Introduction
Materials and Methods
Plant Materials and Growth Conditions
Supply Period of Nutrient Solution Treatment for Runner Plants
Growth Characteristics and Flowering Response of Runner Plants
Analysis of Essential Mineral Elements Concentration
Fruit Quality and Strawberry Yield
Statistical Analysis
Results and Discussion
Growth Characteristics
Essential Mineral Elements Concentration of Runner Plants Leaves
Flowering Response, Fruit Quality, and Yield
Conclusion
Introduction
Strawberry (Fragaria × ananassa Duch.) is a perennial herbaceous plant of the rose family. It is an economically important horticultural plant widely grown in China, the US, Mexico, Egypt, Turkey,
Spain, Russia, Poland, Republic of Korea, and Japan (Hung et al., 2015; Lee et al., 2018). Strawberry fruit has low-calorie carbohydrate and high fiber content. In addition, it contains carotenoids, anthocyanins, phenol, flavonoids, vitamin C, and ellagic acid, which are known as anticancer substances and contribute to good health (Mass and Galletta, 1991; Kim et al., 2012; Manganaris et al., 2013; Kim et al., 2015). Strawberry also has low heating costs and has a stable price throughout winter, which makes it a representative low-temperature crop among greenhouse fruit and vegetable crops.
Seedlings or propagation are known to be very important in fruit vegetable crops. Accordingly, strawberry cultivation has a direct influence on the yield and quality of fruit after transplanting, so that the success of seedling quality accounts for 80% of total cultivation (Jun et al., 2014). Strawberry seedlings are cultivated from the end of March to the beginning of September. Unlike in other fruit vegetable seedlings, processes such as transplanting of strawberry mother plants, occurrence of runners and runner plants, fixation of runner plants, removal of runner plants from mother plants, and induction of flower bud differentiation require a period of 5 to 6 months (Na et al., 2014; Park and Choi, 2015). The June-bearing strawberry, which is cultivated currently in Republic of Korea, can artificially accelerate the flower bud differentiation period due to low temperature, short-day (SD) conditions, and low nitrogen concentration in the plant. Furthermore, fast shipments can boost price competitiveness. For that reason, in order to induce flower bud differentiation during the nursery period of strawberry cultivation from August to September, previous studies have focused on low-temperature storage of runner plants (Yoshida et al., 2012), low-temperature and SD conditions (Ruan et al., 2011; Jun et al., 2013; Sønsteby et al., 2016), red LEDs (600 to 700 nm) affecting strawberry flowering (Takeda et al., 2008), end-of-day far-red (735 nm) and plant age affecting strawberry flowering (Zahedi and Sarikhani, 2016), SD conditions and timing of nitrogen fertilization period (Sønsteby et al., 2009), timing of nutrient starvation (Kim et al., 2013), and defoliation (Kim et al., 2011) of strawberry. However, it is difficult to apply these techniques in conventional farms due to costs associated with facility maintenance, electricity and achieving the low-temperature and SD conditions.
The flowering of strawberries can be altered by water region and nutrient status of plants in particular by the concentration of nitrogen (N). N concentration in plants through nutrient solution management is a cost-effective way to control the flower bud differentiation. In this respect, while increasing the supply of nutrients for low-nutrient concentration in the plant body was found to generally increase flowering and fruit yield (Breen and Martin, 1981), the supply of excessive amounts of nitrogen among the plant’s essential elements was reported to inhibit flowering and thus lead to reduced yields (Sønsteby et al., 2009). Therefore, the correlation between the nitrogen concentration and the flower bud differentiation in strawberry runner plants is difficult to determine. Currently, the domestic cultivation trend is to adjust the timing of nutrient starvation to reduce the N concentration in the strawberry plant. However, it has been reported that when the N and phosphorus concentrations are significantly reduced, the flowering rate and fruit yield may not increase (Abbott, 1968; Yavari et al., 2008). In addition, problems such as the delay of consecutive budding of the second flower and the decrease in the number of flowers have occurred. Furthermore, the fresh weight and crown diameter of the runner plants due to rapid nutrient interruption may not be sufficient to accumulate assimilation products, and the yield and quality of fruits may decrease after transplanting.
