서 언
재료 및 방법
공시 재료 및 처리 조건
품질 조사
통계분석
결과 및 고찰
서 언
우리나라에서 소비하는 채소 중에 가장 많은 비중을 차지하는 배추는 하우스와 노지에서 재배되는 봄배추, 고랭지 지역에서 재배되는 여름배추, 추석과 김장용으로 재배되는 가을배추, 그리고 월동배추인 겨울배추로 분류되며, 사계절 연중 생산 및 소비가 되고 있으며 김치나 쌈 채소 등으로 이용되고 있다(Lee et al., 1994; Oh et al., 1984).
해발고도 700m 이상의 고랭지 지역은 평지에 비해 상대적으로 낮은 기온으로 여름철 고온 때문에 재배가 어려운 저온성 채소류의 생산을 가능하게 한다. 특히 한여름에 생산되는 고랭지배추는 꾸준히 재배면적이 증가하여 2004년 생산량이 30만 톤을 넘어섰으나, 그 후 점차 감소하여 2012년 생산량이 20만 톤으로 줄어들었다(Lee, 2006; Statistics Korea, 2012). 이는 국내에서 재배되는 고랭지배추는 가격불안정성이 크고, 출하 후 바로 시장으로 보내져 소비가 이루어지기 때문에 시세하락으로 인하여 산지에서 폐기가 되거나, 작황불량 등으로 인한 경우 가격이 급격히 폭등이 되는 경우 등 수급 불안정이 가장 큰 이유로 대두되고 있다. 특히 2010년의 경우 태풍으로 인한 집중호우로 생산량이 감소하면서 가격이 3배 이상 폭등하여 소비량이 10% 이상 감소하는 현상이 발생하였다(Lee and Kang, 1998; NICS, 2011).
국내에서 시기별로 수확되는 배추에 따라 저장기간에 차이가 있는데, 늦가을에 수확하는 가을배추의 경우 다른 시기에 생산되는 배추보다 품질과 저장성이 우수하여 수확 후 3-4개월 동안 저장하면서 출하가 가능하지만, 고온기에 재배된 배추의 경우에는 생육환경이 불량하여 타기간에 재배된 배추에 비해 상대적으로 품질이 좋지 않으며, 1개월 이상 저장이 불가능하다. 이는 원예작물의 수확 후 발생하는 호흡, 증산, 에틸렌 생성과 같은 대사활동이 온도에 상당히 민감하게 반응하여 품질에 영향을 미치기 때문이다(Kim et al., 2001; Hardenburd et al., 1986; Park et al., 2006). 따라서 고온기에 재배되는 고랭지 배추는 수확 시 품온이 높고, 수확 후에도 호흡에 의해 품온이 계속 상승하기 때문에 품질저하에 대한 우려가 발생되고 있다(Eum et al., 2013b).
배추와 같은 원예산물의 선도유지를 위한 기술로서는 단일환경조건의 제어만으로는 제한성이 있기 때문에 유통과정을 총괄하는 체계가 필수적이다. 수확 후 원예산물의 온도, 습도, 대기환경 등을 조절하는 주요한 기술로서 산지 예냉과 저온유통기술, 포장기술 등이 있다(Kim, 1997). 예냉처리는 농산물의 품온을 수확 즉시 목표로 하는 온도까지 빠르게 저하시켜 수송 또는 저장하는 방법으로 수확 당시 농산물의 포장열을 신속히 제거함으로써 수확 후 발생하는 호흡량을 감소시키는 기술이다(Park and Hwang, 2010). 예냉방법으로는 강제통풍식예냉, 차압식예냉, 진공식예냉, 수냉식예냉 등이 있다(Lee, 2001). 그외, 원예산물의 상품성 유지를 위하여 필름을 이용하여 포장할 경우 선도유지 및 향상이 가능하다(Kader et al., 1989). 또한 예건을 통해 저장 전 외엽을 건조시켜 저장을 하면 저장 중 건조한 외엽이 증산을 억제하는 역할을 하여 수분손실을 줄일 수 있다(Lee et al., 2001).
따라서 본 연구는 고랭지 배추의 저장기간 연장을 위한 최적 전처리조건을 탐색하고자 여름철 강원도 고랭지 지역에서 재배된 ‘춘광’ 품종을 이용하여 예냉 및 예건 등의 전처리 및 liner 처리를 실시하여 고랭지 배추의 최적 저장조건을 설정하고자 수행하였다.
