 1983)가 진행되었지만 최근 소비자의 천연소재에 대한 관심의 증가로 감국, rhubarb juice 등 천연소재 추출물의 갈변저해 효과에 대한 연구가 활발하게 진행되고 있다(Chang et al., 2011; Son et al., 2000).
쌀겨는 현미에서 백미로 도정하는 과정에서 생기는 부산물로서 일부만 미강유로 제조되고 대부분은 사료용으로 쓰이거나 폐기되고 있다(Jo and Choi., 2010). 쌀겨에는 식이섬유, vitamin B1, B2, tocopherol, γ-oryzanol 등과 같은 영양성분이 풍부하게 함유되어 있으며 주요 phenolic acid인 ferulic acid는 low-density lipoprotein(LDL) 산화억제, 세포손상 보호 및 항산화 효과 등 여러 생리활성에 대한 연구결과가 보고되었다(Choi et al., 2010; Jo and Choi, 2010). 최근 쌀겨추출물이 감자나 바나나에 함유되어 있는 PPO를 저해한다는 효과가 보고되었으며 쌀겨추출물을 citric acid나 ascorbic acid와 병용으로 처리하여 효과적으로 갈변을 저해할 수 있음을 시사하였다(Sukhonthara and Theerakulkait, 2012). 이처럼 쌀겨는 천연소재로서 갈변저해에 대한 높은 기능성을 나타내고 있으므로 천연자원으로서 가치는 충분히 있으나 이들의 활용에 대한 연구가 미비하여 폐기물로 처리되고 있는 실정이다.
본 연구에서는 쌀의 도정과정에서 생성되는 부산물인 쌀겨를 천연갈변저해제로서의 이용가능성을 검토하기 위하여 쌀겨추출물 및 ascorbic acid를 단독 또는 병용으로 적용한 양송이를 PP film에 포장하여 4, 15°C에서 저장하면서 포장재 내부의 기체조성, 색도, 경도 등을 조사하고, 쌀겨추출물 및 ascorbic acid의 항산화 및 항갈변 활성을 측정하였다.
재료 및 방법
실험재료
본 실험에 사용한 양송이는 백색종(F599)으로 경기도 용인시 농가에서 재배되어 2013년 8월에 수확하였으며 수확 직후 2kg expanded polystyrene(EPS) 상자에 포장한 상태로 실험실로 운반하여 외관 상태와 모양이 전체적으로 균일한 것을 선별하여 시료로 사용하였다.
쌀겨(삼광벼)는 논산미곡종합처리장에서 받아 사용하였으며, 시료 50g과 10배의 70% ethanol을 혼합한 뒤 80°C에서 9시간 동안 추출하였다. 추출액은 회전감압농축한 후 분말화하여 -20°C에 보관하며 사용하였다.
양송이의 저장 중 품질변화
수확 후 운반된 양송이의 초기 온도는 평균 21°C이며, 운반 직후 4°C 저장고에서 6시간 정도 저온저장하여 품온을 약 4°C로 낮추었다. 본 실험에 사용된 처리용액의 농도는 예비실험을 통하여 설정하였으며 양송이를 쌀겨추출물 0.25% (RB), ascorbic acid 0.1%(AA) 단일 처리용액 및 쌀겨추출물 0.25%과 ascorbic acid 0.1% 병용처리용액(RB + AA)에 3분간 침지 시킨 후 1시간 동안 실온에서 건조시킨 후 사용하였으며, 비교구로는 distilled water(DW)를 사용하였다. 준비된 양송이는 PP film(21.5 × 11.5cm, 30μm)으로 포장하였다. 모든 처리구는 유통되는 판매처의 저장고 및 쇼케이스 온도와 비슷한 환경을 유지하기 위하여 4, 15°C에서 저장하며 3일 간격으로 품질변화를 측정하였다.
