Introduction
Materials and Methods
Plant Material and Treatments
Measurement of Onion Bulb Quality
Statistical Analysis
Results
Discussion
Introduction
The recommended amount of commercial and conventional fertilizer for onion (Allium cepa L.) cultivation is 52.2, 38.5, and 25.6 kg/10a of urea, fused phosphate, and potassium chloride, respectively (RDA, 2018). In general, fertilizer application is divided into basal and additional fertilization according to the season of input. Just before the transplantation of onion seedlings, the recommended application amount of basal fertilizer is 17.4, 38.5, and 15.2 kg/10a for urea, fused phosphate, and potassium chloride, respectively (RDA, 2018). Furthermore, in winter, the recommended amount of additional fertilizer, applied twice, is 17.4 and 5.2 kg/10a for urea and potassium chloride, respectively (RDA, 2018). Typically, additional fertilizers are applied around the middle of February and March, although the application season differs depending on the cultivation region and cultivar (RDA, 2018). During fertilization, nitrogen and potassium, but not phosphate, are incorporated as additional fertilizers. In a previous study, phosphate fertilization did not affect onion bulb yield or total yield (Boyhan et al., 2007). In another study, the strength of phosphate fertilization did not affect bulb and foliage weight, soluble solids content (SSC), stand reduction rate, and marketable yield of onions (Lee et al., 2011). Regardless of the consistently recommended application levels of basal and additional fertilizers for onion, growers tend to use far greater amounts to increase bulb yield, marketable yield, and bulb size at harvest. Specifically, the increase in nitrogen fertilization strengths, which were from 0 kg·ha-1 to 240 kg·ha-1, quadratically increased onion bulb fresh weight (Stone, 2000), leaf length, leaf number, field stand rate, neck diameter, marketable yield (Gebretsadik and Dechassa, 2018), total yield, and bulb size (Boyhan et al., 2007). However, marketable onion yield did not respond proportionally to the increase in the strength of nitrogen fertilization (Shock et al., 2004). Furthermore, onion cultivars responded differently to the strength of nitrogen fertilization in terms of marketable yield and total yield (Díaz-Pérez et al., 2003). In detail, bulb quality characteristics including fresh bulb weight, bulb height and diameter, dry matter and so on were highly fluctuated by onion cultivars at harvest (Lee et al., 2020). Meanwhile, potassium fertilization linearly affected plant growth characteristics, including plant height, leaf number, leaf length, bulb length, bulb diameter, and mean bulb weight (Bekele, 2018). According to individual fertilizer sources, bulb weight was affected by nitrogen and potassium fertilization but not by phosphate fertilization (Lee et al., 2011). In contrast, the sources and application strengths of phosphate and potassium fertilization did not affect SSC, stand reduction, and marketable yield, while nitrogen fertilization affected growth parameters differently depending on the application rate (Lee et al., 2011). Bulb diameter, bulb height, and bulb fresh weight were also affected by soil moisture and temperature and thus the marketable yield was influenced consequently (Lee et al., 2019). In addition, the application strengths of organic fertilizer, based on compost and mixed oilseed cake application, increased onion bulb fresh weight and then contributed to enhancing the marketable yield (Lee et al., 2018).
Meanwhile, higher fertilizer application strengths affect bulb quality after harvest and during storage. In addition, higher nitrogen application strength increased the incidence of bulb decay, regardless of the onion cultivar (Díaz-Pérez et al., 2003). Conversely, higher potassium fertilization strengths reduced the rot rate and sprout percentage in onion bulbs stored at ambient temperature and relative humidity (Bekele, 2018). Moreover, the increase in the nitrogen fertilization strength significantly affected bulb weight and water loss rate during short-term cold storage but not during long-term cold storage (Díaz-Pérez et al., 2018a). Furthermore, different strengths of nitrogen–phosphate–potassium fertilization did not affect the weight loss rate during long-term storage under ambient conditions (Tinna et al., 2020).
To this end, we tried to test the hypothesis that the additional fertilization application time and strength would highly impact on the physiological performance of onion bulbs and storability during storage at ambient temperature and relative humidity. Therefore, the present study evaluated the effects of the application time and strength of additional fertilizer on onion bulb physiological responses at harvest and quality parameters during storage under ambient temperature and relative humidity.
