서 언
석탄을 주원료로 사용하는 화력발전소에서 부산물로 대량 발생되는 석탄재(coal combustion products)는 대부분 방치되고 있으며, 국내 전력생산 중 화력발전이 차지하는 비율이 높아질수록 그 방출량도 지속적으로 증가되고, 환경오염을 심화시킬 것으로 예상된다(Kim et al., 2010). 미국에서는 2007년에 생산된 석탄재 부산물이 약 1.3억톤이며 그 중 약 7천톤이 활용되지 못하였다(Bardhan et al., 2009). 최근 환경보전을 위한 친환경적 기술 개발의 사회적 요구도가 증가하는 추세이며, 화력발전의 부산물인 석탄재 역시 도로건설 자재(Bruder-Hubscher et al., 2001)나 성토재료(Taerakul et al., 2002) 등으로 재사용하기 위한 연구가 수행되었다.
석탄재 부산물을 집진하는 위치에 따라 비회(fly ash)와 저회(bottom ash)로 분류한다(Schlossberg and Miller, 2004). 비회는 시멘트와 물리적 성질이 비슷한 가루 상태의 미립자이며, 저회는 직경 1mm 이상의 과립형태로 토양의 pH를 높여주고 투수성을 증진시키는 토양개량 용도로 사용 가능하다고 알려져 있다(Cary et al., 1983). 저회는 모래에 비해 밀도가 낮아 운송하는 데 더 용이하며 혼합상토의 공극률과 기상률을 높이기 위해 상토 재료로 사용하는 펄라이트, 버미큘라이트, 또는 모래에 비해 가격이 낮아 생산비용이 절감된다는 장점이 있다(Schlossberg and Miller, 2004). 수태, 왕겨 및 바크 등 유기물질을 장기간 식물재배에 사용했을 때 부식이 되어 배지의 물리성과 화학성 변화가 크지만(Jackson et al., 2008; Jackson et al., 2009; Evans et al., 2011), 저회는 무기질로써 장기간 사용하여도 배지의 물리, 화학성을 크게 변화시키지 않는 장점이 있다. 이를 반영하듯 장미재배에 저회와 바크를 혼합한 배지의 이용(Butler and Bearce, 1995), 저회와 pine wood를 혼합하여 초화류용 배지로의 이용(Woodard et al., 1993; Pitchay and Bearce, 1996b), 그리고 저회를 포인세티아(Myers and Bearce, 1993; Engstrom et al., 1994; Pitchay and Bearce, 1996a)와 수국(Pitchay et al., 1996; Pitchay et al., 1998)의 재배용 배지로 활용한 연구결과가 보고된 바 있다.
기존의 연구들은 저회를 혼합상토 구성재료로 이용하였을 때 식물의 생육 반응을 조사하기 위해 수행하였으나 저회 및 저회 혼합상토의 물리성 및 화학성 변화에 대하여 심도 있는 연구가 수행되지 않았다. Richards et al.(1986)은 갈탄(brown coal)의 물리성에 대한 연구 결과를 보고한 바 있으나, 갈탄은 석탄재 부산물이 아닌 석탄 원재료에 가까워 저회와 그 물리·화학적 특성이 다르다. Bearce(1998)는 저회가 배지의 pH와 EC를 높이고 액상률 및 기상률을 낮춰준다고 보고하였으나 구체적인 수치를 찾아보기 어려웠다. 국내에서도 석탄재의 강도 특성에 대한 연구가 진행되었으나 건설 재료로서의 물리성 강도에 대한 것으로(Shin et al., 2007), 식물재배를 위한 배지의 물리성을 대변해 주지는 못했다. 식물재배 상토로서의 이용 가능성을 검토하기 위해 석탄재의 물리성 구명 연구가 진행되었으나 저회 또는 비회의 단용 배지만을 사용하여 기상률이 높은 반면 액상률이 낮아 일반 작물재배 배지로 적합하지 않다는 한계가 있었다(Li et al., 2000; Kim et al., 2001; Li et al., 2001a, b). 따라서 석탄재를 단용으로 조성한 배지보다는 일반 재배에 사용되는 기존 상토에 혼합하여 활용하는 접근이 필요하다고 판단된다. 이상과 같은 배경 하에 현재 재배 농가에서 널리 사용하는 coir dust(코이어)와 저회를 다양한 비율로 혼합하였을 때 변화된 배지의 물리성 및 화학성을 구명함으로써 식물재배 배지로서 저회의 활용 가능성을 제시하고자 본 연구를 수행하였다.
