서 언
국내 재배면적의 80% 이상을 점유하는 ‘설향’ 딸기는 대부분 촉성재배 방법으로 재배된다. 충남 논산 지역의 경우 모주 재배 용 베드에 상토를 충전한 후 3월 중ㆍ하순에 모주를 정식하여 런너 및 자묘의 발생을 유도하고, 일정 크기로 생장한 자묘를 모 주로부터 분리하여 개별 식물체로 육성한 후9, 월 중순경 본 포장에 정식한다 .
대부분 딸기 재배 농가는 관수 또는 관비 시 지하수를 이용하는데, 화학적 완충력이 낮은 혼합상토에서 관개수의 수질이 모 주 생육과 자묘의 발생 및 생장에 큰 영향을 미친다. 관개수의 질을 판단하는 여러 항목 중 중탄산은 적절한 농도 범위일 때 물 의 화학적 완충력을 높여 근권부의 급격한 pH 변화를 방지한다. 그러나 중탄산 농도가 20-30mgㆍL-1으로 너무 낮을 경우 관 개수의 완충력이 낮아져 근권부의 pH가 비료 조성에 쉽게 영향을 받고 급변하는 원인이 되며, 보편적으로 근권부 pH가 낮아 져 작물에 Ca 및 Mg 결핍 증상이 발생하는 원인이 된다.
그러나 관개수의 중탄산 농도가 100mgㆍL-1이상으로 과도하게 높으면 근권부의 pH 상승의 원인이 되는데, pH가 상승하면 Fe, Mn, Zn, Cu 및 B 등 미량원소와 인산이 불용화되어 식물체가 흡수할 양이 감소하고 식물체에 이들 원소의 결핍증상이 발 현되고 생장이 저조해 진다(Hanan, 1998; Nelson, 2003). 따라서 중탄산 농도가 높을 경우 이를 제거한 후 작물 재배에 이용해 야 하며, 가장 보편적인 방법이 질산, 인산 및 황산 등 산을 혼합하는 방법이지만 위험성과 번거로움이 문제가 된다(Nelson, 2003; Styer and Koranski, 1997).
피트모스는 국내ㆍ외 에서 혼합상토 구성 재료로 가장 많이 이용된다. 원산지나 종류에 따라 차이가 있지만 pH가 3.5-4.5 범 위에 포함되는 강산성 물질이며, 보편적으로 상토 조제과정에서 고토석회를 혼합하여 pH를 교정한 후 작물 재배에 이용한다 (Choi et al., 2009; Nelson, 2003). 중탄산에 의한 문제의 핵심은 근권부 토양용액의 pH 상승이며, 강산성인 혼합상토를 조제하 고 관개수 중탄산에 의한 pH 상승 폭 만큼 조제과정에서 혼합되는 고토석회의 시비량을 줄일 경우 근권부 pH를 적절한 범위 로 조절하고 유지하는 것이 가능할 것으로 예상하였다.
따라서 관개수에 함유될 수 있는 중탄산 피해경감을 위해 산성 혼합상토를 조제하고, pH 조절을 위해 기비로 혼합되는 고 토석회 시비수준이 영양번식 중인 ‘설향’ 딸기의 모주와 자묘의 생육, 무기물 함량 및 근권부 화학성 변화에 미치는 영향을 구 명하고자 본 연구를 수행하였다.
재료 및 방법
‘설향’ 딸기를 대상으로 충남대학교에 있는 유리온실에서 본 연구를 수행하였다. 실험을 위해 피트모스(Shinsung Mineral Co., Ltd., Korea)와 수피(Keumjeongwon Co., Ltd., Korea)를 5:5(v/v)로 혼합한 상토를 조제하였으며, 조제 후 분석한 혼합상 토의 화학적 특성은 다음과 같았다: pH 4.07, EC 0.46dSㆍm-1, CEC 91.3cmol+ / kg-1. 이후 pH 조절을 위해 기비로 처리되는 고토석회[CaMg(CO3)2]를 0(무시용), 1, 2, 3 및 4gㆍL-1의 5처리를 둔 후 베드에 충전하였다
본엽이 3매인 ‘설향’ 딸기 유묘를 충남농업기술원 논산딸기시험장에서 확보한 후 뿌리 부분을 수세하고 베드에 정식하였다. 정식 후 비료를 포함하지 않은 지하수를 2주간 관수하여 식물체 내의 무기원소 함량을 최저 수준으로 낮추었다. 지하수의 화학 적 특성은 다음과 같았다: pH 6.7, EC 0.23dS·m-1, HCO3 - 90mgㆍL-1, 무기이온 농도(mg·L-1) NO3-N 10.2, Na 11.8, K 0.5, Ca 22.8, Mg 2.2 및 SO4 12.6.
