Introduction
Materials and Methods
Field Experiment
Meteorological Conditions
Experimental Design
Compost, Mixed Oilseed Cake, and Soil Properties
Determination of Plant Characteristics and Bulb Yield
Data Analysis
Results and Discussion
Meteorological Conditions
Compost, Mixed Oilseed Cake, and Soil Properties
Plant Growth and Bulb Yield
Introduction
Organically certified onions (Allium cepa L.) accounted for 0.56% of the total onion production in Korea in 2015 (NAQS, 2015). Consumer demand for organic vegetables has been increasing due to increased awareness of human health (safety), nutritional value, trust in organic certification,
environmental protection, and taste (Jeong et al., 2012). However, organically certified onion production has decreased from 165 ha in 2008 to 101 ha in 2015. Although the price premium might attract growers to produce organic onions, the lack of marketing strategies has hindered incomes. In addition, low productivity of organically grown onions is considered one of the critical restrictions to expand their production. Lee et al. (2014) observed that organically grown onions are 21.8% lower in bulb yield than conventionally produced onions.
Vegetable growers apply composted animal manure to increase crop productivity in conventional production as well as in organic systems in Korea. However, organic bulb onion growers often apply mixed oilseed cakes (MOC) as fertilizer instead due to several problems associated with compost application. First, organic growers cannot easily obtain animal manure from certified organic animal husbandry; therefore, they prefer MOC rather than compost. In addition, it is easy to purchase certified organic MOC. Moreover, MOC can be applied at lower rates compared to compost because MOC has higher nutrient contents than compost. However, in addition to supplying nutrients (Rosen and Allan, 2007), compost can improve soil physical properties such as the water and nutrient holding capacity, porosity, and water infiltration rates (Brown and Cotton, 2011; Zeytin and Baran, 2003). In addition, compost can increase soil organic matter (Kong et al., 2005), promote soil biological activity (Raviv, 2005), and suppress diseases (Hoitink, 1986). Although soil characteristics are generally improved by compost, its effects on crop growth and yield are not consistent compared to other organic or chemical fertilizers (Gallardo-Lara and Nogales, 1987). In addition, the effect of compost on crop productivity differs depending on composting materials, maturity, the carbon (C) to nitrogen (N) ratio (C:N), and nutrient content and availability (Roe, 1998).
Nitrogen availability is often the most important factor limiting the yield of organic production systems (Clark et al., 1999). Slow release of N from organic sources can result in N deficiency in crops (Pang and Letey, 2000). Mixed oilseed cake consists of the material left over after oil extraction from seeds such as castor (Ricinus communis), sesame (Sesamum indicum), soybean (Glycine max), groundnut (Arachis hypogaea), and neem (Azadirachta indica). These oilseed cakes are rich in N, phosphorus (P), and potassium (K), and are often used as alternative nutrient sources to chemical fertilizers (Lee et al., 2004; Lee et al., 2004; Lee, 2010; Singh and Pokhriyal, 1997). In addition, they have been used as a bio-control agent against plant-parasitic nematodes and soil-inhabiting fungi (Tiyagi et al., 2001).
Certified organic onion growers generally believe that organic bulb yield is lower compared to conventional production because organic onions are not allowed to receive any chemical fertilizer or uncertified manure compost. Hence, they apply as much certified organic fertilizer as possible. However, many studies have shown that fertility is not the main factor in achieving optimum bulb yield (Lee, 2010; Mogren et al., 2009; Saviello et al., 2013; Yoldas et al., 2011). In addition, excessive application of compost or organic compliant fertilizer often negatively affects bulb yield (Boyhan et al., 2010; Lee, 2012; Vidigal et al., 2010).
In Korea, bulb onion is transplanted in late October to early November, overwinters, regrows in early spring with mild weather and short daylength, and develops bulbs in late April to early June with a daylength of more than 13 h (Lee, 2015). However, changes to the climate in the last decade due to climate change have made it more difficult to predict weather and growing conditions and have resulted in more varied bulb yields.
The objective of this study was to determine the effect of compost and organic fertilizer application rates on soil nutrients, growth characteristics, and bulb yield of intermediate-day onions in two different locations over two consecutive growing seasons for improving sustainable organic onion production.