Therefore, in the present study, we aimed to determine the effect of various supply periods of nutrient solution on the growth of runner plants as well as the flowering response, fruit quality, and yield of strawberry seedlings. We also aimed to confirm the feasibility of field application.
Materials and Methods
Plant Materials and Growth Conditions
The experiment was conducted in three plastic houses used as a strawberry nursery and an even-span greenhouse equipped with a hydroponic system at Gyeongsang National University, Republic of Korea. Mother plants of strawberry (Fragaria × ananassa Duch. cv. Maehyang) were planted (four per pot) using a strawberry cultivation container (61 × 27 × 18 cm, Hwaseong Industrial Co. Ltd., Okcheon, Republic of Korea) filled with coir (Shinan Grow Co. Ltd., Jinju, Republic of Korea) on March 22, 2017. During the cultivation period, the temperature of the plastic greenhouse was maintained at 26 ± 5°C during the day and 16 ± 5°C at night. In mid May, a 35% light shade net was installed above the greenhouse roof to prevent direct sunlight and sudden temperature rises. Nutrients of the strawberry mother plant were supplied using drip tapes with strawberry nutrient solution developed by Gyeongsangnam-do Agricultural Research and Extension. During the cultivation period, electrical conductivity (EC) was 0.6 dS·m-1, and 300 to 400 mL per culture pot was supplied 2 or 3 times (10 min per one times). Strawberry mother plants received uniform treatment through the removal of old leaves and axillary buds. The management of runners included removing all runners that occurred until the beginning of May, and runners and runner plants that started from mid May were proliferated. From July 4, 2017, runner plants were temporarily rooted by fixing in a propagation tray (60 × 34 × 10 cm, 24-cell, Hwaseong Industrial Co. Ltd., Okcheon, Republic of Korea) for 3 days. Afterwards, the leaves of the mother plant were removed. On August 5, 2017, the runners connected to the mother plants were cut off to separate the seedlings. This was followed by the supply period of nutrient solution using subirrigation.
After the completion of treatments, the runner plants were planted in pots in the even-span greenhouse on September 13, 2017 and cultivated hydroponically until 141 days after transplanting (DAT). During the 7 days of transplanting, EC 0.6 dS·m-1 nutrient solution was provided to induce new root development. The nutrient solution was adjusted by EC 0.6 dS·m-1 and pH 5.8 at the initial stage of transplanting, EC 0.8 dS·m-1 and pH 5.8 at 14 DAT (budding stage), EC 1.0 dS·m-1 and pH 5.8 at 49 DAT (flowering stage), and EC 1.2 dS·m-1 and pH 5.8 at 70 DAT (harvest stage). In the winter season, the nighttime temperature was maintained at the minimum temperature of 5°C using a warm air heater. In addition, until the strawberry flowering, the pesticide was sprayed every 4 to 7 days to control major diseases and insects, such as powdery mildew, anthrax, Bradysia agrestis, aphids, and mites.
Supply Period of Nutrient Solution Treatment for Runner Plants
On August 5, 2017, the runner plants were divided into 5 treatment groups: 4 groups received supply period treatments of nutrient solution and the control (W40) was supplied only tap water for 40 days. Supply period treatments of nutrient solution were as follows: 20 days of tap water and 20 days of nutrient solution supply treatment (the W20 + N20 group), 25 days of tap water and 15 days of nutrient solution supply treatment (the W25 + N15 group), 30 days of tap water and 10 days of nutrient solution supply treatment (the W30 + N10 group), and 35 days of tap water and 5 days of nutrient solution supply treatment (the W35 + N5 group) (Fig. 1). The analyses of tap water were Ca2+ 0.90, Mg2+ 0.49, SO42- 0.31, HCO3- 0.50 me·L-1, pH 7.3, and EC 0.2 dS·m-1. Nutrients were supplied using subirrigation with strawberry nutrient solution developed by Gyeongsangnam-do Agricultural Research and Extension (macro elements: NO3- 13.0, NH4+ 1.0, H2PO4- 4.0, K+ 6.0, Ca2+ 8.0, Mg2+ 4.0, SO42- 4.0 me·L-1; micro elements: Fe 3.0, B 0.5, Mn 0.5, Zn 0.2, Cu 0.04, Mo 0.04 mg·L-1, pH 6.5, EC 0.6 dS·m-1).