재료 및 방법
공시 재료 및 처리 조건
본 연구의 공시재료인 배추 ‘춘광’ 품종은 2012년 9월 11일에 강원도 강릉시 왕산면 대기리(해발 1,100m)에 위치한 농가에서 수확한 배추를 공급 받았다. 수확된 배추는 즉시 실험실로 옮겨와 초기 품질인자를 조사한 다음 통풍예냉, 차압식예냉 그리고 예건 등의 수확 후 전처리 실험을 실시하였다. 실험에 앞서 수확 직후 배추의 품온은 20°C 내외였고, 외기 온도는 25°C 정도였다.
통풍예냉은 0°C의 저온저장고에서 실시하였으며 예냉처리 하는 데 7/8 cooling time을 이용하였으며, 품온을 5°C로 낮추는데 약 11시간이 소요되었다. 차압식예냉을 위해서 배추는 과일의 적재 및 유통에 이용되는 플라스틱 박스(52cm × 37cm × 32cm)에 2-3포기씩 세워서 담아 준비하였다. 각 플라스틱 박스를 6개씩(2개 × 3개) 4단으로 적재한 후 제작된 비닐커버를 씌워 간이 차압식예냉기(FOX-S1004, DSFOX, Korea)를 이용하여 풍속은 3.1 × 10-3m3/s per kg으로 차압예냉을 실시하였다. 예냉시간 7/8 cooling time또한 통풍예냉과 마찬가지로 품온을 5°C로 낮추는 데 약 5시간이 소요되었다. 예건처리는 수확된 배추를 외기의 통풍이 잘되는 그늘에서 감모율이 5 ± 1% 정도까지 되도록 방치했으며 약 48시간 소요되었다.
수확 후 전처리된 배추 시료는 0.02mm HDPE(high density polyethylene) film으로 수분손실을 최소화하기 위한 방법인 liner 처리유무에 따라 분류한 후 2°C(90 ± 5% RH) 저온 저장고에 8주간 보관하면서 일주일 간격으로 품질 변화를 조사하였다. Liner 처리는 배추를 3포기씩 밀봉이 아니라 한쪽 면을 틔어주는 방식으로 하여 외부와의 공기순환이 가능하도록 처리하였다.
품질 조사
무게변화는 예냉처리구와 대조구는 저장기간 동안 초기 무게에 대한 감모량을, 예건처리구는 저장기간 동안 예건처리 직후 무게에 대한 감모량을 백분율로 나타내었다. 가용성 고형물 함량은 상품가치가 저하된 배추의 가장 바깥쪽 잎은 제거하고 3겹 안쪽에 위치한 잎을 이용하여 그 잎을 착즙한 후 굴절당도계(PAL-1, Atago, Tokyo, Japan)로 측정하여 100g 속에 함유된 총 탄수화물의 무게 농도를 의미하는 oBrix로 나타내었다. 경도 역시 제거된 배춧잎의 중륵부위를 물성분석기(EZ Test/CE-500N, Shimadzu, Kyoto, Japan)를 이용하여 120mm・min-1 crosshead speed 조건으로 직경 5mm probe를 이용하여 측정한 후 N(newton)로 표시하였다(n = 5). 색도는 배춧잎의 중륵부위를 제외한 잎 부위 3군데를 색차계(CR-400, Minolta, Osaka, Japan)로 측정하여 CIE L*, hue angle 및 chroma 값으로 표기하였다. 관능검사는 외관, 아삭거림, 질긴 정도, 단맛, 그리고 쓴맛에 대해서 실시하였다. 각 수치의 간격은 1로 외관, 아삭거림, 그리고, 조직감은 0(나쁨) - 10(좋음), 단맛과 쓴맛의 정도는 0(없음) - 10(강함)으로 수치화하였다(n = 10).
통계분석
실험은 완전임의 배치법에 의해 수행하였으며, 데이터 분석은 SAS system(SAS Institute Inc. Cary NC 27513, USA)을 이용하여 분산분석(ANOVA)을 하였으며 Duncan의 다중검정(DMRT)을 이용하여 p ≤ 0.05 수준에서 각 처리간의 유의성을 검증하였다. 모든 처리는 배추 한 포기씩을 반복하여 3반복 실험으로 수행하였다.