Materials and Methods
Plant Material and Treatments
The seeds of onion cultivar ‘Ace Gold’ were obtained from Monsanto Korea, Inc. (Seoul, Korea). The seeds were sown in a 447-cell plug plastic tray, which was 15 mm × 26 mm × 13 mm (Jukam M&C, Goheung, Jeollanam-do, Republic of Korea) filled with horticultural potting mixture soil, in which was consisted of 59.26%, 20%, and 20% for peatmoss, perlite, and cocopeat, respectively (Bioplug, Heungnong Seeds Co., Pyeongtaek, Republic of Korea) on September 5, 2018. One seed per cell plug was sown and covered with the potting mixture soil. After 60 days of growth, the onion seedlings were transplanted in an open field (12.5 × 25 cm) (RDA, 2019) located at Montan-myeon, Muan-gun, Jeollanam-do, Republic of Korea (34°57'41.9"N 126°30'40.8"E). The onion field management protocols for irrigation and pest control followed the onion standard cultivation manual (RDA, 2019). Each plot measured 1.2 × 2.0 m, and the onion field was covered with a black plastic mulching film.
Urea (NPKO®, 46% a.i., Pungnong Co., Seoul, Republic of Korea) and potassium chloride (Potash salt, 60% a.i., FarmHannong Co., Seoul, Republic of Korea) were used as the nitrogen and potassium fertilizer sources. According to the onion cultivation standard fertilizer manuals, 20.75, 41.5, 62.25, or 83.0 g of urea and 9.36, 18.72, 28.08, or 37.44 g of potassium chloride per 2.4 m2 were added to achieve the 0.5-, 1-, 1.5-, or 2-fold application rates over the recommended level of additional nitrogen and potassium fertilizers (RDA, 2019). To evaluate the effects of the application times of additional fertilizers, 41.5 and 18.7 g of urea and potassium chloride per 2.4 m2 were added once, two times, or three times on March 22, April 5, and April 22, 2019, respectively. Subsequently, all onions were harvested on June 13, 2019, immediately transferred to the Laboratory of Vegetable Science, Department of Horticultural Science, Mokpo National University, Muan, Jeollanam-do, Republic of Korea, and left for 7 days for natural healing of the onion bulbs. Then, some onion bulbs were used for the measurement of quality attributes for up to 80 days, and the remaining were stored for measuring bulb weight loss and decay incidence and severity up to 120 days.
Measurement of Onion Bulb Quality
The total onion bulb number per plot was counted and then converted to count per unit area (a, 100 m2). The total onion bulb yield was converted to kg FW per 100 m2. Based on onion bulb fresh weight (FW), bulb size was divided into three categories: <100 g FW, 100–200 g FW, and >200 g FW.
The soluble solids content (SSC) of juice extracted from a single wedge of each bulb (total 9 bulbs) was measured using a refractometer (PR-201a, Atago Co., Tokyo, Japan). Similarly, titratable acidity (TA) of the juice was measured through titration with 0.1 N NaOH up to 8.1 and calculated with citric acid (DL-15, Mettler Toledo Co., Zurich, Switzerland) by the method of Byeon and Lee (2020a). The SSC/TA ratio was calculated from the corresponding SSC and TA data. Bulb hardness was determined using the CT3TM Texture Analyzer (AMETEK® Brookfield Inc., Middleboro, MA, USA) at the equator region after peeling. Peel and core color variables [lightness (L*), chroma (C*), hue angle (h°), greenness to redness (a*), and blueness to yellowness (b*)] were determined using a chromameter (CR-200, Minolta Co., Tokyo, Japan) at the equator region of the peel and core tissue, with three readings per bulb, measured by the method of Byeon and Lee (2020b).