정식 2주 후 신엽 3매만 남긴 채 식물체의 하위엽을 모두 제거하고 배양액을 공급하기 시작하였다. 중탄산은 KHCO3를 이 용하여 농도를 240mg·L-1으로 조절하였고, 변형된 Hoagland 용액(Jones, 2005)으로 배양액을 조제하였으며, 관수가 필요한 시 점에 조제된 양액을 공급하였다. 조성된 처리용액은 EC를 0.6-0.7dS·m-1로 조절하여 점적호스로 공급하였으며, 기상환경 조 건에 따라 타이머로 급액 횟수와 급액량을 조절하였다. 배양액을 관주할 때 배수율(leaching percentage)을 20-30%로 유지하 여 무기염의 상토 내 집적을 방지하였다
실험기간 중 온실의 평균 온도는 주간 26℃, 야간 16℃였고, 상대습도 30-70%, 광도 330-370μmolㆍm-2ㆍs-1, 그리고 평균 일장은 약 15h/d였다.
정식 140일 후 모주와 자묘의 생장을 조사하였다. 모주의 조사 항목은 초장, 초폭, 엽장, 엽폭, 엽수, 엽록소함량, 관부직경, 지 상부 생체중 및 건물중이었다. 관부직경은 지제부 상단1 cm를 측정하였고, 지상부 생체중을 측정한 후8 0℃ 건조기에서 48시 간 건조하여 건물중을 측정하였다. 엽록소 함량은 가장 최근에 완전히 전개된 잎 (3번째 신엽)을 엽록소 측정계(Model SPAD- 502, Minolta, Japan)를 사용하여 측정하였다. 모주로부터 발생한 런너의 길이와 개수를 조사하였으며, 런너에 착생한 자묘는 첫 번째와 두 번째 묘의 생체중과 건물중을 조사하여 비교하였다.
근권부 화학성을 분석하기 위하여 관비 후 2시간이 지난 다음 상토 시료를 채취하였다. 포화추출법(Warncke, 1986)으로 상 토를 추출한 용액의 pH와 EC를 측정(WM-22EP, TOA, Japan)한 뒤, 0.01N 황산으로 pH가 4.5에 도달할 때까지 적정하였고, 소요된 황산 용액에 중탄산 상수인 6.1을 곱하여 중탄산 농도(mg·L-1)를 구하였다(Styer and Koranski, 1997). 미생물에 의한 용 액 내 NH4의 산화를 방지하기 위하여 포화된 phenyl mercuric acetate(1g/18mL)를 2-3방울 첨가하였고, Ion chromatography (883 Basic IC plus, Metrohm, Switzerland)를 사용하여 K, Ca, Mg, NO3, PO4 및 SO4 등 무기원소 농도를 분석하였다.
정식 140일 후 수확한 지상부 식물체의 무기원소 함량을 분석하였다. 식물체는 수확 후 0.01N HCl 용액에 1분간 침지하고 다시 증류수로 수세하여 이물질을 제거하였으며, 80℃의 건조기에서 48시간 건조시킨 후 분쇄하여 무기원소 함량 분석에 이 용하였다.
분쇄된 시료의 전질소(T-N) 함량은 Kjeldahl 방법(Eastin, 1978)으로 분석하였다. 그리고 K, Ca, Mg, Fe, Mn, Zn 및 Cu 함 량을 분석하기 위해 500℃의 회화로에 시료를 건식회화시키고, 0.5N HCl 용액으로 회화된 시료를 포집하였다. 이들 원소는 원 자 흡광분석계(AA-7000, Shimadzu, Japan)로 분석하였으며, 포집된 용액의 인산함량을 Carter(1993)의 방법을 따라 분광광 도계(UV MINI-1240, Shimadzu, Japan)로 분석하였다.
본 연구는 완전임의배치법 5반복(각 반복당 4식물체)으로 수행하였고, 생육 및 식물체내 무기물 함량의 분석 결과는 Duncan 의 다중검정으로 처리구간 차이를 비교하였다. 통계분석은 CoStat 프로그램 Ver. 6.3(CoHort Software, CA, USA)으로 수행 하였다.