기체조성은 포장 내부의 head space 기체를 가스 기밀성 주사기로 취한 후 Oxygen/Carbon Dioxide Headspace Analyzer (Model 6600, Illinois Instruments, Inc., USA)를 이용하여 분석한 값을 백분율(%)로 나타내었다. 경도측정은 Texture Analyser (LLOYD Instrument, Ametek, Inc., UK)를 이용하여 depression limit 10mm, test speed 50mm・min-1, trigger 0.1N의 조건에서 측정하였다. 표면색은 표준백판(L = 97.40, a = -0.49, b = 1.96)으로 보정된 Chromameter(CR-400, Minolta Co., Japan)를 사용하여 측정하였으며, 시료 갓의 상단 중심부위를 8반복으로 Hunter’s value를 측정하였다. 각 처리구간의 색도의 차이는 색차(color difference, △E)를 이용하여 분석하였으며 △E = (△L2 + △a2 + △b2)1/2로 계산된 수치로 평가하였다.
관능검사는 Minamide et al.(1985)과 Kader(1985)의 방법을 응용하여 이취, 색, 조직감, 갓개열정도, 전체적인 기호도 등 총 5가지 항목을 9점 척도로 평가하였으며, 전체적인 기호도 5점까지를 저장수명의 한계로 설정하였다. 가장 높은 점수인 9점은 아주 신선한 상태(fresh)를 나타내며, 7점은 좋은 상태(good), 5점은 판매가능한 상태(salable), 3점은 판매 가능하지 않으나 섭취 가능한 상태(edible), 1점은 섭취할 수 없는 상태(not edible)를 나타낸다.
추출물의 항산화 및 항갈변 효과
총 폴리페놀 함량은 Folin-Denis 방법을 이용하여 측정하였다(Richard-Forget et al., 1992). 10mg・mL-1 농도로 methanol에 용해시킨 시료액 50μL와 Folin-Ciocalteu’s phenol reagent (Sigma, St. Louis, MO, USA) 50μL를 첨가하여 혼합한 후 3분간 실온에서 반응시킨 뒤, 10% sodium carbonate(Na2CO3) 용액 150μL를 가하여 암실에서 1시간 동안 방치하여 760nm에서 흡광도를 측정하였다. Gallic acid(Sigma)를 이용하여 검량선을 작성하였고 총 폴리페놀 함량은 건조 시료 중량 당 mg gallic acid equivalent(GAE・g-1 dry weight, dw)로 나타내었다.
총 플라보노이드 함량은 Lin and Tang(2007)의 방법을 일부 변경하여 측정하였으며 시료의 추출은 총 페놀함량의 전처리와 동일한 방법을 적용하였다. 추출물 100μL에 2% AlCl3 100μL를 혼합하여 15분간 방치한 후 반응액의 흡광도값을 430nm에서 측정하였다. 표준물질로 quercetin(Sigma Chemical Co.)을 이용하여 검량선을 작성하였고 총 플라보노이드 함량은 건조 시료 중량당 mg quercetin equivalent (QE・g-1 dw)로 나타내었다.
DPPH 라디칼 소거효과는 1,1-diphenyl-2-picrylhydrazyl (DPPH, Sigma)를 이용하여 시료의 라디칼 소거효과를 측정하는 Blois법(Blois, 1958)을 활용하였다. 추출물 100μL에 0.2mM DPPH 100μL를 가하고 실온에서 30분간 반응시킨 후 분광광도계를 이용하여 515nm에서 흡광도를 측정하였다.
ABTS 라디칼 소거효과의 측정은 Pellegrin et al.(2010)의 방법에 의해 측정하였다. 7mM ABTS와 2.45mM K2S2O8을 섞어 어두운 곳에 16시간 방치시킨 후, 이를 absolute ethanol로 희석하여 734nm에서 대조구의 흡광도 값이 0.7 ± 0.002가 되도록 조절한 ABTS solution을 사용하였다. 각 농도별의 추출물 20μL와 ABTS solution 180μL를 1분간 방치 후 734nm에서 흡광도를 측정하였다. 아래의 식에 의해 저해율을 계산하였으며, 기존의 항산화제인 ascorbic acid를 대조구로 사용하여 비교하였다.