결과 및 고찰
 
|
Fig. 1. Weight loss with liner (A) and without liner (B) of Kimchi cabbage ‘Choon Gwang’ during storage at 2°C. The data are presented as the means ± standard error. |
저장 중 무게 손실은 0.02mm HDPE film으로 liner 처리 유무에 따라 확연한 차이를 보여, liner처리구의 무게 손실이 무처리구에 비해 낮았으며 liner 처리는 저장 중 품질유지에 효과적이었다. Liner를 처리한 배추의 경우, 무게 손실이 저장 3주까지는 5% 미만으로 저장 전처리에 따른 큰 차이가 나타나지 않아 대체로 비슷한 양상을 보였다. 통풍예냉은 4주를 제외한 나머지 기간중에서는 5% 미만의 손실률을, 차압예냉처리구는 평균 2% 정도의 수분손실률이 나타났다(Fig. 1A). 외엽을 건조하여 수분손실이 적을 것으로 예상되었던 예건은 오히려 전반적으로 높은 손실을 보이고 특히 4주후부터 손실이 10% 내외로 높아졌으며 실험 마지막 주에서는 15%의 높은 무게손실률을 보였다. Liner 무처리구에서는 2주까지 저장 전처리별 차이가 없었으나, 저장 3주 이후부터 처리에 따른 무게 손실의 차이가 나타났다. 예건처리의 경우 3주 후 손실률이 증가하여 10% 정도의 손실률을 보였고, 차압식예냉은 2주까지는 5% 미만으로 낮은 손실을 보였으나 4주 이후부터는 무게손실이 급격히 증가하여 15% 이상의 손실을 보여 가장 높은 손실률을 보였다(Fig. 1B). Liner 무처리는 대조구에서 가장 낮은 무게손실률을 보였으며 모든 처리구에서 실험 6주가 지나자 더 이상의 상품성이 없다고 판단되었다. 일반적으로 수분손실을 원예작물에게 직접적으로 양적인 손실을 야기할 뿐만 아니라 외관과 영양학적인 손실을 초래하므로 품질저하를 나타내는 지표로 이용된다(Adel, 2002). 배추와 같은 채소류는 저장기간이 경과되면서 증발과 증산작용에 의해서 수분손실이 발생되는데, 3-10% 정도 무게손실이 발생되면 신선도가 급격히 저하되어 품질에 결정적인 영향을 준다(Ben-Yehoshua, 1989; Robinson et al., 1975).
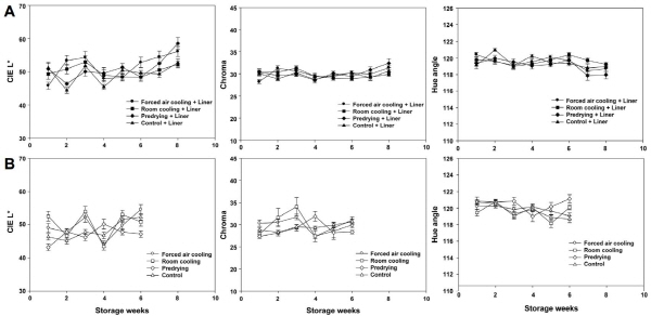
경도는 liner 처리구와 무처리구의 차이가 없어, 대체로 20N 내외의 값을 나타냈다(Fig. 2). 배추의 경도 변화가 저장 6주 동안 일정하게 유지되었고, 포장 처리구에서 예건에 따른 차이를 보이지 않았던 연구결과와 일치하였다(Lee et al., 2001). Liner 무처리구에서 차압예냉과 통풍예냉 처리에서 3-4주차에 감소하였다가 증가하는 경향을 보이나, 저장기간 전반에 걸쳐서 처리간의 유의적 차이는 적었다. 색변화는 배춧잎의 중륵 부위를 제외한 잎 부분에 대해서 실시를 하였는데, 배추의 밝기를 나타내는 CIE L*값은 50 내외로 처리별로 큰 차이를 보이지 않았지만 점차 증가하였고, Hue angle 값은 조금씩 감소하였으나 120 ± 2°C 사이 녹색 범위안에 분포하여 육안으로는 그 색의 변화에 대한 차이를 구별해낼 수 없었다(Fig. 3). 이는 저장 전처리 방법에 따른 평난지재배 배추 ‘춘광’ 품종의 품질변화와 같은 양상을 보이듯이 같은 품종을 사용하여 다른 시기에 재배하여도 그 색의 변화는 비슷함을 알 수 있다(Eum et al., 2013a). 채도 값을 나타내는 chroma 값의 경우에도 저장기간 전반에 걸쳐 28-32 사이에 분포하였고 liner 처리 유무에 따른 차이는 없었다. 시간이 지날수록 겉잎의 손상이 많아져 배춧잎 색에 변화가 나타날 것이라고 예측을 하였으나 차이는 없었다.