재료 및 방법
저회 혼합상토 재료
㈜한국중부발전에서 공급받은 저회를 입자의 크기에 따라 2 종류로 분류하였다. 입경이 5mm 이상 되는 굵은 입자 저회(coarse bottom ash; CBA)와 입경이 5mm 이하인 고운 입자 저회(fine bottom ash; FBA)로 나누어 각각 실험을 진행하였다. 코이어는 스리랑카에서 완숙 후 수입한 제품(Natural Peat, EF Top, Yongin, Korea)을 실험재료로 사용하였다.
코이어와 두 종류 저회를 부피 비율 10:0, 9:1, 8:2, 7:3, 6:4, 5:5, 0:10(coir dust:bottom ash)로 혼합한 후 상토의 물리성 및 화학성을 측정 및 분석하였다. 본 실험에 사용한 혼합상토의 활용 가능성을 비교하기 위하여 현재 시판되고 있는 원예용 상토(Baroker, Seoul Bio Co. Ltd., Eumseong, Korea)와 육묘용 상토(BM2; Berger Peat moss, Saint-Modeste, QC, Canada)의 물리성 및 화학성을 함께 조사하였다.
저회 혼합상토의 물리성 분석
저회 혼합상토의 입도분포를 알아보기 위하여 코이어와 저회가 다양한 비율로 혼합된 각종 혼합상토들을 105°C의 건조기에서 24시간 건조시킨 후 100g씩 정량하여 분석에 이용하였으며, 미국 표준규격(ASTM)에 맞추어 사용된 체(sieve; 5.6, 2.8, 1.4, 0.71, 0.355, 0.15, 0.106mm)를 이용하여 sieve shaker로 30분간 자동 shake 한 후 각 sieve의 남은 시료의 중량을 측정하여 전체 시료의 백분율로 분석하였다.
저회 혼합상토의 용기용수량(container capacity), 기상률(air space), 총 공극률(total porosity) 및 용적밀도(bulk density)을 측정하기 위하여 미국 North Carolina State University에서 개발한 NCSU Porometer를 이용하였다. Bilderback et al.(1982)의 방법에 의해 목표 용적밀도(mass wetness)가 되도록 상토를 알루미늄 실린더에 충전한 다음 저면 관수 방법에 의하여 상토의 모든 공극을 증류수로 포화시키고 수면이 상토의 표면과 일치한 후 15분 기다렸다가 배수하여 배수된 분량을 측정하였다.
코이어와 고운 입자 저회(FBA) 혼합상토의 수분보유곡선(retention curve)을 조사하기 위하여 sand box(Model pF 0-2.0, Eijekelkamp Agrisearch Equipment, Giesbeek, the Netherlands)를 사용하여 pF 0-2.0 사이의 용적수분함량을 6단계로 나누어 측정하였으며, 상토가 보유할 수 있는 수분 중 식물이 쉽게 흡수할 수 있는 가용수분(pF 1.0-1.7, easily available water, EAW)과 완충수분(pF 1.7-2.0, water buffering capacity, WBC)의 비율을 조사하였다. 실험을 위해 알루미늄 실린더 코어 안에 혼합상토를 충전하고 증류수로 포화시켜 시료를 준비하였으며, 수주 높이를 0, 5, 10, 30, 50, 100cm의 압력으로 조절한 뒤 평형상태가 이루어진 다음 무게를 측정하여 용적수분함량(VWC, volumetric water content)를 계산하였으며, 이를 통한 EAW와 WBC의 비율을 Milks et al.(1989)과 Wallach et al.(1992)의 방법을 따라 계산하였다.
토양의 화학성 분석
물리성 분석과 마찬가지로 굵은 입자와 고운 입자의 저회와 코이어를 비율별로 섞은 혼합 상토를 대상으로 pH 및 전기전도도(EC: electrical conductivity)를 측정하였으며, 측정방법은 Warncke(1986)의 포화추출법(saturated paste method)을 따라 3반복으로 측정하였다.
