서 언
수경재배용 원수의 수질은 작물생육에 큰 영향을 미치며, 수질을 판단하는 여러 항목 중 관개수에 존재하는 중탄산(HCO3-) 농도가 원예작물 수경재배에서 문제되는 경우가 많다(Lee, 2015). 딸기를 비롯한 원예작물 수경재배에 적합한 중탄산 농도는 60-80mg·L-1로 보고되었으며(Lee et al., 2014), 온대기후의 해안지역에서는 농도가 과도하게 높은 중탄산이 원수에 포함되어 피해가 발생하는 것으로 알려져 있다. 관개수의 중탄산 농도가 너무 낮을 경우 상토의 pH가 상승하지 못하여 Ca이나 Mg 결핍증상이 나타나고, 너무 높을 경우 pH가 과도하게 상승하여 Fe 등 미량원소의 결핍증상이 나타난다(Sposito, 1994; Styer and Koranski, 1996; Linsay, 2001; Valdez-Aguilar et al., 2009).
Nelson(2012)은 작물생산에 적합한 혼합상토의 pH가 5.8-6.2라고 하였으며, 중탄산 농도가 적절한 범위를 벗어나 높거나 낮을 경우 원하는 수준으로 상토의 pH를 조절하는 것이 어렵고, 다양한 생리장해가 발생하는 원인이 된다. 그러나 중탄산 농도가 적절한 경우 관개수의 완충력을 향상시켜 작물 재배 중 근권부 pH의 급격한 변화를 방지하는 장점을 갖는다.
딸기 재배에서 중탄산 피해를 감소시키기 위해 강산을 띠는 피트모스 또는 피트모스가 혼합된 상토에 기비로 첨가되는 고토석회의 혼합량을 줄이거나(Park and Choi, 2014; Lee et al., 2017), 수경재배용 양액에 질산이나 인산을 첨가하여 중탄산 농도를 낮추고 모주 및 자묘의 생육을 촉진시킨 연구 결과(Lee et al., 2016)도 보고되었다. 중탄산 피해를 줄이기 위해 과거에는 관개수에 질산, 인산, 황산 등 산을 첨가하여 상토의 pH를 낮추는 방법이 보편적으로 적용되었다. 그러나 산을 첨가하는 경우 취급과정에서의 위험성이 높고, 첨가된 산에 의해 관비를 위한 배관의 부식 문제가 발생하며, 산에 포함된 질소, 인 또는 황의 농도가 급격히 높아져 작물 생육이 불량해지는 문제점을 갖는다.
상토에 유황을 혼합하면 처리된 유황이 물 및 산소와 반응하여 황산으로 산화된 후 pH를 낮춘다(2S+3O2+2H2O→2H2SO4+energy; Plaster, 2003). 이 과정에서 생성된 황산이 상토의 토양용액에 존재하는 중탄산을 중화시켜(H2SO4가 2H++SO42-로 해리된 후, 2H++2HCO3-→2H2O+2CO2의 반응으로 중화시킴) 중탄산 피해를 경감시킬 수 있다(Gerald and Hanlon, 2012). 혼합상토 1L당 유황 0.45g을 기비로 혼합했을 때 pH가 0.5-1.0 정도 낮아지는 것으로 알려져 있다(Choi et al., 2009; Sonneveld and Voogt, 2009).
따라서 상토에 기비를 혼합하는 과정에서 처리 수준을 조절하여 유황을 첨가하고, 유황이 혼합된 상토로 ‘설향’ 딸기 모주를 재배하면서 생장에 미치는 영향을 구명하고자 본 연구를 수행하였다.
재료 및 방법
실험을 위해 코이어 더스트(Shinsung Mineral, Goesan, Korea)와 소나무 수피(Keumjeongwon, Yeongi, Korea)를 5:5(v/v)로 혼합한 상토를 조제하였고, 상토 조제과정에서 Nelson(2012)이 추천한 것과 동일한 양의 비료를 혼합하였다. 이 상토는 EC 0.82dS·m-1, pH 5.67, CEC 102.5cmol+·kg-1으로 분석되었고, 기비처리 과정에서 유황을 0(무처리), 0.23, 0.45, 0.90 및 1.80g·L-1로 조절하여 혼합한 처리를 만들었다.