Materials and Methods
Field Experiment
The experiment was conducted at two organic onion growers’ fields located in Hamyang county (35°53'N, 127°81'E) and Sangju county (37°54'N, 128°20'E) in southeastern Korea during the growing seasons of 2012/2013 and 2013/2014. The two experimental sites had been under continuous rice (Oryza sativa) production and were managed organically for six years in Hamyang and nine years in Sangju. Onion was grown for two years after three years of winter fallow. The soil type was loam in Hamyang and silty loam in Sangju.
Onion seeds (cv. Utopia, an F1 hybrid, intermediate-day cultivar for fall transplanting, Nongwoo Bio Co., Ltd., Korea) were grown in all experimental fields. Sowing, transplanting, and harvest dates in the different years and locations, as well as cumulative temperature, degree days, and total rainfall during the growing season are summarized in Table 1. Onion seeds were sown on a bed in ambient temperature with a sowing density of 100 g per 25 m2, and transplanted at the three-leaf stage into beds mulched with a sheet of black polyethylene. Beds for the experiments were 1.65 m from center to center between adjacent beds with a bed width of 1.30 m and a height of 0.20 m. Each bed was planted with 8 rows of transplants having a spacing of 0.14 m in-row and 0.15 m between rows, resulting in a plant density of 34.6 individuals per m2. The experimental unit was 10 m in length, accommodating 568 plants. The area for the main plot was 66.0 m2 and the area for the split plot was 16.5 m2.
Onions received one application of natural fungicide (Loess-sulfur mixture). They were weeded three times by hand in March, April, and May. Plants were irrigated once by flooding at transplanting. Other cultural practices, such as drainage management, were performed according to the participating farmers’ usual practices.
Meteorological Conditions
Average daily air temperature and rainfall during onion production of each region were obtained from regional weather stations operated by the Korea Meteorological Administration. The distance between the experimental site and the weather station was 10 km in Hamyang and 18 km in Sangju. Meteorological data were processed at 10-d intervals. Cumulative temperature was calculated as the sum of the average daily air temperature during the period from seed sowing to harvest. A degree-day sum was calculated as the sum of average daily air temperature above 4°C during the period from seed sowing to harvest.
Experimental Design
Treatments included beef cattle manure compost (BCMC, applied at 0 and 30 t·ha-1) and MOC (applied at 0, 3, 6, and 9 t·ha-1) applied on a fresh-weight basis. BCMC was obtained from the participating farmers’ cattle shed using rice hull as bedding. After collection, the manure was placed on a covered concrete pad for approximately 6 months. The MOC used was a certified commercial organic fertilizer (Certification No. 2-1-133, DBIO Ltd., Daejeon, Korea) consisting of 660 g·kg-1 castor bean oilseed cake, 200 g·kg-1 rice bran, 90 g·kg-1 sesame oilseed cake, and 50 g·kg-1 molasses. Compost was applied in the main plots after plowing followed by tillage at a 15-cm depth to incorporate the compost in early October. After measuring and forming the plots, MOC was applied to each plot. Furrows were then formed at a 20-cm depth using a small cultivator 3-5 days before transplanting. On the same day, black plastic film was applied by tractor-derived mulching equipment. The experiment had a split-plot design with three replications. Compost rate was the main-plot factor and MOC rate was the subplot factor.
Compost, Mixed Oilseed Cake, and Soil Properties
BCMC samples (approximately 1 kg each) were collected from 10 different sites from the compost pile just before it was applied to the field. The water contents of the BCMC and MOC were measured with a gravimetric method. Dried samples were used to analyze pH, N, organic matter (OM), sulfur (S), P, K, calcium (Ca), and magnesium (Mg) contents. Dried samples were ground, weighed, and dissolved in concentrated HNO3. Organic matter, total N, and S contents were measured with an elemental analyzer (vario Max, Elementar, Germany). An atomic absorption spectrophotometer (novAA 300, analytikjena, Germany) was used to determine K, Ca, and Mg contents (Slavin, 1968). Phosphorus was measured colorimetrically with the ammonium-vanadate-molybdate method (Gericke and Kurmies, 1952). The pH of the BCMC and MOC samples was determined with a pH meter (Thermo Scientific Orion, MA, USA) using a 10:1 deionized water:BCMC or MOC ratio. Fresh samples of the BCMC or MOC (5 g) were extracted with 40 mL 0.01 M CaCl2 solution for 15 min, filtered with No. 2 filter paper (Griffin et al., 1995), and analyzed for NO3-N and NH4-N by reflectometry (RQ plus, Merck, US).