Radical scavenging activity (%) = [1- (A/B)] × 100 (A: sample의 흡광도, B: blank의 흡광도)
구리(Cu2+) 킬레이팅 활성은 PV(pyrocatechol violet)을 사용한 방법(Custódio et al., 2012)으로 측정하였다. 각 추출물 30μL을 96-well plate에 4mM PV 6μL와 CuSO4・5H2O (50μg・mL-1, w/v) 100μL를 혼합하고 Na acetate buffer(pH 6.0)를 첨가하여 200μL를 맞춰 주었다. 이 용액을 632nm에서 Microplate reader(M2, Molecular Device, Canada)를 이용하여 측정하고, 아래의 식으로부터 구리이온(Cu2+)에 대한 킬레이트 효과를 %로 나타내었다.
Chelating activity effect(%) = [1- (A/B)] × 100 (A, sample의 흡광도; B, blank의 흡광도)
갈변 효소인 PPO 저해 활성은 50mM phosphate buffer (pH 6.5) 120μL와 PPO(500units/mg) 20μL을 혼합한 후 저해제를 10μL을 첨가하여 25°C로 조절된 항온수조에서 15분간 방치하고, 기질로서 4mM catechin과 L-DOPA 60μL를 각각 첨가한 후, Microplate reader(M2, Molecular Device, Canada)를 이용하여 각각 420nm, 475nm에서 5분간의 변화를 측정하였다. 효소의 활성능은 흡광도의 변화를 관찰한 후 curve의 직선부위로부터 계산하였으며 효소 저해활성은 흡광도 감소량(%)으로 나타내었다(Chang et al., 2011).
Inhibition of PPO activity(%) = [1- (A/B)] × 100 (A, sample의 흡광도; B, blank의 흡광도)
통계처리
본 실험에서 얻어진 결과는 SPSS 통계분석 프로그램(Version 12.0, SPSS Inc., Chicago, USA)을 이용하여 평균치와 표준오차를 산출하였으며, ANOVA 중 Duncan’s multiple range test 방법을 통하여 각 데이터 구간의 유의적인 차이를 분석하였다(p < 0.05).
결과 및 고찰
기체조성
양송이를 각 처리군별 4, 15°C에 저장하면서 포장 내부의 이산화탄소와 산소의 농도를 측정한 결과는 Fig. 1과 같다. 산소는 4, 15°C에서 저장한 모든 처리구가 저장 3일째 급격한 감소를 보였으며, 저장 3일 이후 거의 0%를 유지하였다. Choi and Kim(2003)의 연구에 의하면 느타리버섯은 저장 온도에 따라 포장재 내부의 산소함량의 차이가 없었고, 저장 하루 만에 산소함량이 급격히 낮아졌다. 이는 버섯 특성상 빠른 호흡속도에 의한 것으로 보고되었으며 본 결과와 유사하였다. 이산화탄소는 저장기간이 경과함에 따라 증가하였다가 다소 감소하는 경향을 보였으나 15°C에 비해 4°C에서는 감소의 폭이 좁았다. 이러한 결과는 신선편이 가공 양송이(Lim et al., 2006)와 느타리버섯(Choi and Kim, 2003)의 MA 저장 시 나타난 결과와 유사하였다. 이산화탄소는 저장 3일째 약 20%까지 모든 처리구에서 증가하였으며 4°C에서는 18-21%, 15°C에서는 22-24%로 15°C에서 저장한 양송이의 이산화탄소 함량이 더 높았다. 이는 Kader and Morris (1977)의 연구결과에서 보고된 바와 같이 저온에서 저장했을 때 양송이의 호흡률이 감소한 것으로 사료된다. 갈변저해제의 처리에 따라 이산화탄소의 농도에 차이가 나타났으며 15°C에서 저장 3일 이후 저장 9일째까지 DW 처리구와 RB + AA 처리구를 제외하고 점차 감소하는 경향을 나타내었다. 저장 3일 이후 이산화탄소의 농도는 DW 처리구에서 가장 높게 유지되었으며, 저장 9일째 DW > RB > RB + AA > AA > 무처리구 순으로 이산화탄소의 함량이 높았다. 4°C에서 RB + AA 처리구를 제외한 나머지 처리구에서 저장 3일까지 증가한 이산화탄소의 농도가 감소하였다가 저장 12일에 다시 증가하는 경향을 보였으며, 저장 12일째 DW 처리구가 20.9%로 가장 높았으며, RB + AA 처리구가 18.9%로 가장 낮았다. 전반적으로 DW 처리구의 호흡이 다른 처리구에 비해 빨리 진행된 것으로 나타났으며 RB + AA 처리구의 경우 저장 중 양송이의 호흡을 다소 지연시키는 등의 긍정적인 영향을 미친 것으로 보이며 천연갈변저해제에 따른 양송이의 호흡률 조절에 대한 추후 연구가 필요하다 사료된다.