Onion bulb fresh weight loss was determined by subtracting the onion bulb fresh weight at harvest and that at any sampling time point during storage at ambient temperature and relative humidity (Seo et al., 2019). Bulb decay was subjectively evaluated based on the presence or absence of symptoms on peels. Based on the total number of decay bulbs, bulb decay incidence was calculated relative to the total number of all onion bulbs and then expressed as a percentage (%). Subsequently, based on the coverage of decay symptom relative to the area of the peel, the severity of decay was subjectively scored as follows: 0 = 0%, 1 = 1–10%, 2 = 11–25%, 3 = 26–50%, 4 =51–75%, and 5 =76–100% (Byeon and Lee, 2020a).
Statistical Analysis
For preharvest fertilizer application treatments, the experimental plots were arranged in a randomized complete block design (RCBD) with six replicates and three blocks. For postharvest fertilizer application treatments, the experimental plots were arranged in a completely randomized design (CRD) with three replicates. The postharvest bulb quality parameters were evaluated via nine replicates per treatment (n = 9), while onion bulb fresh weight loss and decay incidence and severity were evaluated using 40 replicates per treatment (n = 40). At harvest, one-way ANOVA (Version 9.3, SAS Institute Inc., Cary, NC, USA) was used to evaluate the effects of the application rates and times of additional fertilizer on each quality parameter. Subsequently, a mean difference test was used to determine the effects of the application rates and times of additional fertilizer on the corresponding bulb quality parameters. Duncan’s multiple range test was used for mean difference analysis at P = 0.05. During storage, two-way ANOVA was adopted to evaluate two main factors: the application rates or times of additional fertilizer and storage duration.
Results
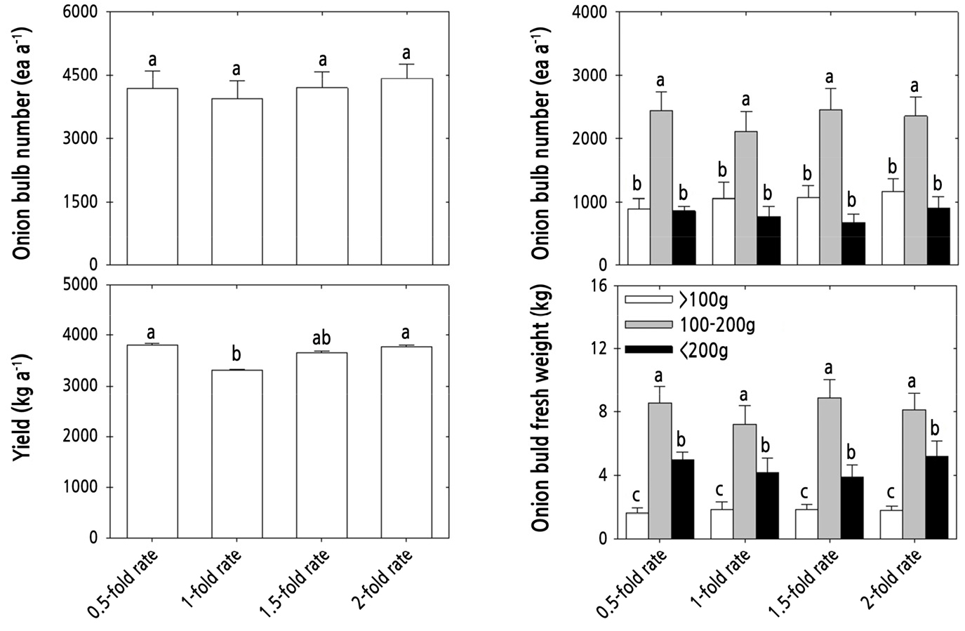
The application strengths of additional fertilizers did not affect onion bulb number at harvest but affected onion bulb yield (Fig. 1). Specifically, onion bulb yield was the highest at the 0.5- and 2-fold application strengths of additional fertilizers but the lowest at the 1-fold strength. Conversely, onion bulb number and fresh weight per size were not affected by the application strengths of additional fertilizer.

Fig. 1.
Bulb number, yield, and fresh weight distribution of ‘Ace Gold’ onion supplemented with 0.5-, 1-, 1.5-, or 2-fold of the recommended N and K additional fertilization levels on March 22, 2019, and harvested on June 13, 2019. Each datapoint indicates the mean of six replicates (n = 6) ± standard error. Different letters indicate significant difference among the fertilizer application rates (Duncan’s multiple rang test, p < 0.05).