결과 및 고찰
피트모스와 수피를 5:5(v/v)로 혼합하여 산성(pH 4.07)을 띠는 혼합상토에 기비로 혼합되는 고토석회의 시비수준을 달리하 여 ‘설향’ 딸기를 재배하면서 모주 생육에 미치는 영향을 정식 140일 후 조사하여 Table 1에 나타내었다. 초장은 고토석회 2gㆍL-1 처리구에서 가장 컸고, 0(무처리), 3 및 4gㆍL-1 처리구에서 유의하게 작았다. 엽병장 및 엽록소 함량은 고토석회 2gㆍL-1 처리구 에서 가장 길거나 많았다. 엽록소 함량의 경우 고토석회 2gㆍL-1 처리구에 비해 4gㆍL-1 처리구가 유의하게 낮았는데, 이는 고토 석회 시비량이 증가하여 pH가 상승하였고(Fig. 3), pH 상승으로 인한 식물체 내 Mg 및 Fe의 함량이 감소(Table 3) (Lindsay, 2001)하였기 때문이라고 판단하였다. Marschner(2012)는 식물체 내 엽록소 생합성이 Mg-chelatase에 의해 촉진되며, Mg 함량이 높 을 때 이 효소의 활성도가 증가한다고 하여 Mg 함량이 엽록소 생합성에 영향을 미침을 보고하였다. 그는 Fe의 경우 식물 세포에 서 엽록소의 수를 증가시키지 않지만, 엽록체의 크기와 엽록체 내의 단백질 함량을 증가시킨다고 하여 Fe와 엽록소와의 관계를 설명하였다. 그의 보고 내용을 고려할 때 4gㆍL-1 처리구에서 엽록소 함량이 낮아진 것을 이해할 수 있다. 생체중은 2gㆍL-1 처리 구에서 117.8g으로 가장 무거웠고, 1, 3, 0 및 4gㆍL-1 처리구 순으로 가벼웠으며, 건물중도 생체중과 유사한 경향을 보였다
고토석회 시비량에 따른 ‘설향’ 딸기의 자묘 생육은 Table 2와 같다. 모주로부터 발생한 런너의 길이는 고토석회 2gㆍL-1 처 리구에서 가장 길었고 1, 3, 0 및 4gㆍL-1 처리구 순으로 짧아졌으며 런너수도 유사한 경향을 보였다. 자묘의 생체중은 2gㆍL-1 처리구에서 가장 무거웠고 4gㆍL-1 처리구에서 유의하게 가벼웠다.
이상과 같이 기비로 혼합되는 고토석회의 시비수준을 0 또는 4gㆍL-1으로 조절한 처리에서 모주 생육 및 자묘 발생이 저조하 였던 것은 근권부의 pH 상승(Fig. 3)과 이에 따른 개별 원소 농도의 변화(Fig. 4)에서 원인을 찾을 수 있다. 고토석회는 CaMg(CO3)2의 구조를 갖고 있으며(Lim, 2005), 토양에 시비되어 토양수에 용해되면 Ca2+, Mg2+ 및 CO32- 로 변화되며, Ca2+과 Mg2+은 필수원소로써 식물체에 흡수되고 CO32-는 토양의 H+와 반응하여 pH를 상승시키는 역할을 한다(2 H+ + CO32- = H2O + CO2) (Styer and Koranski, 1997). 그러므로 0gㆍL-1 처리는 고토석회가 시비되지 않아 Ca2+과 Mg2+의 공급이 부족하였고, pH 가 낮게 유지되어 생육이 저조하였다고 판단한다. 또한 4gㆍL-1 처리는 고토석회의 용해를 통해 발생된 CO32-가 토양 pH를 과 도하게 상승시켜 Fe, Mn, Zn, Cu 및 P 결핍을 초래하여 생육이 저조하였다고 생각하였다. 이와 같은 결과의 판단은 중탄산 또 는 탄산에 의한 근권부 pH 상승에 관한 Lindsay(2001) 및 Sposito(1994)의 보고와 pH 변화에 따른 무기원소 흡수량 차이에 관 한 Hanan(1998) 및 Nelson(2003)의 보고 내용을 고려할 때 쉽게 이해할 수 있다.