 
|
Fig. 2. Firmness with liner (A) and without liner (B) of Kimchi cabbage ‘Choon Gwang’ during storage at 2°C. The data are presented as the means ± standard error. |
|

|
Fig. 3. Color index with liner (A) and without liner (B) of Kimchi cabbage ‘Choon Gwang’ during storage at 2°C. The data are presented as the means ± standard error. |
가용성 고형물의 함량은 2-4oBrix 정도로 봄배추 품종별 품질 특성을 비교한 연구에서 나온 ‘춘광’ 품종의 가용성 고형물 함량인 3.37oBrix와 비슷한 함량을 보이고 있다(Table 1). Liner 유무 및 전처리기술에 따라 유의적 차이가 있었으나, 오차범위는 0.5oBrix 이하로 처리에 따라서 가용성 고형물의 함량이 많고 적음을 판단하기는 어렵다. 일반적인 과실의 가용성 고형물의 함량은 사과, 딸기, 그리고 토마토의 경우 각각 12-14oBrix, 8-10oBrix 및 5-15oBrix를 나타내는데, 파프리카의 경우도 5-7oBrix로 사람들이 단맛을 감지하는 수치는 모두 배추의 가용성 고형물의 함량보다는 높다(Beckles, 2012; Cordenunsi et al., 2003; Harker et al., 2008; Hong et al., 2009). 이러한 결과는 관능검사의 단맛의 평가에서도 확인을 할 수 있었는데, 대체로 낮은 수치를 나타내며 모든 처리에 따른 유의적 차이를 보이지 않으며, 배추의 단맛은 사람이 느끼기에는 차이가 없는 것으로 판단이 되었다(Table 3). 배추 저장 동안 관능검사 항목 중 외관은 배추의 저장 중 품질을 결정하는 중요한 인자이다(Eum et al., 2013ab; Kays, 1991). 저장 전처리 방법별로 관능검사를 하였을 때 사람이 보고 바로 상품성에 대해 평가를 할 수 있는 외관의 경우 저장 전기간에 걸쳐 0.02mm HDPE film을 처리한 차압식예냉 처리가 가장 좋았으며 처리간 유의적으로 차이가 있었다(Table 2). 아삭거림은 배추를 씹을 때 느껴지는 감각을 수치화한 것으로 liner 처리구 별로 2주차 까지는 7 이상으로 높게 유지되었으나, 3주 경과 후부터는 값의 감소폭이 증가하고 있다. 감소폭의 증가는 특히 liner 무처리구에서 크게 나타나고 있다. 관능검사에서 측정한 아삭거림은 기계적으로 측정하는 경도와는 그 의미가 다소 차이가 있다. 본 연구에서 아삭거림은 배추를 처음 씹었을 때 느껴지는 조직이 파괴되는 느낌과 함께 배추로부터 수분이 나와 입안에 퍼지는 느낌까지 포함된 복합적인 의미로, 경도 측정에서는 처리간에 유의적 차이가 나타나지 않은 반면 관능검사의 아삭거림에서는 저장기간이 경과될수록 감소하는 경향을 보이고 있다. 외관과 아삭거림 정도의 결과를 살펴보면 전처리 기술의 효과는 차압식예냉 > 통풍식예냉 > 예건 > 대조구 순으로 나타났다. 쓴맛과 단맛의 경우 대체로 전 구간에 걸쳐 유의적 차이를 보이지 않으며, 쓴맛과 단맛을 느낄 수 없을 정도로 낮은 수치였다(Table 3). 단맛의 경우 본 연구에서 측정된 가용성 고형물의 함량이 2-4oBrix로 낮은 것과 연관이 있으며, 4oBrix 이하는 사람이 감지하는 단맛을 느낄 수 없는 수치라고 판단된다. 배추의 수분손실은 겉잎에서 가장 많이 일어나며 이로 인해 수분이 감소함에 따라 질겨지는 것을 확인하기 위해 질긴 정도를 측정하였으나, 대부분 실험기간 동안 유의적 차이가 없었던 것으로 확인되었다(Table 4). 질긴 정도를 측정한 결과는 저장기간 동안 경도 변화의 결과와 일치하는 것으로 나타났다. 이로써 기계로 측정하는 결과인 경도는 관능검사 항목 중 아삭거림 보다는 질긴 정도를 판단하기에 적합하다고 판단된다.