At the 1.0-fold application strength of additional fertilizers, SSC gradually increased in the first half and then remained relatively stable during the second half of storage at ambient temperature and relative humidity compared with the results at the other application strengths (Fig. 2). At the 2.0-fold application strength of additional fertilizers, SSC gradually declined during storage, while at the 1.5-fold application strength of additional fertilizers, SSC showed fluctuations during storage. Furthermore, TA gradually increased after 60 days of storage but declined sharply at the end of storage under ambient conditions. Overall, the application strength of additional fertilizers did not affect TA response during storage under ambient conditions. The SSC/TA ratio during storage at ambient temperature was not affected by the application strength of additional fertilizers. Likewise, onion bulb hardness (or firmness) during storage at ambient temperature was unaffected by the application strength of additional fertilizers. As such, bulb hardness at harvest was the highest at the 2.0-fold application strength of additional fertilizers but the lowest at the 1.0-fold strength.

Fig. 2.
Bulb soluble solids content (SSC), titratable acidity (TA), SSC/TA ratio, and hardness of ‘Ace Gold’ onion supplemented with 0.5-, 1-, 1.5-, or 2-fold of the recommended N and K additional fertilization levels on March 22, 2019, harvested on June 13, 2019, and stored at ambient temperature and relative humidity for up to 80 days. Each data point indicates the mean of nine replicates (n = 9) ± standard error.
Peel L*, C*, and b* values gradually declined during storage at ambient temperature, irrespective of the application strength of additional fertilizer (Fig. 3). Peel h° slowly declined during the first half and then increased during the second half of storage. The h° values during storage were higher at the 1.5- and 2.0-fold application strengths of additional fertilizers than those at the 0.5- and 1.0-fold strengths, respectively. However, the peel a* values were inversely proportional to the h° values during storage at ambient temperature. The responses of the core tissue color variables during storage at ambient temperature were not affected by the application strengths of additional fertilizers. Nevertheless, the core L* values gradually declined during storage, regardless of the application strength of additional fertilizers, although the core C*, h°, a*, and b* values during storage were not strongly affected by the application strength of additional fertilizers.

Fig. 3.
Lightness (L*), chroma (C*), hue angle (ho), a* (greenness to redness), and b* (blueness to yellowness) of the peel and core tissues of ‘Ace Gold’ onion bulbs supplemented with 0.5-, 1-, 1.5-, or 2-fold of the recommended N and K additional fertilization levels on March 22, 2019, harvested on June 13, 2019, and then stored at ambient temperature and relative humidity for up to 80 days. Each data point indicates the mean of nine replicates (n = 9) ± standard error.
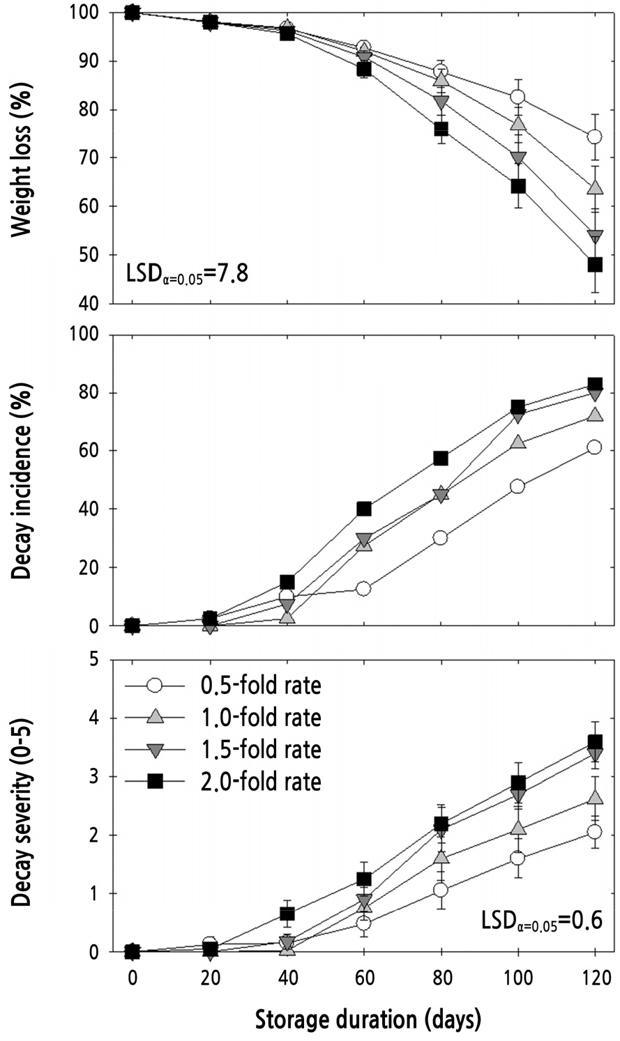
Onion bulb fresh weight loss gradually declined during storage at ambient temperature. Furthermore, weight loss at the end of the storage increased with an increase in the application strength of additional fertilizers (Fig. 4). In addition, bulb decay incidence and severity gradually increased during storage, with the highest decay severity during storage recorded at the highest application strength of additional fertilizers. Interestingly, bulb decay incidence and severity were the lowest at the 0.5-fold application strength of additional fertilizers.