‘설향’ 딸기 모주의 지상부 생장 및 생리장해 증상은 Fig. 1과 같다. 고토석회 1, 2 및 3gㆍL-1 처리구는 모주에 생리장해 증상 이 발현되지 않았고 정상적인 생육을 하였다. 그러나 0 및 4g·L-1처리구에서는 노엽의 가장자리부터 안쪽으로 황화되는 증상이 확산되었을 뿐만 아니라 초장 및 엽수 등 전체적인 생육이 저조하였다. 4gㆍL-1 처리구에서 발생한 증상을 Choi et al.(2010)이 보고한 내용과 비교할 때 근권부 pH의 과도한 상승이 원인이 된 N, P, K 및 Mg 등의 흡수량 저하에 따라 발생한 증상들이 복 합적으로 나타난 결과라고 판단하였다. Nelson (2003)도 상기 다량원소의 흡수량이 저하될 때 노엽에서 결핍증상이 나타난다 고 하였으며, Table 3에 나타낸 모주의 무기원소 분석 결과에서도 4gㆍL-1 처리구에서 상기한 네 종류 무기원소 함량이 고토석 회 1 또는 2gㆍL-1 처리구 보다 유의하게 낮아 이 같은 판단을 뒷받침하였다 .
‘설향’ 딸기 자묘의 지상부 생장 및 생리장해 증상은 Fig. 2와 같다. 고토석회 1, 2 및 3gㆍL-1 처리구의 생육이 우수하였으며, 0 및 4gㆍL-1 처리구에서는 저조하였다. 모주로부터 발생한 런너를 절단하기 전까지는 모주의 영양 상태에 따라 자묘의 영양 및 생장이 심하게 영향을 받으며, 이는 앞에서 언급한 것과 동일한 원인에 의해 발생한 결과라고 생각한 다.
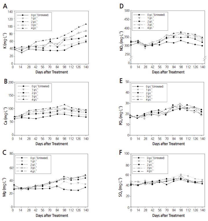
고토석회 시비수준을 달리한 피트모스 + 수피 (5:5, v/v) 혼합상토에서 모주를 재배하면서 근권부의 중탄산 농도와 pH 변화 를 분석하여 Fig. 3에 나타내었다. 고토석회 4gㆍL-1 처리구는 시간이 지날수록 중탄산 농도가 급격하게 상승하였다. 고토석회 3 및 4g·L-1 처리구에서 pH와 HCO3- 농도의 급격한 변화가 발생한 것은 토양 용액에 존재하던 활산성과 혼합상토의 양이온 교환부위에 흡착되어 있던 잠산성이 6주까지 모두 소진되고, 6주 이후에는 HCO3 -를 중화시킬 H+가 더 이상 혼합상토에 존재하지 못하였으며, 이로 인해 근권부의 HCO3 - 농도와 pH가 상승한 원인이 되었다고 판단한다.
혼합상토를 이용한 작물 재배에서 적절한 pH 범위는 5.6-6.2로 알려져 있으며(Hanan, 1998; Nelson, 2003) 관개수의 수질 이 큰 문제가 없을 경우 피트모스 + 수피(5:5, 최초 pH 4.07) 상토에 기비로 혼합되는 고토석회의 양을 1L당 5.0-6.0g으로 조절 하여야 한다(Choi et al., 2009; Sonneveld and Voogt, 2009). 그러나 본 연구에서 관비용액의 중탄산 농도가 240mgㆍL-1로 과 도하게 높았으며, 고토석회 3 및 4gㆍL-1처리의 근권부 pH가 지속적으로 상승하여 Nelson(2003)이 제시한 적정 범위 보다 높게 형 성되었다. 그러나 1 및 2gㆍL-1 처리에서는 pH가 적절한 범위에 포함되었고 Table 1에 나타낸 바와 같이 작물 생육도 우수하였다.