경도
경도의 경우, 저장기간이 경과함에 따라 저장온도에 상관없이 모든 처리구에서 경도가 감소하는 경향을 보였다(Fig. 2). 15°C에서 저장한 경우, 저장 3일째 DW 처리구의 경도가 급격하게 감소하여 14.58N으로 가장 낮았으며, AA 처리구의 경도는 18.09N으로 가장 높게 유지되었다. 무처리구의 경우 저장 9일째 급격히 감소하여 가장 낮았으며, AA 처리구가 가장 높은 값을 유지하였다. 4°C의 경우, 저장 3일 째 무처리구는 15.22N으로 가장 낮았으며 RB + AA 처리구가 19.69N으로 가장 높았다. 저장 12일째 RB + AA > RB > DW > AA > 무처리구 순으로 경도가 높게 유지되었다. 쌀겨추출물과 ascorbic acid를 병용으로 양송이에 처리한 후 저온에서 저장했을 때 쌀겨추출물을 단독으로 처리하는 것보다 경도를 유지하는데 효과적인 것으로 사료된다. Han et al.(1992)은 저장기간이 경과함에 따라 버섯의 호흡으로 일어나는 이화작용에 의하여 버섯의 조직이 연화된다고 보고하였다. 따라서 DW 처리구의 경도가 급격히 감소한 이유는 양송이의 호흡에 따라 포장 내 CO2 함량이 높아졌기 때문이며 이는 Fig. 1에서 확인한 바와 같이 RB + AA를 처리한 양송이의 경우 4, 15°C에서 저장 3일 이후 CO2 함량의 변화가 크지 않았으므로 저장 중 경도변화가 다른 처리구에 비해 크지 않았던 것으로 사료된다.
표면색 변화
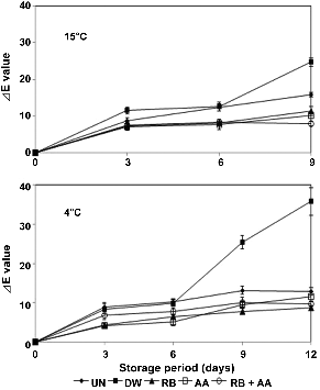
양송이 표면의 변색은 저장 중 양송이의 품질을 평가하는 주요 인자이며(Kim et al., 2007), 저장온도에 상관없이 저장 기간이 경과함에 따라 L값은 모든 처리구에서 점차 감소하는 경향을 보였으며(Fig. 3), ΔE값은 점차 증가하는 경향을 보였다(Fig. 4).