Soil samples were collected before BCMC and MOC application and at harvest. Two cores of soil were sampled at a 10- to 20-cm depth with a 100 cm3 core sampler (HJD-1812, Heungjin, Korea) in two different sites per plot to determine water content. Soil for nutrient analysis was sampled at a 10- to 30-cm depth using a single edelman auger (Ø4 cm, Eijkelkamp, The Netherlands) in two different sites per plot. Fresh soil samples (10 g) were extracted with 40 mL 0.01 M CaCl2 solution for 15 min, filtered with No. 2 filter paper (Griffin et al., 1995), and analyzed for NO3-N by reflectometry (RQ plus, Merck, US). After NO3-N determination, soil samples were dried for five days, then sieved with a 2.00 mm sieve. Soil samples for analyzing P and exchangeable cations were extracted using Morgan extractant (McIntosh, 1969). Phosphorus in the extracted soil was analyzed with a spectrophotometer (UV 2450, Shimadzu, Japan). Exchangeable cations were measured with an atomic absorption spectrophotometer. Soil pH and electrical conductivity (EC) were determined with a pH meter and a conductivity meter (Thermo Scientific Orion, MA, USA), respectively, using a 5:1 deionized water:soil ratio.
Determination of Plant Characteristics and Bulb Yield
Ten plants were randomly collected from three replications at 168 (April 16, 2013; April 9, 2014) and 199 (May 17, 2013; March 10, 2014) days after transplanting (DAT). After counting the number of leaves, onion leaves were separated at neck from bulbs and their weights were measured. At harvest, onions were collected by hand from 3.47 m2 (1.65 m in width x 2.10 m in length) equaling 120 transplanted units (including those transplants that survived and those that died) in each of three replications. After counting the number of leaves from the harvested plants, leaves were separated at the neck from the bulbs and all leaves of collected plants were weighed in the field. The weights of individual bulbs were measured after drying during more than two weeks indoor. Bolted, doubled, and rotten onions were culled as unmarketable yield. Marketable bulbs were categorized into the following size classes based on diameter: small (less than 60 mm), medium (60 to less than 80 mm), and large (greater than 80 mm). Each sample area yield was converted to total bulb weight per hectare. Stand reduction was calculated as the percentage of onion plants lost from 120 transplanted units.
Data Analysis
Data were analyzed with a mixed model for a split-plot design using XLSTAT Pro 2013.1.01 (Addinsoft, New York, NY, USA) using a four-way analysis of variance (ANOVA). The model included year, location, BCMC and MOC rates, and their interactions. Effects with F-test probability values above 0.05 were considered non-significant. Mean comparisons of marketable yields were analyzed with Duncan’s multiple range tests at p = 0.05.
Results and Discussion
Meteorological Conditions
Cumulative temperature, degree-days, and total rainfall during the period from sowing to harvest are shown in Table 1. Cumulative temperature and degree-days in Sangju were higher than those in Hamyang in the 2012/2013 growing season (364°C and 231 degree-days higher, respectively), and in the 2013/2014 growing season (266°C and 60 degree-days higher, respectively). Total rainfall in Sangju was 401 mm greater than that in Hamyang in 2012/2013, but was 144 mm greater in Hamyang than in Sangju in 2013/2014.
The average daily air temperature measured in 10-d intervals from September to June at Hamyang and Sangju for the 2012/2013 and 2013/2014 growing seasons are shown in Fig. 1. The temperature in 2013/2014 was higher than in 2012/2013 from mid-September to mid-October, from early December to early January, and from late March to late April at both sites. Rainfall in late May at Hamyang and from early May to late May at Sangju were much less in 2014 compared to 2013 (Fig. 2). The minimum temperature for leaf growth of onion is 10°C, with favorable temperatures ranging from 17°C to 25°C (Kato, 1963). Onions are sensitive to small water deficits. They need frequent irrigation to maintain high soil water potential during growth, particularly during bulb formation (Enciso et al., 2009; Shock et al., 1998). Water deficiency can reduce onion yield more during bulb development than during the vegetative stage (Dragland, 1974; Van Eeden and Myburgh, 1971). Bulb formation is promoted by long days and high temperatures (Kato, 1963; Magruder and Allard, 1937). However, Coolong and Randle (2003) reported that fresh bulb weight was highest in plants grown at 22.1°C for mature plants, and bulb weight was decreased at higher temperatures. In our study, the average temperature in April in Sangju was 3.5°C higher in 2014 than in 2013. However, the rainfall in May in Sangju was much less in 2014 than in 2013, and the maximum air temperature in Sangju in May of 2014 was higher than in 2013 (25.4°C in 2013, 26.3°C in 2014). Leaf and bulb weights at 166 and 199 DAT were higher in the 2013/2014 growing season compared with 2012/2013 at Sangju and bulb yield was higher in 2013/2014 than in 2012/2013. This result indicates that high air temperature during the vegetative stage (from December to April) might have improved onion growth compared to the negative effect of high temperature or deficient rainfall during bulb development of overwintering onions.