‘설향’ 딸기 모주를 재배하면서 근권부 무기원소 농도를 분석하여 Fig. 4에 나타내었다. 정식 후 시간이 경과할수록 K+ 및 Mg2+ 농도가 완만하게 상승하였으며, 근권부의 K+ 농도도 고토석회의 시비수준이 높아질수록 뚜렷하게 처리간 차이를 보이 며 높아졌다. 고토석회의 시비수준이 높은 처리에서 근권부의 Ca2+ 농도도 높았으며, 모든 처리의 Ca2+ 농도가 정식 98일 후까 지 상승하다가 이후 완만하게 낮아졌다. 고토석회 시비수준이 높아짐에 따라 근권부의 K+ 농도가 높아진 것은 혼합상토의 양 이온교환부위와 흡수과정에서의 길항작용에 기인한 결과라고 생각한다. Bunt(1988)는 생석회나 고토석회 등의 시비량이 증 가할 때 상토의 양이온교환부위에 흡착되어 있던 K+이 석회물질로부터 이온화된 Ca2+에 의해 탈착되고, 대신 Ca2+이 흡착된다 고 하였다. 또한, Nelson(2003)은 양이온 간 흡수과정에서 길항작용이 발생하여 석회물질의 시비량 증가로 Ca2+ 흡수량이 증 가하면 다른 양이온인 K+ 등의 흡수량이 저하된다고 하였다. 본 연구에서도 고토석회의 시비수준이 높아질수록 근권부의 K+ 농도가 높아졌지만, 식물체가 흡수한 K+ 양은 감소하여 양이온교환부위에서 탈착된 것과 흡수과정에서의 길항 작용이 근권부 의 K+ 농도가 높아진 원인이 되었다고 생각한다. 고토석회 시비수준이 높은 처리에서 근권부의 Ca2+ 및 Mg2+ 농도가 높았던 것 은 고토석회에 포함된 Ca 및 Mg이 이온화되어 농도를 높였다고 생각하였다
고토석회의 시비수준이 높을수록 근권부의 NO3- 농도는 높아지는 경향이었고, PO33-와 SO42- 농도는 낮아지는 경향이었다. NO3- 농도가 높아진 것은 혼합상토의 음이온교환부위에서 NO3-와 OH-가 경합하고 OH- 농도가 높아질수록 흡착되지 못한 NO3-의 양이 증가하여 토양 용액 내 농도가 높아진 원인이 되었다고 생각하며 Nelson(2003)과 Lindsay(2001)도 유사한 보고 를 한 바 있다. 그러나 고토석회 시비수준이 높아질수록 PO43-와 SO42- 농도가 낮아진 것은 고토석회로 부터 용해되어 이온화 된 Ca2+ 또는 Mg2+이 PO43- 및 SO42-와 결합하여 불용성의 Ca3(PO4)2, Ca4(HPO4)3, MgHPO4, 및 CaSO4 등으로 변화된 것이 원 인이라고 판단되었다(Lindsay, 2001; Sposito, 1994).
고토석회 시비수준을 달리한 피트모스 + 수피(5:5, v/v) 혼합상토에서 ‘설향’ 딸기의 지상부 무기원소 함량을 Table 3에 나타 내었다. 모주의 T-N, P, K, Ca 및 Mg 함량은 고토석회 1 및 2gㆍL-1 처리구에서 가장 많았고, 4g·L-1 처리구에서 가장 적었다. 미량원소인 Fe, Mn, Zn 및 Cu의 식물체 내 함량은 고토석회 2gㆍL-1 > 1gㆍL-1 > 3gㆍL-1 > 0gㆍL-1 > 4gㆍL-1 처리구 순으로 낮았 다. 근권부 pH가 가장 높았던 고토석회 4gㆍL-1 처리구에서 미량원소 함량이 가장 낮았던 것은 근권부의 pH 상승과 이에 따른 금속 미량원소의 불용화가 원인이라고 판단한다(Lindsay, 2001; Nelson, 2003; Sposito, 1994). 그러나 고토석회를 시비하지 않았던 0gㆍL-1처리구의 미량원소 함량이 낮았던 것은 토양 용액 내 pH가 적정 범위보다 낮아 낮은 pH 조건에서 금속원소의 활성도가 높아져, 인산과 결합하여 불용화된 금속원소의 양이 증가했기 때문이라고 생각한다. Choi and Lee(2012)는 관비 용액 의 인산 농도가 높아질 경우 미량 금속원소와 결합하여 이들을 불용화시키고 식물체내 함량이 낮아져 결핍증상이 유발된다고하였는데, 본 연구의 고토석회 무처리구에서 미량원소 함량이 낮아진 것을 뒷받침하고 있다
이상의 결과를 종합할 때 고농도 중탄산 농도에서 피트모스 + 수피(5:5, v/v) 혼합상토에 ‘설향’ 딸기를 수경재배하기 위해서 는 고토석회를 2gㆍL-1 수준으로 기비로 혼합하는 것이 바람직하다고 판단하였다.