코이어와 저회 첨가 비율에 따른 혼합 상토의 무기 성분 분석을 위하여, 농촌진흥청의 농업과학기술 연구조사분석기준 방법을 따랐다(RDA, 2012). Kjeldahl 장치를 이용하여 암모니아태질소 및 총질소(T-N)을 분석하였으며, Tyurin 법에 따라 적정을 하여 총유기물 함량을 분석하였다. 유효인산은 분광광도계(UV spectrophotometer)를 이용하여 Lancaster 방식으로 분석하였으며, 치환성 양이온(K, Ca, Mg과 Na)의 경우는 ICP-OES(730 Seires, Inductively Coupled Plasma-Optical Emission Spectrometer, Agilent, USA)를 이용하여 Brown법으로 분석하였다. 고운 입자 저회를 첨가한 혼합상토 내의 9가지 중금속 오염물질 [비소(As), 카드뮴(Cd), 수은(Hg), 납(Pb), 6가 크롬(Cr6+), 크롬(Cr), 구리(Cu), 니켈(Ni), 아연(Zn)] 측정을 위하여 토양오염 공정시험법에 따라 중금속 함량을 분석하였다.
결과 및 고찰
저회 혼합상토의 물리성 측정
입도분포
코이어와 저회의 혼합비율에 따른 혼합상토의 물리성 변화를 알아보기 위하여 sieve shaker를 이용하여 상토 입도분포를 알아본 결과, 코이어 100% 상토의 경우 입도분포가 비교적 고르게 분포하는 것으로 나타났으나, 굵은 입자 저회의 첨가 비율이 증가할수록 710µm 미만 입자의 비율은 감소하고 1.4-5.6mm 크기의 큰 입자가 상대적으로 증가하였다(Fig. 1). 혼합상토에 첨가되는 저회의 입자크기에 따라서도 혼합상토의 입도분포의 변화가 다르게 나타나, 고운 입자의 저회 첨가 비율이 증가할수록 굵은 입자 저회 혼합 상토의 결과와는 상반되게 작은 입자(<106µm)의 비율이 높아졌으며, 상대적으로 710µm 이상 입자의 비율은 코이어 함량이 증가함에 따라 증가하는 경향이었다(Fig. 2). 일반적으로 상토에 입자 크기가 작은 입도의 분포가 높을 경우 공극률 감소로 인한 통기성 불량으로 작물생육이 억제되는 문제점이 많이 발생하며(Bunt, 1988), 이와 반대로 상토 내 큰 입자의 점유 비율이 높아지면 수분 보유능력이 떨어지며(Olszewski and Eisenman, 2017) 관수횟수를 늘려야 하기 때문에 각 작물의 생육 특성에 맞는 상토를 혼합 제조하는 것이 필요하다. 입도분포의 결과를 보았을 때 굵은 입자 저회를 10% 첨가한 코이어 혼합상토가 기존 원예용 상토(Baroker)의 입도분포와 비슷한 양상을 보였으며(Fig. 1), 고운 입자 저회를 10% 첨가한 코이어 혼합상토는 육묘용 상토(BM2)의 입도분포와 비슷한 것으로 나타나(Fig. 2) 용도에 따라 저회의 입자 크기를 선택하여 사용할 수 있을 것으로 판단되었다.

Fig. 1 Particle size distribution in various ratios of coir dust to coarse bottom ash (CBA, particle size ≥ 5 mm) (v/v), and commercial substrate mix (Baroker, Seoul Bio Co. Ltd., Eumseong, Korea). The volume of each fraction used was based on the average weight determined by sieving the ingredients.

Fig. 2 Particle size distribution in various ratios of coir dust to fine bottom ash (FBA, particle size ‹5 mm) (v/v), and commercial germination substrate mix (BM2; Berger Peat moss, Saint-Modeste, QC, Canada). The volume of each fraction used was based on the average weight determined by sieving the ingredients.