Compost, Mixed Oilseed Cake, and Soil Properties
The nutrient contents of the BCMC differed by location and year. Nitrogen and OM contents were higher in the MOC than those in the BCMC, while S, P, K, and Ca contents were higher in the BCMC than those in the MOC (Table 2). Because the MOC was not decomposed, inorganic N was much lower in the MOC compared to that of the BCMC. Composting of organic materials is a bio-oxidative process involving mineralization and partial humification of organic matter, leading to a stabilized final product. Nutrient contents in composts vary with the raw materials, duration, and nature of the composting process. Raviv (2005) reported that OM and pH are decreased while N, P, K, NO3, and the C:N ratio are increased during the composting process. The composts used in our study were characterized by a lower C:N ratio, higher pH and N contents, and relatively higher NH4-N content than NO3-N content when compared to the results of Radovich (2011).
Total nutrients incorporated into the soil at each site are shown in Table 3. Lee et al. (2014) reported that producing 55.9 t·ha-1 of organic bulb onions removes 94.0 kg N/ha, 11.1 kg P/ha, 100.6 kg K/ha, and 39.6 kg Ca/ha. Considering that the estimated mineralization in the first year after application of composted manure is 20% in N, 57% in P, 100% in K, and 55% in Ca and Mg (Eghball et al., 2002), available nutrients from the BCMC incorporated into the soil should be in excess of what is needed for onion production except for N.
All soil nutrients at harvest were higher in 2014 than in 2013 at both sites except for Ca (Table 4). All nutrients at Sangju were higher than those at Hamyang except for available (av.) P at harvest. Soil incorporated with BCMC at 30 t·ha-1 had higher EC, N, av. P, and K contents compared to soil without BCMC. As the MOC rate increased, EC and the contents of NO3-N and av. P also increased. All soil nutrients were significantly affected by the interaction between year and location.
Soil nutrient contents were higher at Hamyang than at Sangju in 2012/2013, while all nutrient contents except for av. P were higher at Sangju than at Hamyang in 2013/2014. Nitrogen content was affected by the interactions of year and BCMC, year and MOC, and BCMC and MOC. Nitrogen content in 2013/2014 was significantly higher with BCMC than without BCMC, but no statistical difference was found in 2012/2013. Higher application rates of MOC increased the N content in 2013/2014 compared to that without MOC; however, there was no significant difference in N content among the MOC rates in 2012/2013. In addition, MOC rates did not affect the N content when no BCMC was applied, while higher MOC rates increased the N content when BCMC was applied. The effects of the interactions among year and BCMC as well as year and MOC on NO3-N content, and the effect of the interaction between year and BCMC on K, Ca, and Mg contents were similar to those on N content. Because N, OM, and K amounts incorporated into the soil were higher in 2013/2014 than those in 2012/2013, most nutrient contents should be higher in 2014. In addition, higher air temperature during the period from early December to early February and from late March to late April, with more rainfall in March and April of 2013/2014 compared to that in 2012/2013 (Figs. 1 and 2), might have caused increased mineralization of nutrients. The average air temperature in 2013/2014 was higher than that in 2012/2013 (2.6°C higher during the period from early December to early February and 3.6°C higher during the period from late March to late April). Total rainfall in March and April was 75.7 mm more in 2013/2014 than in 2012/2013. The percentage of organic nutrients mineralized from compost or manure increases at higher temperatures and at a soil moisture near field capacity in agricultural soils (Cassman and Munns, 1980; Eghball, 2000). In addition, N, OM, and Ca amounts incorporated into the soil at Sangju in 2013/2014 were almost two times higher than those at Hamyang. Therefore, the EC as well as OM, NO3-N, and Ca contents were higher at Sangju than at Hamyang.