Fig. 4.
Bulb fresh weight loss and decay incidence and severity in ‘Ace Gold’ onion supplemented with 0.5-, 1-, 1.5-, or 2-fold of the recommended N and K additional fertilization levels on March 22, 2019, harvested on June 13, 2019, and then stored at ambient temperature and relative humidity for up to 120 days. Each data point indicates the mean of 40 replicates (n = 40) ± standard error. The severity of bulb decay was subjectively scored based on the area of decay symptoms as 0 = 0%, 1 = 1–10%, 2 = 11–25%, 3 = 26–50%, 4 = 51–75%, and 5 = 76–100%.
Although onion bulb number at harvest was not affected by the application times of additional fertilizer, onion bulb yield gradually increased with an increase in the application times of additional fertilizer (Fig. 5). Regardless of the application times of additional fertilizers, onion bulb number was the highest in the 100–200 g FW category of bulb size and the lowest in the <100 g FW and >200 g FW categories. However, onion bulb fresh weight was not affected by the application times of additional fertilizers. Specifically, irrespective of the application times of additional fertilizers, onion bulb fresh weight was the highest in the 100–200 g FW category of bulb size and the lowest in the <100 g FW category. That is, although the onion bulb number was not different between <100 g FW and >200 g FW categories, onion bulb fresh weight was much higher in the >200 g FW category than in <100 g FW category. This difference should be derived from onion bulb fresh weight per individual onion bulb based on bulb size.

Fig. 5.
Bulb number, yield, and fresh weight distribution of ‘Ace Gold’ onion supplemented once, two times, or three times with the recommended N and K additional fertilization levels on March 22, April 5, and April 22, 2019, respectively, and then harvested on June 13, 2019. Each data point indicates the mean of six replicates (n = 6) ± standard error. Different letters indicate significant difference among the application times (Duncan’s multiple rang test, p < 0.05).
During the second half of storage at ambient temperature, SSC was higher when the additional fertilizers were applied once or three times than when they were applied two times (Fig. 6). Furthermore, the response of TA to the application times of additional fertilizers was not consistent during storage. The SSC/TA ratio was higher when the additional fertilizers were applied once or three times than when they were applied two times. When the additional fertilizers were applied twice or thrice, the SSC/TA ratio was lower during the middle of storage and then increased at the end of storage at ambient temperature. Bulb hardness during storage was higher when the additional fertilizers were applied once or three times than when they were applied two times, except for the results from 40 days of ambient storage.

Fig. 6.
Bulb soluble solids content (SSC), titratable acidity (TA), SSC/TA ratio, and hardness of ‘Ace Gold’ onion supplemented once, two times, or three times with the recommended N and K additional fertilization levels on March 22, April 5, and April 22, 2019, respectively; harvested on June 13, 2019; and then stored at ambient temperature and relative humidity for up to 80 days. Each data point indicates the mean of nine replicates (n = 9) ± standard error.