비료를 포함한 상토는 충남대학교에 위치한 유리온실 내에 설치된 딸기재배용 고설베드에 충전하고, 본엽 3매의 ‘설향’ 딸기(Fragaria x ananassa Duch.)를 정식한 후 2주간 비료를 포함하지 않은 지하수만 관수하였다[지하수는 EC 0.23dS·m-1; pH 6.7; HCO3- 90mg·L-1; 그리고 주요 무기원소 농도(mg·L-1): K 0.5, Ca 22.8, Mg 2.2, Na 11.8, NO3-N 10.2, SO4 12.6였음]. 2주간 관수 후 3매의 신엽을 남긴 채 하위엽을 제거하고, 중탄산 농도를 240mg·L-1로 조절한 Hoagland 용액(Raviv and Lieth, 2008)을 조제하여 점적호스로 공급하였다. 양액의 중탄산은 KHCO3로 조절하였으며, 모든 필수원소의 농도는 Hoagland 용액과 동일하였다. 기상환경 조건에 따라 타이머로 급액 횟수와 급액량을 조절하였으며 배양액을 관주처리할 때 배수율(leaching percentage)을 20-30%로 유지하였다. 연구기간 중 평균 주/야간 온도는 26°C/16°C였고, 상대습도는 50±20%, 광도는 오후 2시를 기준으로 350±20µmol·m-2·s-1, 일장은 약 15시간이었다.
모주의 지상부 생육조사를 위한 항목 및 조사 방법은 Lee et al.(2014)과 Lee(2015)의 방법에 준하였다. 그리고 모주에서 발생한 런너의 길이와 개수, 모주 당 발생한 총 자묘수, 그리고 첫 번째 자묘의 생체중과 건물중을 측정하여 처리구간 차이를 비교하였다.
상토의 화학성 분석을 위해 매 2주 간격으로 시료를 채취하였는데, 양액을 처리하고 처리 2시간 후에 채취하였고, 오전 11시 전후에 채취할 수 있도록 시간을 조절하였다. 확보된 시료는 Warncke(1986)방법으로 추출하고, 추출 용액의 pH와 EC 측정(WM-22EP, TOA, Japan), 그리고 이온크로마토그래피(Metrohm, Switzerland)를 사용한 무기이온 농도 분석을 하였다. 추출한 용액의 중탄산 농도(mg·L-1)는 Bailey(1996)가 설명한 바에 따라 0.01N 황산으로 적정하여 분석하였다.
배양액 점적관주를 시작한 140일 후에 지상부 전체를 수확하여 식물체 무기원소 함량 분석을 위한 시료로 삼았다. 수확한 식물체의 세척, 건조, 분쇄 및 분석 방법, 그리고 분석을 위한 기자재는 Lee(2015)의 방법과 동일하였다. 전질소(T-N) 함량은 Kjeldahl 방법(McGill and Figueiredo, 1993)으로 분석하였다. 건조된 시료를 500°C의 회화로에서 건식회화시키고 0.01N HCl 용액으로 회화된 시료를 포집한 후(Choi, 1994) 원자흡광분석계(AA-7000, Shimadzu, Japan)로 K, Ca, Mg, Fe, Mn, Zn 및 Cu 함량을 분석하였다. 회화 후 포집한 시료의 인산 함량을 O’Halloran(1993)의 방법을 따라 분광광도계(UV MINI- 1240, Shimadzu, Japan)로 분석하였다.
식물 생육을 조사한 결과나 무기물 함량의 분석결과는 Duncan의 다중검정으로 처리간 차이를 비교하였으며, CoStat 프로그램 Ver. 6.3(CoHort Software, CA, USA)으로 통계분석을 하였다.