L값의 경우, 15°C에서는 다른 처리구에 비해 RB + AA 처리구가 저장기간 동안 85.07-89.65로 가장 높게 유지되었다. DW 처리구는 저장기간 동안 가장 낮은 값을 나타냈으며, 특히 저장 6일 이후 L값이 급격하게 감소하였다. 또한, 4°C에서 저장하였을 때는 저장 6일까지 AA 처리구가 가장 높은 값을 유지하였으며 저장 12일째 RB + AA 처리구가 82.73으로 가장 높은 값을 유지하였으며, DW 처리구의 L값은 저장 9일 이후 급격히 감소하여 12일째 54.89로 가장 낮은 값을 나타냈다. 신선한 버섯의 L값은 85.5-90.0정도로 나타나며, 저장기간 동안 버섯의 L값이 80 이상일 경우 안정적인 버섯의 품질로 판단할 수 있는 근거가 된다고 보고되고 있다(Lopez-Briones et al., 1992). 본 연구결과에 따라 4, 15°C에서 저장하였을 때 저장 후기에 RB, AA 및 RB + AA를 처리한 양송이의 경우 80 이상의 값을 유지하면서 외관상 품질이 유지되는 것으로 확인되었다.
ΔE값의 경우, 15°C에서 저장 9일 후 DW 처리구(24.70)에서 가장 높았으며 RB + AA 처리구(7.60)가 가장 낮은 값을 유지하였다. 4°C에서 저장한 경우 또한 DW 처리구의 ΔE값이 저장기간 동안 가장 높았으며, 저장 12일째 DW(35.80) > 무처리구(12.95) > AA(11.56) > RB + AA(9.77) > RB(8.66) 순으로 RB 처리구에서 색 변화가 가장 적었다.
양송이의 외관변화는 Fig. 5와 같으며 저장기간에 따른 L값 및 ΔE값의 변화와 마찬가지로 15°C에서 저장한 9일째 RB + AA 처리구, 4°C에서 저장한 12일째 RB 처리구와 RB + AA 처리구에서 갈변이 가장 저해된 것으로 나타났다. 양송이의 표면색 변화는 페놀화합물의 산화를 촉진하는 효소에 의해 발생하는 효소적 갈변으로(Qui et al., 2009), Ryu et al.(2003)의 결과에서 ascorbic acid가 갈변을 저해하는데 효과적이었고, Sukhonthara and Theerakulkait(2012)의 연구에서도 ascorbic acid와 쌀겨추출물의 병용처리가 양송이의 갈변원인물질로 알려진 tyrosinase를 저해하는 효과가 있다고 확인되었다. 본 연구에서도 쌀겨추출물 및 ascorbic acid를 병용처리 했을 때 전반적으로 양송이의 색변화가 억제되었는데 이는 쌀겨추출물 단독처리 및 ascorbic acid와 병용처리한 양송이에서 tyrosinase 활성이 저해된 것으로 사료된다.
관능평가
쌀겨추출물 및 ascorbic acid를 적용한 양송이의 색, 갓개열, 향, 조직감 및 전반적인 기호도에 따른 관능평가 결과를 저장온도에 따라 각 Table 1과 Table 2에 나타내었다. Table 1은 15°C에서 9일간 저장했을 때의 결과로 양송이 표면색의 경우 저장 3일째 무처리구와 DW 처리구는 3.00과 3.36으로 가장 낮았고, RB 처리구의 값이 6.45로 유의적으로 가장 높았다. 저장 9일째 RB 처리구와 RB + AA 처리구의 표면색이 각 4.89와 4.11로 다른 처리구에 비해 유의적으로 높은 값을 유지하였으며 이는 색도 및 외관 변화의 결과와 유사하였다. 갓개열 정도는 처리구별 큰 차이 없이 저장기간에 따라 전반적으로 감소하였으며 처리구별 유의적인 차이는 없었다. 향은 DW 처리구에서 저장 3일 후 3점 이하로 떨어지며 이취가 발생하였고, 다른 처리구에 비해 유의적으로 가장 낮은 값을 유지했다. 조직감에 있어서 DW 처리구를 제외한 나머지 처리구는 저장기간 동안 높은 점수를 유지했으나 DW 처리구는 저장 3일 이후부터 무르기 시작하였다. 