The BCMC applied to the soil at Sangju contained higher contents of most elements than that applied to the soil at Hamyang during both years (Table 3). Consequently, the nutrient contents in the soil at harvest were higher at Sangju than at Hamyang. Greater application rates of compost, manure, or fertilizer generally result in greater accumulation of nutrients (Brown and Cotton, 2011; Lee, 2012). This was found in our study, in which BCMC applied at 30 t·ha-1 and increased MOC application rates resulted in increased nutrient contents in the soil.
Plant Growth and Bulb Yield
The number of leaves, leaf weight, and bulb weight were significantly greater in 2013/2014 than in 2012/2013 (Table 5). Differences in the number of leaves, leaf weight, and bulb weight between years were consistently affected by soil nutrient status following BCMC and MOC application and by weather conditions. The fresh bulb weight at 199 DAT was 16.6 g/plant in 2012/2013, while it was 105.4 g/plant in 2013/2014, equaling a difference in bulb weight of 88.8 g/plant. However, the difference in bulb weight at harvest between the two years was decreased to 15.9 g/plant. Bulb development started earlier in 2013/2014 than it did in 2012/2013. Bulb maturity also completed earlier in 2013/2014 than it did in 2012/2013. This could explain that day length is a main factor for onion bulb development, but temperature strongly affects bulb initiation and maturity.
The BCMC application rate of 30 t·ha-1 positively affected onion plant growth compared to no BCMC. However, differences in plant growth between the two experimental sites and among MOC application rates were not affected by soil nutrient content. Although the EC as well as OM and N contents were higher at Sangju than at Hamyang, the two-year average of leaf and bulb weights at 199 and 226 DAT were greater at Hamyang than those at Sangju. Although higher MOC rates resulted in increased soil nutrients, the number of leaves, leaf weight, or bulb weight among application rates of 3, 6, and 9 t·ha-1 MOC were not significantly different. Many studies have revealed that excessive input of nutrients and salt accumulation has negative effects on plant growth and bulb yield (Lee et al., 2012; Lee and Lee, 2014; Shock, 2005; Westerveld et al., 2003). Therefore, the significant increases in the number of leaves, leaf weight, and bulb weight in 2013/2014 compared to those in 2012/2013 were due to higher temperatures in the winter and in April, and to higher rainfall in March and April (Figs. 1 and 2), as mentioned previously, rather than to higher soil nutrient contents.
In addition, leaf weight and bulb weight at harvest were significantly affected by the interaction between year and location. Fresh leaf and bulb weights were greater at Hamyang than at Sangju in 2012/2013 (29.4 g/plant and 197.5 g/plant, respectively, at Hamyang; 12.7 g/plant and 126.0 g/plant, respectively, at Sangju). However, they were greater at Sangju than at Hamyang in 2013/2014 (8.8 g/plant and 156.9 g/plant, respectively, at Hamyang; 12.7 g/plant and 195.8 g/plant, respectively, at Sangju). These results were also due to higher temperatures at Sangju from mid-March to mid-April in 2014 compared to those at Hamyang. The average daily temperature from mid-March to mid-April in 2013 was 0.5°C higher at Hamyang than at Sangju (8.6°C at Hamyang, 8.1°C at Sangju), while the temperature at the same period in 2014 was 0.7°C higher at Sangju than at Hamyang (10.6°C at Hamyang, 11.3°C at Sangju). At harvest, fresh bulb weight was affected by the interaction between location and MOC. Fresh bulb weight was not significantly different among MOC rates at Hamyang; however, the MOC application rates of 3, 6, and 9 t·ha-1 significantly increased fresh bulb weights compared no MOC.