Table 1. Changes in soluble solids content (SSC) of Kimchi cabbage ‘Choon Gwang’ during storage at 2°C. |
Postharvest treatment | Liner | SSC (°Brix) |
Storage period (week) |
1 | 2 | 3 | 4 | 5 | 6 | 7 | 8 |
Forced air cooling | With | 2.66 bcdz | 2.53 cd | 2.53 ab | 2.72 cd | 2.29 cd | 2.43 d | 2.63 a | 2.76 a |
| Without | 3.36 a | 2.42 d | 2.60 ab | 3.97 a | 2.76 ab | 3.60 a | | |
Room cooling | With | 2.78 bcd | 2.52 cd | 2.62 ab | 2.62 d | 2.17 d | 2.43 d | 2.72 a | 2.59 a |
| Without | 2.88 bcd | 3.21 a | 2.78 a | 3.59 ab | 2.50 bc | 2.73 cd | | |
Predrying | With | 2.50 d | 3.13 ab | 2.34 b | 3.28 bc | 2.47 bcd | 2.48 cd | 2.32 b | 2.86 a |
| Without | 3.01 abc | 2.73 bcd | 2.89 a | 2.71 cd | 2.89 a | 3.23 b | | |
Control | With | 2.57 bd | 2.92 abc | 2.21 b | 2.71 cd | 2.18 d | 2.81 c | 2.82 a | 2.71 a |
| Without | 3.06 ab | 2.77 abc | 2.80 a | 2.72 cd | 2.58 bc | 2.56 cd | | |
zDifferent lowercase letters after the means within columns indicate significant differences by Duncan’s multiple range test at p ≤ 0.05. |
0.02mm HDPE film 처리 유무 및 저장 전처리 기술에 따른 효과는 배추의 내부와 외부에서도 차이가 있었다. Liner 처리구에서 7주가 지나자 통풍식예냉과 예건처리한 배추의 내부에서 갈변이 나타나기 시작하였으나 차압예냉의 경우 8주까지 내부에 문제는 발생하지 않았고, 외관상으로 8주가 되자 겉잎이 많이 손상이 되었음을 확인하였다(Fig. 4). 상한 겉잎을 제거 하였을 때 대조구에서는 그 안쪽까지 점차 갈변이 심하게 진행되었다. 대체로 저장 7주까지 외관상 별다른 손상이 나타나지 않았지만, 저장 8주가 되자 급격히 상태가 나빠졌다. Liner 무처리구에서는 대조구에서 저장 4주부터 외부의 손상이 발생하였으며 6주차에 상품성을 완전히 상실하였다. 그외 예냉 및 예건을 실시한 처리구에서는 저장 5주까지는 외관상 특별한 문제가 나타나지 않았지만 6주가 되자 손상의 정도가 심해졌는데, 손실이 적은 순으로 차압예냉 > 통풍예냉 > 예건 > 무처리 순으로 관능검사의 외관의 항목과 일치하는 모습을 보였다.