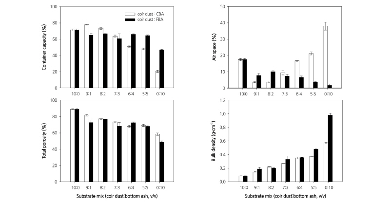
용기용수량, 기상률, 총공극률, 용적밀도
굵은 입자 저회가 첨가된 상토의 용기용수량, 기상률, 총공극률, 용적밀도를 비교하면, 코이어와 굵은 입자 저회 혼합상토에서 굵은 입자 저회의 비율이 높아질수록 상토가 수분을 보유할 수 있는 용기용수량이 감소하였으나, 반대로 기상률은 높아지는 경향이었다(Fig. 3). 총공극률은 굵은 입자 저회의 첨가 비율이 높아질수록 감소하였다. 국내에서 사용되고 있는 원예용 상토는 기상률이 12% 내외이며(Choi et al., 2009), 코이어와 굵은 입자 저회의 혼합상토는 coir dust:CBA 7:3의 비율이 이와 비슷한 기상률을 지니고 있는 것으로 나타났다. 용적밀도의 경우 석탄재 자체의 비중은 0.57g·cm-3으로 높은데, 비슷한 크기의 펄라이트(용적밀도 약 0.14g·cm-3)에 비하여 4배가량 더 무거운 것으로 나타나(Choi et al., 2009), 높은 기상률과 함께 식물체 근권부의 고정을 위하여 상토의 적정 비중을 요구하는 상토의 경우 굵은 입자의 저회 이용이 가능할 것으로 판단되었다.
굵은 입자 저회 첨가 혼합상토와 마찬가지로 고운 입자 저회의 첨가 비율이 높아질수록 용기용수량과 총공극률이 감소하였다(Fig. 3). 하지만 기상률의 경우 고운 입자 저회의 첨가율이 증가할수록 낮아지는 경향을 나타내 굵은 입자 저회 혼합상토와는 상반된 결과를 나타냈다. 국내 상토는 기상률에 관한 규정이 없으나, 일반적으로 15% 이상을 원예상토 기상률 범위로 규정하는 일본의 기준에 의하면 고운 입자 저회가 10%만 섞이게 되더라도 기상률이 급격히 저하되는 결과가 초래된다(Choi et al., 2009). 따라서 고운 입자 저회를 혼합하여 상토로 이용하기 위해서는 기상률이 높은 다른 상토 재료를 혼합하는 것이 필요할 것으로 판단된다. 용적밀도의 경우 고운 입자 저회 자체의 비중이 1.0g·cm-3에 가깝게 높게 나타나 무게를 요구하는 상토의 경우 이용이 가능할 것으로 본다.
수분보유곡선
고운 입자 저회 100%의 최대 수분보유량, 즉 pF값이 0이었을 때 수분보유량이 약 32.5%(v/v)로 매우 적게 나타났으며, 실제로 이용될 수 있는 수분(pF 1.0-2.0)은 2% 미만으로 매우 적었다(Fig. 4). 일반적으로 육묘용 배지의 경우 상토의 수분보유력이 높은 피트모스(peatmoss) 위주의 상토를 사용해 오고 있으나, 본 실험에서 나타난 고운 입자의 저회는 10% 수준의 적은 혼합비율에서도 급격하게 수분보유력이 떨어지는 것으로 나타나, 실제 육묘시에 수분 공급에 대한 고려가 필요할 것으로 판단된다. 또한 일반적인 상토의 가용수분(EAW) 범위가 27-37%이며, 완충수분(WBC)은 7-10%임을 고려할 때(Choi et al., 2009), 저회 첨가로 인한 가용수분 및 완충수분이 일반 상토 기준에 못 미치는 것으로 나타났다(Fig. 5). 따라서 석탄재 저회는 충분한 기상률을 요구하는 식물의 생육을 증진하는 데 사용하는 것이 적합하다고 판단된다. 사질 토양에서 재배하는 블루베리의 경우 점질 양토에서 재배하였을 때 식물 생장과 과실의 수확량이 줄었으나, 석탄재와 부숙토를 혼합한 상토를 사용했을 때 관행재배보다 수확량이 비슷하거나 증가하는 긍정적인 결과가 보고되었으며(Black and Zimmerman, 2002), 석탄재 저회와 비회를 적절하게 혼합한 토양에서 잔디의 바이오매스가 증가한다는 보고도 있었다(Schlossberg and Miller, 2004). 하지만 석탄재를 필요 이상으로 첨가했을 때 용기용수량이 줄어들어 관수 및 관비 횟수를 늘려야 하므로 재배하는 작물에 적합한 저회의 혼합비율을 결정하는 것이 중요하다(Butler and Bearce, 1995).