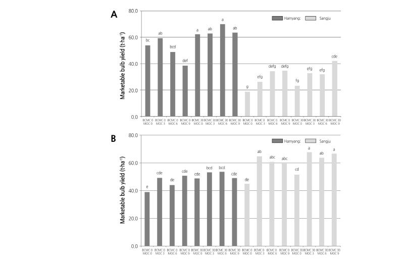
Marketable bulb yields at Hamyang with BCMC in 2013/2014 were higher than those at Sangju without BCMC in 2012/2013 (Table 6 and Fig. 3). MOC application increased bulb yield compared to no MOC; however, there was no significant difference in yield among MOC application rates. Marketable yield and stand reduction were significantly affected by the interaction between year and location, which also affected fresh leaf and bulb weight at harvest. Total marketable yield was 57.4 t·ha-1 at Hamyang and 30.5 t·ha-1 at Sangju in 2012/2013; however, it was 48.4 t·ha-1 at Hamyang and 59.9 t·ha-1 at Sangju in 2013/2014. Stand reduction was significantly higher in 2012/2013 than in 2013/2014 at both sites. In addition, stand reduction was affected by year and location. Stand reduction was 14.0% at Hamyang and 26.5% at Sangju in 2012/2013; however, it was 11.5% at Hamyang and 9.2% at Sangju in 2013/2014. Seedling rooting after transplanting is established from early November to early December in overwintering fall-transplanted bulb onion (Lee, 2015). The differences in stand reduction were related to air temperature during the root establishment period. The average daily air temperature during the period from early November to early December was 1.5°C lower in 2012 than in 2013, while it was 1.9°C lower during the same period at Sangju than at Hamyang in 2012.

Marketable bulb yield depending on the growing location and beef cattle manure compost (BCMC) and mixed oilseed cake (MOC) application rates in 2012/2013 (A) and 2013/2014 (B). BCMC0 and 30 represent BCMC application rates of 0 t/ha and 30 t/ha, respectively, and MOC0, 3, 6, and 9 represent MOC application rates of 0 t/ha, 3 t/ha, 6 t/ha, and 9 t/ha, respectively. Different letters indicate statistically significant differences at p ≤ 0.05 by Duncan’s multiple range tests.
A MOC application rate of greater than 3 t·ha-1 did not increase marketable bulb yield irrespective of year, location, or the BCMC application rate (Fig. 3). In addition, increased MOC application rates were inclined to decrease bulb yield without BCMC application at Hamyang in 2012/2013 and at Sangju in 2013/2014. A decrease in bulb yield due to increased MOC rates was associated with stand reduction. At Hamyang in 2012/2013, stand reduction at the MOC rate of 3 t·ha-1 was 9.7%, while it was 16.6% at the MOC rate of 9 t·ha-1. Lee (2012) reported that composted cattle manure at 80 t·ha-1 can increase stand reduction of onion seedlings due to increased salt concentration. According to Sullivan et al. (2001), manure or compost application before direct-seeding of onion is not recommended because salts from manure or compost might reduce seed germination and increase water stress.
The interaction between location and MOC rates affected total marketable yield. No MOC application at Sangju resulted in a significantly greater decrease of marketable yield than at Hamyang. This resulted from higher stand reduction rather than from reduced soil nutrient contents considering that most soil nutrient contents except for av. P were higher at Sangju than at Hamyang. The yields of large-sized bulbs were affected by interactions among year, location, and BCMC application. The yield was significantly different between the BCMC application and no BCMC at Hamyang in 2012/2013 and at Sangju in 2013/2014. However, yields at Sangju in 2012/2013 and at Hamyang in 2013/2014 were not significantly different between the BCMC application and no BCMC. The BCMC application should increase large-sized bulb yield in years and locations that produced higher total marketable yield due to more favorable weather conditions.
Lee et al. (2014) reported that organically grown onions have 21.8% lower bulb yield than conventionally produced onions. They found that the reduction in organic onion bulb yield was the result of the lower soil temperature under the black plastic polyethylene mulch used in organic onion production compared to the transparent polyethylene mulch used in conventional onion production, rather than from differences in soil nutrients. The present study showed that higher air temperatures in winter and early spring (from December to April), and an application of BCMC at 30 t·ha increased bulb yield. However, considering the differences between the locations, higher soil nutrient contents did not significantly affect onion growth or yield. In addition, MOC applications at rates greater than 3 t·ha-1 did not increase bulb yield. Therefore, for optimum organic onion production, onion growers should apply composted cattle manure at a rate of 30 t·ha-1 every year and restrict mixed oilseed cake fertilizer applications to 3 t·ha-1 based on soil nutrient status.