Table 2. Changes in sensory evaluation (appearance and crispness) of Kimchi cabbage ‘Choon Gwang’ during storage at 2°C. |
Postharvest treatment | Liner | Sensory evaluation rating during storage (week) |
Appearance |
1 | 2 | 3 | 4 | 5 | 6 | 7 | 8 |
Forced air cooling | With | 9.63 a | 9.17 a | 7.75 a | 7.33 a | 7.67 a | 7.25 a | 6.80 a | 5.17 ab |
| Without | 9.63 a | 8.83 ab | 7.38 a | 6.83 ab | 5.67 cd | 5.25 cd | | |
Room cooling | With | 9.63 a | 9.00 a | 7.63 a | 6.83 ab | 7.00 ab | 6.50 ab | 6.80 a | 5.50 ab |
| Without | 9.63 a | 8.33 abc | 7.37 a | 6.00 bc | 6.67 abc | 5.50 bcd | | |
Predrying | With | 9.25 a | 8.33 abc | 7.75 a | 5.67 c | 6.33 bc | 6.50 ab | 6.60 a | 4.50 b |
| Without | 9.13 a | 7.83 cd | 7.00 a | 5.33 c | 6.33 bc | 5.75 bc | | |
Control | With | 8.50 a | 7.83 cd | 8.63 a | 6.00 bc | 5.67 cd | 6.00 bc | 5.60 b | 5.57 a |
| Without | 8.25 a | 7.33 d | 7.25 a | 5.67 c | 4.83 d | 4.50 d | | |
Postharvest treatment | Liner | Sensory evaluation rating during storage (week) |
Crispness |
1 | 2 | 3 | 4 | 5 | 6 | 7 | 8 |
Forced air cooling | With | 7.88 a | 7.67 a | 6.88 ab | 6.17 a | 6.00 ab | 6.25 a | 6.00 a | 5.33 a |
| Without | 7.50 a | 7.33 a | 7.38 a | 5.50 ab | 4.83 cd | 5.50 ab | | |
Room cooling | With | 8.25 a | 8.00 a | 6.75 ab | 5.50 ab | 6.67 a | 6.00 a | 6.20 a | 5.50 a |
| Without | 7.25 a | 7.67 a | 6.63 ab | 5.67 a | 5.83 b | 4.75 b | | |
Predrying | With | 7.13 a | 8.00 a | 6.38 ab | 5.50 ab | 5.67 b | 5.50 ab | 6.20 a | 4.33 b |
| Without | 7.38 a | 7.67 a | 6.25 ab | 6.00 a | 5.50 bc | 4.50 b | | |
Control | With | 7.00 a | 7.33 a | 6.00 b | 6.33 a | 5.33 bc | 6.25 a | 5.80 a | 5.33 a |
| Without | 7.25 a | 7.17 a | 6.50 ab | 4.50 b | 4.33 d | 4.50 b | | |
zDifferent lowercase letters after the means within columns indicate significant differences by Duncan’s multiple range test at p ≤ 0.05 |
고랭지에서 재배된 배추 ‘춘광’ 품종에 저장 전처리 기술을 도입한 결과 차압예냉과 통풍예냉의 경우 대략 5주 이상 저장이 가능한 것으로 확인이 되었고, 0.02mm HDPE film을 사용하여 liner 처리를 할 경우 최대 8주까지 저장기간이 연장이 되었다. 이는 수분손실을 최소화하여 무게감소가 적었을 것으로 예상된다. 또한 저장기간 동안 외관과 아삭거림 정도가 배추의 상품성을 확인하는데 가장 큰 요인으로 작용함을 확인할 수 있었다.
Table 3. Changes in sensory evaluation (sweetness and bitterness) of Kimchi cabbage ‘Choon Gwang’ during storage at 2°C. |
Postharvest treatment | Liner | Sensory evaluation rating during storage (week) |
Sweetness |
1 | 2 | 3 | 4 | 5 | 6 | 7 | 8 |
Forced air cooling | With | 0.50 ab | 0.20 ab | 0.50 a | 0.00 a | 0.67 a | 0.00 b | 0.50 a | 0.00 a |
| Without | 0.13 ab | 0.60 ab | 0.13 a | 0.00 a | 0.00 b | 0.00 b | | |
Room cooling | With | 0.88 a | 0.00 b | 0.25 a | 0.17 a | 0.00 b | 0.00 b | 0.75 a | 0.00 a |
| Without | 0.00 b | 0.40 ab | 0.00 a | 0.17 a | 0.83 a | 0.00 b | | |
Predrying | With | 0.38 ab | 0.20 ab | 0.25 a | 0.00 a | 0.83 a | 1.75 a | 0.50 a | 0.00 a |
| Without | 0.00 b | 0.20 ab | 0.13 a | 0.00 a | 0.17 b | 0.00 b | | |
Control | With | 0.88 a | 0.80 a | 0.25 a | 0.00 a | 0.00 b | 2.25 a | 0.75 a | 0.17 a |
| Without | 0.13 ab | 0.40 ab | 0.13 a | 0.00 a | 0.00 b | 0.00 b | | |