화학성 측정
pH와 EC
굵은 입자의 저회 100%의 경우 pH가 9.69로 매우 높아 일반적인 상토로 사용하는 데에는 어려움이 있을 것으로 판단되며(Table 1), 기존 연구(Schlossberg and Miller, 2004)에서도 비슷한 보고가 있었다. 그러나 일반적으로 사용되고 있는 입경 5mm의 펄라이트의 경우에도 단용으로 사용하기 보다 피트모스나 코이어와 혼합하여 pH를 적정 수치로 유지하는 것처럼 저회도 혼합상토의 첨가 재료로 활용이 가능하다고 판단된다. 본 실험에서 사용된 코이어는 pH 4.99의 산성을 나타냈으며, 코이어와 혼합시 저회의 첨가 비율이 높아질수록 pH가 조금씩 증가하는 양상을 보였다(Table 1). 고운 입자 저회의 경우, 저회 자체 100%의 pH는 굵은 입자 저회에 비해 낮게 나타났으나, 코이어와 혼합 시 pH는 굵은 입자 저회에 비해 훨씬 더 높게 증가되는 경향을 나타냈다. 굵은 입자 저회는 산성을 좋아하는 식물의 상토로 혼합 이용이 가능하리라 판단되며, 고운 입자 저회는 pH가 급격히 상승하므로, 약산성이나 알칼리성을 좋아하는 화훼작물을 재배할 때 pH 증진에 이용이 가능할 것으로 판단된다. 일반적으로 시판되고 있는 원예 상토의 경우 pH 범위가 5-6 정도임을 감안할 때, 고운 입자 저회의 경우 혼합상토로 사용 시 acid drench 등을 통한 pH 조절이 필요할 것으로 판단되었다.
EC에 있어서, 굵은 입자 저회 100%는 전기전도도(EC)가 매우 낮으나(0.07dS·m-1), 고운 입자 저회는 높은 EC(5.35dS·m-1)를 지니고 있어, 고운 입자 저회를 혼합 시 혼합비가 증가함에 따라 EC가 증가하는 경향을 나타내었다(Table 1). 그러나 원예상토의 EC 규격 범위 안에 있는 바, EC에서는 크게 문제가 없을 것으로 판단되나, EC를 구성하고 있는 성분 분석을 통하여 어떤 성분들에 의해 EC가 높아지는지에 대한 해석이 필요할 것으로 판단되었다.
무기원소 및 중금속
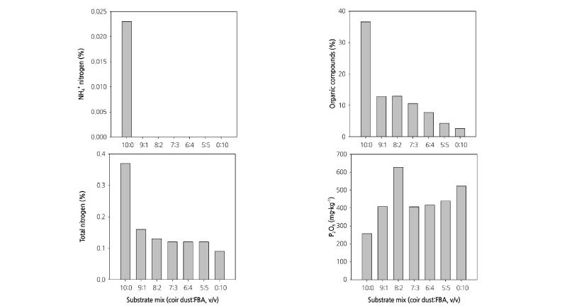
고운 입자 저회 첨가 비율별 암모니아태질소 성분은 코이어 100%에서만 미량으로(0.023%) 검출되었으며, 나머지 저회와의 혼합상토에서는 검출되지 않았다(Fig. 6). 상토 내의 암모니아태질소는 작물이 이용할 수 있는 질산태질소로 변환하여 흡수될 수 있는 질소로서 토양에 흡착되는 성분이나, 본 실험에 사용된 저회에는 본 성분이 검출되지 않았다. 그러나 다른 형태의 질소가 존재하여 총질소(T-N) 함량은 저회 첨가비율이 높아짐에 따라 감소하였다. 상토 내 유기물 함량 또한 저회 첨가비율이 높아짐에 따라 감소하는 경향을 나타내었으나, 저회의 유효인산 성분은 저회의 자체 인산 성분이 코이어 100%보다 높아 저회 첨가비율이 높아짐에 따라 유효인산 성분이 증가하는 경향을 보였다.