결과 및 고찰
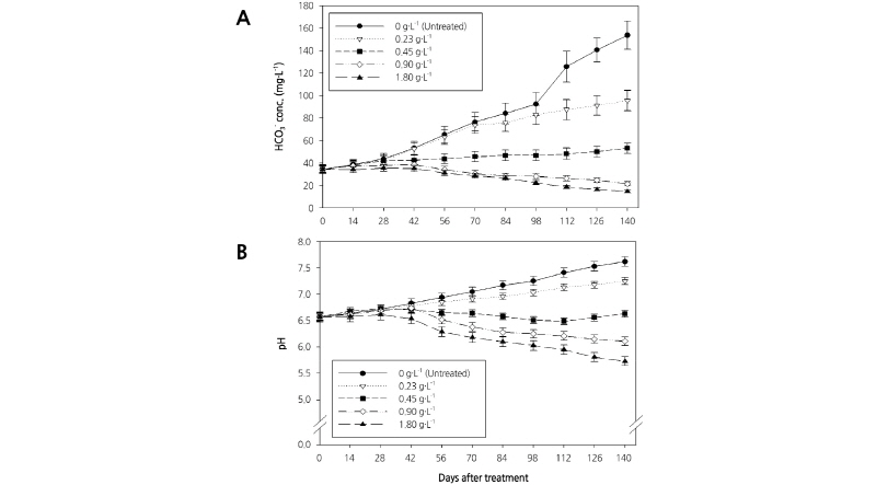
코이어 더스트와 수피 5:5(v/v) 혼합상토에 첨가된 유황 처리 수준이 토양용액 중탄산 농도와 pH에 미치는 영향은 Fig. 1과 같다. 토양용액 중탄산 농도는 유황을 0.90 및 1.80g·L-1로 처리한 구에서 시간이 경과할수록 낮아졌고, 0 및 0.23g·L-1 처리구는 상승하였으며, 0.45g·L-1 처리구는 유사한 수준을 유지하였다. 특히 0g·L-1 처리의 중탄산 농도는 150mg·L-1까지 높아졌다. 이와 같이 0.90과 1.80g·L-1 처리구의 중탄산 농도가 낮아진 이유는 서언에서 설명한 반응식에 의해 유황으로부터 발생한 H+ 이온이 HCO3-를 중화시켰기 때문이라고 생각한다. 또한 0.90 및 1.80g·L-1 처리구는 중탄산을 중화시키기 위해 필요한 양 이상으로 유황으로부터 H+가 발생하여 토양 pH를 낮추었고, 0.23g·L-1 처리구는 유황으로부터 발생한 H+가 토양용액에 존재하는 중탄산을 중화시키기에 양이 부족하여 중탄산 농도와 pH가 높게 유지된 원인이 되었다고 생각한다.

Fig. 1. Changes in bicarbonate concentration (A) and pH (B) in soil solutions of root media collected during vegetative propagation of ‘Seolhyang’ strawberry plants due to the incorporation of sulfur into coir dust+pine bark (5:5, v/v) medium used as pre-planting nutrient charge fertilizer. The excess bicarbonate concentrations in root media kept soil pH high be-cause H+ ions existed in root media decreased continuously by the reaction of H++HCO3-⇒H2O+CO2. The powered sulfur mixed into root media with various concentrations was altered to sulfuric acid by microorganisms (2S + 3O2 + 2H2O⇒2H2SO4+energy). The H+ ions released from sulfuric acid prevented built up of bicarbonate and the root media became more acidic. Vertical bars represent standard error of the mean of five replications.