이는 경도를 측정한 결과와 유사하였다. 전반적인 기호도에 있어서 저장 6일 후 RB 처리구가 5.55로 양송이의 저장 중 품질변화 억제에 가장 효과적인 양상을 나타내었으며, 그 외의 처리구는 5점 이하로 상품성을 소실하였다. 따라서 쌀겨추출물을 적용하는 것이 양송이의 저장 중 품질유지에 효과적이라고 판단된다. Table 2는 4°C에서 12일간 저장한 양송이의 관능평가 결과로 색변화에 있어서 저장 9일째 RB + AA 처리구(5.89)외의 모든 처리구가 5점 이하의 값을 나타내었다. 저장 12일째 무처리구는 초기 값에 비해 크게 감소하여 1.70으로 가장 낮은 값을 나타냈으며 RB 및 RB + AA 처리구가 4.80으로 유의적으로 가장 높은 값을 나타냈는데 이는 색도 및 외관 변화를 관찰한 결과와 유사하였다. 갓개열은 15°C에서 저장했을 때와 마찬가지로 저장기간 및 처리구별 유의적인 차가 없었다. 향은 저장 9일째 RB + AA 처리구를 제외한 모든 처리구에서 5점 이하로 나타났으며 12일 째 RB + AA 처리구는 4.50으로 유의적으로 높은 값을 유지하였으나 AA 처리구는 2.40으로 가장 낮은 값을 나타냈다. 이는 쌀겨추출물과 ascorbic acid를 병용처리했을 경우 이취발생을 효과적으로 저해할 수 있다고 사료된다. 조직감에 있어서 저장기간 동안 처리구별 유의적은 차는 없었다. 전반적인 기호도에 있어서 저장 9일째 RB + AA 처리구가 가장 높은 값(5.89)을 나타냈으며 저장 12일째 관능평가 값은 모두 5점 이하로 상품성을 손실하였지만 그 중 RB + AA 처리구가 4.80으로 가장 높은 값을 유지하였다. 쌀겨추출물과 ascorbic acid를 단독 및 병용처리한 후 저장 중의 품질변화를 관찰한 결과 4°C에서 저장한 경우 기체조성, 경도, 색변화 및 관능평가에서 RB 처리구 및 RB + AA 처리구가 효과적인 것으로 나타났으며, 15°C에서 저장한 경우 색변화와 관능평가 등에서 RB 처리구 및 RB + AA 처리구가 효과적이었다. 따라서 본 연구에서는 양송이의 저장 중 갈변방지 등의 품질유지를 위해 적용한 쌀겨추출물에 대하여 항산화 및 항갈변 효과를 확인함으로써 품질유지에 효과적인 결과를 뒷받침하고자 하였다.
추출물의 항산화 및 항갈변 효과
양송이의 갈변은 효소적 갈변으로 구리를 함유한 효소인 PPO에 의해 양송이 조직 내의 phenolic compound가 효소적으로 산화되어 melanin과 같은 갈변물질을 생성하면서 발생한다(Soliva-Fortuny and Martin-Belloso., 2003). 이러한 효소적 갈변을 저해하기 위해 항산화제, 환원제, 효소저해제, 킬레이트제 등의 갈변저해 물질이 사용되고 있으며(Rico et al., 2007) 본 연구에서 천연갈변저해제로 사용한 쌀겨추출물에 대하여 총 폴리페놀 및 총 플라보노이드 함량을 조사하고, 쌀겨추출물과 ascorbic acid의 항산화 활성 및 항갈변 효과가 있는지 확인하였다.
그 결과, 쌀겨추출물 0.25%에 들어 있는 총 폴리페놀 함량은 36.42 ± 2.86mg GAE・g-1, 총 플라보노이드 함량은 4.85 ± 0.48mg QE・g-1으로 나타났다(Table 3). 이는 Jo and Choi (2010)의 연구결과에서 쌀겨추출물의 총 폴리페놀 함량이 52.28mg GAE・100g-1으로 나타난 것에 비해 높은 수치로 나타났으며, Lee et al.(2013)의 연구결과에서 추출온도에 따라서 쌀겨추출물의 총 폴리페놀 함량이 총 플라보노이드 높게 나타났으며, 이는 본 연구의 결과와 유사하였다.