Peel L* at harvest was higher when the additional fertilizers were applied two or three times than when they were applied only once; however, the application times of additional fertilizers did not affect value at the middle of the storage (Fig. 7). However, the peel L* values were the highest when the additional fertilizers were applied three times and the lowest when they were applied two times. The peel C* values gradually declined during storage, regardless of the application times of additional fertilizers. Interestingly, the peel h° values were inversely correlated with the peel a* values during storage. The peel b* values slowly declined during storage, irrespective of the application times of additional fertilizers. Meanwhile, the core L* and h° values also gradually declined during storage. However, when the additional fertilizers were applied three times, the core L* values were the highest but the core h° values were lowest during storage. The core a* values slowly increased during storage and were higher when the additional fertilizers were applied three times than when they were applied once or two times. Conversely, the core C* and b* values remained unchanged during storage.

Fig. 7.
Lightness (L*), chroma (C*), hue angle (ho), a* (greenness to redness), and b* (blueness to yellowness) of the peel and core tissues of ‘Ace Gold’ onion supplemented once, two times, or three times with the recommended N and K additional fertilization levels on March 22, April 5, and April 22, 2019, respectively; harvested on June 13, 2019; and then stored at ambient temperature and relative humidity for up to 80 days. Each data point indicates the mean of nine replicates (n = 9) ± standard error.
Onion bulb fresh weight loss gradually declined during storage (Fig. 8). Furthermore, weight loss was the highest when the additional fertilizers were applied three times. Bulb decay incidence and severity slowly increased during storage, and the incidence and severity of bulb decay were the highest when the additional fertilizers were applied three times.

Fig. 8.
Bulb fresh weight loss and incidence and severity of decay in ‘Ace Gold’ onion supplemented once, two times, or three times with the recommended N and K additional fertilization levels on March 22, April 5, and April 22, 2019, respectively; harvested on June 13, 2019; and then stored at ambient temperature and relative humidity for up to 120 days. Each data point indicates the mean of 40 replicates (n = 40) ± standard error. The severity of decay was subjectively scored based on the area of decay symptoms as 0 = 0%, 1 = 1–10%, 2 = 11–25%, 3 = 26–50%, 4 = 51–75%, and 5 = 76–100%.
Discussion
Although the consensus strengths of basal and additional fertilizer application for onion production have been recommended (RDA, 2019), growers tend to use fertilizers more frequently and at greater amounts than the suggested values. In particular, additional soil fertilizer application is strongly preferred over foliar application following winter to promote further physiological growth in terms of bulb yield and marketable yield by increasing bulb fresh weight at harvest. However, unlike early season onion cultivars, late-season ones are subjected to relatively longer storage at lower temperatures for long-term storage rather than being distributed or retailed for fresh consumption immediately after harvest. Therefore, the present study evaluated the effects of additional fertilizer application strengths and times on the responses of physiological growth characteristics and postharvest quality attributes, such as weight loss and bulb decay incidence and severity during long-term storage under ambient conditions.
The application strengths of additional fertilizers did not affect onion bulb number and fresh weight; however, the total yield at harvest at the 0.5- and 2-fold application strengths was much higher than that at the other strengths (Fig. 1). During storage, bulb quality parameters, such as SSC, TA, hardness, and peel and core tissue color variables, were not affected by the application strengths of additional fertilizers (Figs. 2 and 3). In previous studies, the application strength of nitrogen fertilizer gradually increased the total bulb yield at harvest, but the non-marketable yield responded quadratically to fertilization (Díaz-Pérez et al., 2018a, 2018b). In contrast, at increased strengths of fertilizer application, bulb fresh and dry weight at harvest were not strongly affected (Stone, 2000; Shock et al., 2004). Furthermore, the application of potassium and sulfate fertilizers did not affect the marketable and total yield or bulb weight at harvest (Díaz-Pérez et al., 2016). Nonetheless, nitrogen, phosphate, potassium, and sulfate fertilization positively affected the physiological responses of plant height, bulb diameter, and bulb yield, albeit without significant differences among the application strengths of these fertilizers (Amin et al., 2007). In the present study, the application strengths of additional fertilizers did not affect SSC, TA, SSC/TA ratio, or bulb hardness. Although there were certain differences in the responses of physiological characteristics at harvest to the various strengths of additional fertilizer application, there were no clear patterns.