Postharvest treatment | Liner | Sensory evaluation rating during storage (week) |
Bitterness |
1 | 2 | 3 | 4 | 5 | 6 | 7 | 8 |
Forced air cooling | With | 2.00 a | 0.50 a | 0.75 a | 0.83 ab | 0.00 c | 0.00 b | 1.00 a | 0.00 b |
| Without | 0.88 b | 0.50 a | 1.25 a | 0.83 ab | 0.67 b | 1.75 a | | |
Room cooling | With | 0.75 b | 0.33 a | 0.63 a | 0.17 b | 0.17 c | 0.00 b | 1.20 a | 0.00 b |
| Without | 0.38 b | 1.17 a | 1.38 a | 0.00 b | 0.00 c | 0.25 b | | |
Predrying | With | 0.88 b | 1.00 a | 1.75 a | 1.00 ab | 0.00 c | 0.50 b | 1.00 a | 2.00 a |
| Without | 1.00 b | 1.00 a | 0.88 a | 0.33 b | 0.33 bc | 0.00 b | | |
Control | With | 0.75 b | 0.33 a | 1.13 a | 1.83 a | 0.00 c | 0.00 b | 0.40 a | 0.50 b |
| Without | 0.38 b | 0.33 a | 1.13 a | 1.00 ab | 2.17 a | 1.75 a | | |
zDifferent lowercase letters after the means within columns indicate significant differences by Duncan’s multiple range test at p ≤ 0.05. |
|
Table 4. Changes in sensory evaluation (texture) of Kimchi cabbage ‘Choon Gwang’ during storage at 2°C. |
Postharvest treatment | Liner | Sensory evaluation rating during storage (week) |
Texture |
1 | 2 | 3 | 4 | 5 | 6 | 7 | 8 |
Forced air cooling | With | 3.29 a | 2.83 a | 3.13 a | 2 bc | 2.5 b | 2 a | 2.6 a | 1.67 b |
| Without | 2.86 a | 2.33 a | 3.38 a | 3.33 ab | 3.33 a | 2.5 a | | |
Room cooling | With | 3 a | 2.83 a | 2.38 a | 3.33 ab | 3.83 a | 1.75 a | 4 a | 1.5 b |
| Without | 3.71 a | 2.83 a | 3.25 a | 2.17 bc | 3.83 a | 2.5 a | | |
Predrying | With | 3.14 a | 2.33 a | 3.25 a | 2 bc | 1.67 c | 1.75 a | 3 a | 3.33 a |
| Without | 3.14 a | 2.83 a | 3 a | 2 bc | 3.67 a | 1.75 a | | |
Control | With | 2.86 a | 3.33 a | 4 a | 1.33 c | 1.17 c | 1.75 a | 3.2 a | 1.17 b |
| Without | 3.43 a | 2.83 a | 4 a | 3.67 a | 2.5 b | 1.75 a | | |
zDifferent lowercase letters after the means within columns indicate significant differences by Duncan’s multiple range test at p ≤ 0.05 |


|
Fig. 4. Comparison of outer (A) and inner (B) parts of Kimchi cabbage ‘Choon Gwang’ after 6 weeks storage period at 2°C. FOLO, forced air cooling with liner; FOLX, forced air cooling without liner; ROLO, room cooling with liner; ROLX, room cooling without liner; DOLO, predrying with liner; DOLX, predrying without liner; COLO, control with liner; COLX, control without liner. |
Acknowledgements
본 연구는 (사)농식품신유통연구원 과학기술기반 채소류 수급・유통 고도화 사업단의 지원(514002-03)에 의해 수행되었음.
References
Adel, A.K. 2002. Postharvest biology and technology: An overview, p. 39-47. In: Postharvest technology of horticultural crops. University of California Agriculture and Natural Resources Publ., California, USA.
Beckles, D.M. 2012. Factors affecting the postharvest soluble solids and sugar content of tomato (Solanum lycopersicum L.) fruit. Postharvest Biol. Technol. 63:129-140.
Ben-Yehoshua, S. 1989. Individual seal-packing of fruit and vegetables in plastic film, p. 101-117. In: A.L. Brody (ed). Controlled/modified atmosphere/vacuum packaging of foods. Food & Nutrition Press, Inc., Trumbell, CT.