Badria and elGayyar(2001)의 연구결과에 의하면 Kaempferol, quercetin 및 morin과 같은 플라보노이드의
-keto group이 L-DOPA의 dihydroxyphenyl group과 비슷한 구조를 가지고 있기 때문에 tyrosinase 저해효과가 나타난다고 하였다. 즉, 양송이에 쌀겨추출물을 적용하여 저장한 경우 쌀겨추출물의 폴리페놀 및 플라보노이드가 tyrosinase의 활성을 저해하여 품질유지에 효과적이었던 것으로 사료된다.
쌀겨추출물의 항산화활성으로 DPPH와 ABTS 라디칼 소거능을 측정하였으며 Table 4에 나타내었다. 쌀겨추출물의 DPPH 라디칼 소거능은 83.73 ± 2.18%로 ascorbic acid의 87.06 ± 0.38%와 유사한 값을 나타내며 높은 항산화활성을 나타냈으며, ABTS 라디칼 소거능은 쌀겨추출물이 73.21 ± 2.64%, ascorbic acid는 95.90 ± 0.05%로 나타났다. 이는 총 폴리페놀 및 플라보노이드 등과 항산화 활성 간의 상관관계에 대해 연구한 Seo et al.(2008) 및 Choi et al.(2007)의 결과와 같이 쌀겨추출물에 다량 함유되어있는 폴리페놀 및 플라보노이드의 영향으로 높은 항산화 활성을 나타내는 것으로 사료된다. 항산화 활성이 뛰어난 ascorbic acid 등의 천연유래물질은 효소적 갈변과정에서 생성되는 o-dopaquinon의 활성을 직접적으로 방해하여 효소적 갈변을 저해한다(Kim and Uyama, 2005). 따라서 항산화 활성에서 천연유래물질과 유사한 값을 보인 천연소재의 쌀겨추출물도 효과적으로 효소적 갈변을 저해할 수 있다고 사료된다.
구리(Cu2+) 킬레이팅 활성의 경우, 쌀겨추출물(43.35 ± 1.56%)이 ascorbic acid(28.61 ± 0.50%)보다 높은 활성을 보였다(Table 4). Kubo et al.(2000)에 의하면 3-hydroxy-4-keto 성분을 함유하고 있는 kaempferol 및 quercetin은 tyrosinase의 활성부위에 위치한 구리이온을 킬레이트하여 tyrosinase를 불활성화시켜 갈변을 저해한다고 보고하였다. 즉, 쌀겨추출물에 다량 함유된 플라보노이드 성분에 의해 구리 킬레이팅 활성이 높은 것으로 사료된다.
PPO 저해활성은 Table 4와 같으며, 쌀겨추출물은 1.48 ± 2.43%으로 83.17 ± 2.46%인 ascorbic acid의 저해활성에 비해 현저히 낮았다. 이는 쌀겨추출물에 함유되어 있는 catechin과 같은 플라보노이드가 PPO 효소활성 과정에서 기질로 작용하였기 때문이라 사료된다(Oh et al., 2010).
갈변저해제로 사용한 쌀겨추출물의 항산화 활성 및 항갈변 효과를 확인한 결과, 쌀겨추출물은 천연갈변저해제로서 효과적이며, 이를 단독 또는 ascorbic acid와 병용처리하여 양송이에 적용한 후 저장 중 품질변화를 확인한 결과 쌀겨추출물은 갈변저해제로서 양송이의 저장 중 품질유지에 효과적이었다.







-cyano-4- hydroxycinnamic acid on the activity of mushroom tyrosinase. Food Chem. 112:609-613.