저회 첨가 혼합상토의 혼합비율별 치환성 양이온(K, Ca, Na과 Mg)을 분석한 결과, 다량원소로 이용될 수 있는 K는 저회의 첨가비율이 증가함에 따라 농도가 급격히 줄어드는 것으로 나타났다(Fig. 7). 일반적으로 K는 결핍 시 잎의 황백화 현상 및 식물 생육의 저하를 초래하나(Wang, 2007) 영양생장보다는 생식생장에 더 많은 영향을 미치게 되므로, 육묘용 상토로의 이용에 있어서는 큰 문제가 없을 것으로 판단된다. 하지만 장기간 생육을 고려하였을 때에는 K 결핍이 문제가 될 것으로 생각된다. Ca은 저회 첨가 비율이 증가함에 따라 그 농도가 증가하는 경향을 보였으며, Mg은 저회가 10-40% 첨가되었을 때에 코이어 100%의 3배 정도의 함량을 보였으나 저회 50, 100%의 경우에서는 코이어 100%의 함량보다 낮은 수치를 나타내었다. 저회 첨가 혼합 배지의 Na 함량은, 저회 10%의 함량만으로도 코이어 100%의 Na 함량의 3배 가량 증가함을 나타내어, 위에서 기술한 저회 첨가 시 높아진 EC 값에 Na 함량이 많은 영향을 미친 것으로 판단된다. 기존의 연구에서도 석탄재 상토가 암면(rockwool)보다 Ca과 Mg을 많이 함유하고 있다고 보고되었다(Woodard et al., 1993).
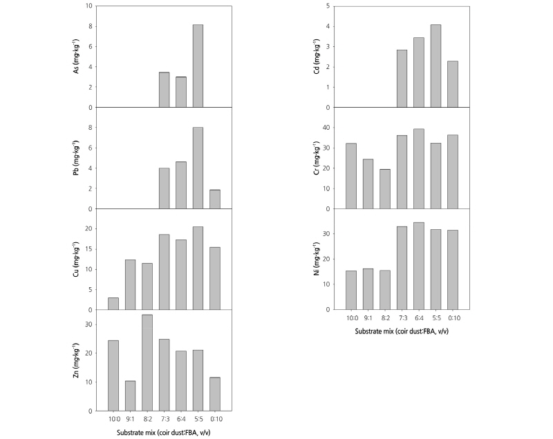
고운 입자 저회의 원예용 상토 이용 상 제한적인 요소로 작용할 수 있는 중금속 오염물질 함량을 알아보기 위하여 코이어와 저회 혼합비율에 따른 9가지 중금속 물질, 즉 비소(As), 카드뮴(Cd), 수은(Hg), 납(Pb), 6가 크롬(Cr6+), 크롬(Cr), 구리(Cu), 니켈(Ni)과 아연(Zn)의 함량을 측정하였다. 중독의 위험이 있는 수은과 독성이 강한 6가 크롬은 모든 혼합상토 및 100% 저회에서도 검출이 되지 않았다(Fig. 8). 동물에게 독성을 보여 살충제로도 이용되던 비소의 함량은 저회 30, 40, 50% 혼합상토에서 일부 검출되었으나 50% 혼합상토에서 기준치인 6mg·kg-1 이상이 나와 상토의 이용이 부적합 할 것으로 판단된다. 식물에 의해 흡수 및 축적률이 높은 카드뮴은 이따이이따이병 발병이 가능한 중금속으로 토양오염우려 기준으로는 4mg·kg-1이지만 농촌진흥청의 상토 규정에는 1.5mg·kg-1 이하로 되어 있다(RDA, 2013). 저회 혼합 상토에 있어서 10-20% 혼합한 상토는 검출이 되지 않았으나 30-50% 저회 혼합 상토에서는 기준치 이상의 카드뮴이 검출되어 상토 규격에 알맞지 않는 것으로 나타났다. 납 성분 역시 30-50% 저회 혼합 상토에서 검출이 되었으나, 기준치 이하로 나타났으며, 나머지 크롬, 구리, 니켈, 아연 등은 모든 코이어 100%를 포함한 모든 혼합상토에서 검출이 되었으나, 상토 규격 상한선 보다 낮은 수치를 나타냈다. 이를 통해, 저회를 혼합 상토로 이용할 시 30% 이상 혼합하게 될 경우 비소, 카드뮴의 함량이 상토 규격 기준에 맞지 않아 실제로 상토로 이용하긴 어려울 것으로 판단되며, 이로 인해 20% 이하의 저회 혼합 배지가 중금속 유해물질의 위험이 없는 화훼용 배지로 이용할 수 있을 것으로 확인되었다.