Cordenunsi, B.R., J.R.O. Nascimento, and F.M. Lajolo. 2003. Physico-chemical changes related to quality of five strawberry fruit cultivars during cool-storage. Food Chem. 83:167-173.
Eum, H.L., S.J. Bae, B. Kim, J. Yoon, J. Kim, and S.J. Hong. 2013a. Postharvest quality changes of Kimchi cabbage ‘Choongwang’ cultivar as influenced by postharvest treatments. Kor. J. Hort. Sci. Technol. 31:429-436.
Eum, H.L., B. Kim, Y.J. Yang, and S.J. Hong. 2013b. Quality evaluation and optimization of storage temperature with eight cultivars of kimchi cabbage produced in summer at highland areas. Kor. J. Hort. Sci. Technol. 31:211-218.
Hardenburd, R.E., A.E. Watada, and C.Y. Wang. 1986. The commercial storage of fruits, vegetables, and florist and nursery stock. USDA Agricultural Handbook. 66:29-32.
Harker, F.R., E.M. Kupferman, A.B. Marin, F.A. Gunson, and C.M. Triggs. 2008. Eating quality standards for apples based on consumer preferences. Postharvest Biol. Technol. 50:70-78.
Hong, Y.P., C.G. An, D.H. Bae, M.A. Jo, H.L. Eum, M.C. Jo, and E.Y. Yang. 2009. Postharvest technology manual of bell pepper. Nonghyup, Seoul, Korea.
Kader, A.A., D. Zagory, and E.L. Kerbel. 1989. Modified atmosphere packing of fruits and vegetables. CRC Crit. Rev. Food Sci. Nutr. 28:1-30.
Kays, S.J. 1991. Science and practice of postharvest plant physiology, p. 1-23. In: Postharvest physiology of perishable plant products. An avi Book, Van Nostrand Reinhold, New York, USA.
Kim, B.S. 1997. The introduction of the region pre-cooling technology for the dissemination of the cold chain system and improve freshness of fruit and vegetables fresh. Food Sci. Ind. 30:103-120.
Kim, B.S., M.J. Kim, O.W. Kim, and G.H. Kim. 2001. Quality changes of winter Chinese cabbage by different packing and loading during cold storage. Kor. J. Postharvest. Technol. 8:30-36.
Lee, B.S. and J.K. Kang. 1998. Acreage fluctuation and marketing behavior in alpine Chinese cabbage. Kor. J. Food Mktg. Econ. 15:107-125.
Lee, I.K., S.J. Hong, Y.R. Yeoung, S.W. Park, and O.S. Ku. 2001. Effects of postharvest predrying on storability of ‘Norang’ Chinese cabbage. Kor. J. Hort. Sci. Technol. 19:521-525.
Lee, I.S., W.S. Koo, and K.H. Kang. 1994. Comparison of fall cultivations of Chinese cabbage for kimchi preparation. Kor. J. Food Sci. Technol. 26:226-230.
Lee, J.T. 2006. Fertilizer application and soil management for the stable production of Chinese cabbage in highland. Ph.D. thesis. Gangneung-Wonju National University, Gangneung, Korea
Lee, Y.S. 2001. Effects of pressure precooling and PE-film packing on postharvest shelf life of Chinese chives. Soonchunhyang J. Nat. Sci. 7:147-152.
NICS. 2011. www.nics.go.kr. National Institute of Crop Science.
Oh, D.G., J.Y. Yoon, S.S. Lee, and J.G. Woo. 1984. Effects of some mulch materials on Chinese cabbage growing in different seasons. III. Soil temperature and growth of Chinese cabbage in summer. J. Kor. Soc. Hort. Sci. 25:263-269.
Park, H.W., S.H. Kim, H.S. Cha, Y.H. Kim, and J.Y. Choi. 2006. Effect of quality change of ‘Fuji’ apple by pressure cooling. Kor. J. Food Preserv. 13:427-431.
Park, J.E. and S.J. Hwang. 2010. Effect of precooling and storage temperatures on the post-harvest management of the fruits in ‘Maehyang’ and ‘Soogyeong’ strawberries for export. J. Bio. Environ. Control 19:366-371.
Robinson, J.E., K.M. Brown, and W.G. Burton. 1975. Storage characteristics of some vegetables and soft fruits. Ann. Appl. Biol. 81:339-408.