‘설향’ 딸기 모주를 재배하면서 토양용액 내 무기원소 농도 변화는 Fig. 2에 나타내었다. K 농도는 유황 0, 0.23 및 0.45g·L-1 처리구에서 완만하게 상승했고, 0.90 및 1.80g·L-1 처리구에서 낮게 분석되었다. 0.90 및 1.80g·L-1 처리구에서 K 농도가 낮았던 것은 이들 처리구의 pH가 약산성으로 유지되어(Fig. 1) 식물체의 상대적인 K 흡수량이 0, 0.23 및 0.45g·L-1 처리구에 비해 많아진 것이 원인이라고 생각한다(Marschner, 2012). 토양용액의 Ca 및 Mg 농도는 처리 후 84일까지 모든 처리에서 서서히 높아지다가 그 이후로 완만하게 낮아졌으며, 처리구 간 차이가 뚜렷하지 않았다. NO3 농도는 유황 0 및 0.23g·L-1 처리구가 0.90 및 1.80g·L-1 처리구에 비해 높았는데 이는 근권부의 pH 상승에서 원인을 찾을 수 있다. Lindsay(2001)는 CaCO3 형태의 Ca이 토양용액에 존재할 때 CO2 농도가 10배 증가하면 토양용액 내 CaNO3+와 Ca(NO3)20 농도를 log 값으로 1단위씩 감소시킨다고 하였다[CaCO3는 토양수에 용해되어 Ca2+와 CO32-로 해리되며, CO32-는 pH가 낮아질 경우 HCO3-로 변화되므로 본 연구에서 인위적으로 농도를 높인 중탄산(HCO3-)과 동일한 반응 과정을 겪음]. 또한 pH 상승으로 토양용액 내 OH- 농도가 높아질 경우 혼합상토의 음이온 치환 부위에서 NO3-와 경합하며, 흡착하지 못한 NO3-의 양이 증가하고, 관수 시 배수공 밖으로 용탈되는 양이 증가한다. 이상 설명한 원인으로 인해 토양 용액 내 NO3- 농도가 낮아졌다고 생각한다. PO43- 농도는 pH 상승으로 무기 인산이 PO43-의 형태로 변하고, PO43-은 Ca2+ 등과 결합하여 불용화되어(Sposito, 1994; Lindsay, 2001) 흡수량이 저하(Hanan, 1998)되며, 토양 용액에 잔존하는 상대적인 양이 많았다고 생각한다. SO42-의 근권부 농도는 유황 시비수준이 높아질수록 처리 간 뚜렷한 차이를 보이며 상승하였고, 유황 시비수준이 높아짐에 따라 토양 용액에 산화된 황산(H2SO4)의 양이 증가한 것이 원인이라고 생각한다.

Fig. 2. Changes in macro-element concentrations in soil solutions of root media collected during vegetative propagation of ‘Seolhyang’ strawberry plants, which were influenced by sulfur in a dose-dependent manner. Sulfur was added to coir dust + pine bark (5:5, v/v) medium that was used as a pre-planting nutrient charge fertilizer during strawberry cultivation (A: K, B: Ca, C: Mg, D: NO3, E: PO4, F: SO4).
코이어 더스트와 수피(5:5, v/v) 혼합상토에 첨가한 유황의 처리 수준이 ‘설향’ 딸기 모주 생육에 미치는 영향을 Table 1에 나타내었다. 유황을 1.80g·L-1로 처리한 경우 엽수와 엽병장이 가장 많거나 길었지만 0.23, 0.45 및 0.90g·L-1 처리구와 통계적인 차이가 인정되지 않았다. 그러나 무처리구(0g·L-1)는 다른 처리와 유의한 차이를 보이며 가장 적거나 짧았다. 또한 유황의 처리 수준이 높아질수록 생체중 및 건물중이 무거워지는 경향을 보였지만 0.45g·L-1 이상 처리구 간에는 통계적 차이가 인정되지 않았다.
수확시기에 조사한 모주의 생장 및 생리장해 증상은 Fig. 3과 같다. 유황 0.45, 0.90 및 1.80g·L-1 처리구는 식물체가 정상 생육을 하였으나, 0 및 0.23g·L-1 처리구에서는 Ca 결핍증상인 팁번(tip-burn) 현상과 Mg 결핍증상인 노엽의 엽맥간 황화현상이 나타났고, 초장 및 엽병장 등 전체적인 생육이 저조하였다. 두 처리구에서 식물체에 발생한 증상이 Ca과 Mg 결핍증상임은 각각 Jeong et al.(2001)과 Choi et al.(2001)의 보고 내용을 통해 확인할 수 있으며, Marschner(2012)도 Ca과 Mg 결핍증상에 관해 유사한 보고를 한 바 있다. 그러나 0 및 0.23g·L-1 처리구에서 Ca 및 Mg 결핍증상이 발생한 원인은 Lindsay(2001)가 보고한 내용을 통해 판단할 수 있다. 그는 토양 pH가 산성조건일 때 매우 낮은 농도로 존재하던 CaHCO3+가 중성 쪽으로 pH가 변함에 따라 그 농도가 급격히 증가하며, 이는 토양용액의 Ca2+ 및 Mg2+의 농도가 낮아지는 주요 원인이 된다고 보고하였다. 특히 토양의 CO2 농도가 높은 경우 Ca2+ 및 Mg2+의 농도의 감소 정도가 심화된다고 하였으며, 그의 보고내용을 고려할 때 본 연구에서 Ca 및 Mg 결핍증상이 발생한 원인을 판단할 수 있다.