During storage, bulb quality parameters, such as SSC, TA, hardness, and peel and core tissue color variables, were not affected by the application rates of additional fertilizers (Figs. 2 and 3). In a previous study, the bulb sprout rate during storage was not affected by nitrogen–phosphate–potassium (Bekele et al., 2018) or nitrogen (Etana et al., 2019) fertilization. Meanwhile, bulb SSC during storage was differently affected by the strength of nitrogen fertilization, with yearly variations in the response of SSC to nitrogen fertilization (Díaz-Pérez et al., 2018a). Intriguingly, although the color variables during storage did not vary according to the various application strengths of additional fertilizers, these parameters differed between tissues during storage (Fig. 3). This result indicates that the responses of visual appearance to the application strengths of additional fertilizer may be relatively weakly affected during short-term storage (80 days) than during long-term storage; similar trends were observed for bulb weight loss and decay incidence and severity (Fig. 4). Specifically, the color responses of core tissues were much more stable than those of peel tissues, perhaps because the former is less affected than the latter during storage. Meanwhile, the higher strength of additional fertilizer application led to the greater loss of fresh weight (Fig. 4). In previous studies, the weight loss rate during storage increased with the increasing strength of nitrogen fertilization but fluctuated or decreased with the increase in the strength of phosphate and potassium fertilization (Bekele, 2018; Bekele et al., 2018). In contrast, the responses of weight loss during storage fluctuated with the application of organic fertilizers, such as chicken manure, as a source of nitrogen (Díaz-Pérez et al., 2018a). In the present study, bulb decay incidence and severity during storage were aggravated with the increase in the application strengths of additional fertilizer (Fig. 4). Likewise, in previous studies, bulb decay incidence increased with an increase in the strength of nitrogen fertilization (Bekele et al., 2018; Etana et al., 2019) but decreased with an increase in the strength of phosphate fertilization (Lee et al., 2011). These results suggest that additional nitrogen fertilizer application would promote bulb decay incidence and progression.
In addition to the application strengths, the application times of additional fertilizer play a profound role in producing onion bulbs of premium quality and prolonged storability. With the increase in the number of application cycles, bulb yield at harvest increased, although bulb number and fresh weight remained unchanged (Fig. 5). The application times of additional fertilizers did not affect the responses of SSC, TA, SSC/TA ratio, bulb hardness, and peel and core tissue color variables during storage (Figs. 6 and 7). In a previous study on ‘Hass’ avocado, an increase in the number of application cycles of nitrogen fertilizers affected total yield, commercially valuable fruit yield, and small fruit yield over 4 years (Salvo and Lovatt, 2016). In another study on tomato, however, plant traits, fruit yield, and fruit quality were affected by the types of fertilizer but not by their application times (Hasnain et al., 2020). Furthermore, cotton yield increased with an increase in nitrogen fertilization level, albeit not consistently with the application times of fertilizer (Setatou and Simonis, 1995). In the present study, during long-term storage, weight loss and decay severity and their incidence increased when the additional fertilizers were applied three times, compared with the values when they were applied only once or two times (Fig. 8). These results indicate that increase in the application times of additional fertilizers is essential to increase the yield of onion bulbs at harvest, although this practice is relatively less effective to produce onions for long-term storage considering the higher incidence and severity of bulb decay and weight loss with increase in the application times of additional fertilizer.
In conclusion, the increase in the application strengths and times of additional fertilizers enhanced the total yield and marketable yield of onion bulbs at harvest. Moreover, the majority of the bulb quality attributes during short-term storage were affected by neither the application strengths nor the application times of additional fertilizers; however, weight loss and decay incidence and severity during long-term storage worsened proportionally with the increase in the application strengths and times of additional fertilizers. Therefore, although frequent and heavy additional fertilization is desired to produce onion bulbs of premium quality at harvest, it is not recommended for the quality management of onion bulbs during long-term storage.