Fig. 3. Influence of the incorporation of sulfur into coir dust + pine bark (5:5, v/v) medium used as pre-planting nutrient charge fertilizer on the growth of mother plants in ‘Seolhyang’ strawberry at 140 days after nutrient solution treatment. The numbers shown in the image represent the concentrations of sulfur incorporated into the root medium (g·L-1).
대조구(0g·L-1)에서 ‘설향’ 딸기 자묘의 생육이 가장 저조했으며, 유황 처리 수준이 높아질수록 우수하였다(Table 2). 모주에서 발생한 런너의 길이, 1차 자묘의 생체중 및 건물중은 유황 0.90과 1.80g·L-1 처리 간 통계적 차이가 인정되지 않았고, 0.23g·L-1 처리구는 무처리와 비슷한 생육을 보였다(Fig. 4). 또한 0 및 0.23g·L-1 수준으로 유황을 혼합한 처리에서는 각종 미량원소의 결핍증상이 발현되었고, 결핍증상의 특징은 Choi and Lee(2012)의 보고 내용과 비교하여 Fe, Mn, Zn, Cu 및 B 등 각종 미량원소 결핍증상이 발현되었음을 확인할 수 있다. 아울러 토양용액의 pH가 상승할 때 Mo을 제외한 각종 미량원소의 불용화가 촉진되어 식물체 내 흡수량 감소 및 결핍증상 발현의 원인이 된다고 한 Lindsay(2001), Marschner(2012), Nelson(2012), 그리고 Sposito(1994)의 보고 내용을 고려하면 이해가 쉬워진다. 본 연구의 0 및 0.23g·L-1 처리는 토양용액 pH가 과도하게 높은 것으로 측정되었고, 높은 pH가 이들 미량원소의 흡수량 감소 및 결핍증상 발현의 주된 원인이 되었다고 판단한다. 특히 Nelson(2012)은 다량 및 미량원소 등 모든 필수원소가 모두 흡수할 수 있는 최적 pH 범위를 노지토양의 경우 6.2-6.7, 인공상토의 경우 5.8-6.2 범위로 제시한 바 있다.

Fig. 4. Influence of the incorporation of sulfur into coir dust + pine bark (5:5, v/v) medium used as pre-planting nutrient charge fertilizer on the growth of the first daughter plants in ‘Seolhyang’ strawberry at 140 days after nutrient solution treatment. The numbers shown in the image represent the concentrations of sulfur incorporated into the root medium for raising of mother plants (g·L-1). The changes in bicarbonate concentrations and pH in root medium for raising of mother plants influenced the growth of daughter plants.
이상 설명한 내용을 반영하듯 지상부 식물체의 무기원소 함량을 분석하여 나타낸 Table 3에서 T-N, P, K, Ca 및 Mg 함량은 유황 1.80g·L-1 처리구가 가장 높았고, 0.90g·L-1 처리구가 다음으로 높았으며, 0.23 및 0.45g·L-1 처리구에서 비슷하였고, 무처리구에서 가장 낮은 함량으로 분석되었다. Nelson(2012)이 제시한 적절한 pH 범위(5.8-6.2)를 유지한 유황 0.90 및 1.80g·L-1 처리구에서 이들 원소가 불용화되지 않으므로 흡수량이 증가한 것으로 판단하였다.
본 연구결과를 요약하면 코이어 더스트와 수피(5:5, v/v) 혼합상토로 ‘설향’ 딸기를 재배하면서 관개수의 중탄산 농도가 약 240mg·L-1로 분석될 때 그 피해를 경감하기 위해서는 0.90g·L-1 이상의 유황을 기비로 혼합하는 것이 효과적인 것으로 나타났다.