Fig. 1. Supply period of nutrient solution of runner plants in ‘Maehyang’ strawberry. W40, supply watering for 40 days; W20 + N20, supply watering for 20 days and nutrient solution for 20 days; W25 + N15, supply watering for 25 days and nutrient solution for 15 days; W30 + N10, supply watering for 30 days and nutrient solution for 10 days; and W35 + N5, supply watering for 35 days and nutrient solution for 5 days.
Growth Characteristics and Flowering Response of Runner Plants
On September 13, 2017, the plant height, root length, leaf length, and leaf width of the ‘Maehyang’ strawberry runner plants were measured according to the supply period of nutrient solution before transplanting. The crown diameter was measured using a vernier caliper (CD-20CPX, Mitutoyo Co. Ltd., Kawasaki, Japan), and the chlorophyll was measured using a portable chlorophyll meter (SPAD-502, Konica Minolta Inc., Tokyo, Japan). The fresh weights of shoot and root were measured using an electronic balance (EW220-3NM, Kern & Sohn GmbH., Balingen, Germany), and the dry weights of shoot and root, which were dried in an oven (Venticell-220, MMM Medcenter Einrichtungen GmbH., Planegg, Germany) at 70°C for 72 h, were measured using an electronic balance. Leaf area was measured using a leaf area meter (LI-3000, LI-COR Inc., Lincoln, NE, USA). After transplanting the runner plants, the budding ratio was investigated based on the clusters of primary and secondary inflorescences. The flowering plants were counted when the completely developed petals of primary and secondary flowers appeared.
Analysis of Essential Mineral Elements Concentration
In order to analyze the essential mineral elements concentration of the runner plants, the entire shoots of runner plants were dried at 70°C for 72 h using an oven, and then crushed into a fine powder using a mortar. One gram of whole shoot samples was burnt to ashes in a porcelain crucible in a microwave furnace (Model LV 5/11B180, Lilienthal, Berman, Germany) for 4 h at 525°C. The ash was dissolved in 5 mL of 20% HCl and then in 20 mL of hot distilled water. Next, 25 mL of cold distilled water was added, and the solution was filtered using filter paper. Total nitrogen (T-N), C, and S were analyzed using a large-capacity automatic element analyzer (TruMAC, LECO, Saint Joseph, MI, USA). P, K, Ca, Mg, Fe, Mn, Zn, and Cu were analyzed using ICP-AES (OPTIMA 4300DV, PerkinElmer Inc., Waltham, MA, USA).
Fruit Quality and Strawberry Yield
In order to measure the quality of ‘Maehyang’ strawberry fruit according to the supply period of nutrient solution, over 90% mature fruits were harvested at 3- to 5-day intervals for each treatment, and the fruit weight, fruit length, fruit diameter, fruit firmness, soluble solids content, and total acidity were measured. Fruit firmness was measured with a fruit-specific firmness tester (DFT-01, Proem, Seoul, Republic of Korea), and a 5-mm probe was attached to the same fruit area at a depth of 7 mm. Soluble solids content was measured using a digital refractometer (PR-201a, Atago, Tokyo, Japan) after removing the top 5 mm of the fruit and measuring the fruit juice, which was then expressed in oBrix. Total acidity was measured with an acidity meter (GMK-835N, GMK, Seoul, Republic of Korea) from 0.3 g of fruit juice in 30 mL of distilled water. Strawberry fruit was harvested from November 29, 2017 to January 31, 2018, and the number of total fruits was observed. Fresh weight over 10 g was recorded as the marketable fruit yield.
Statistical Analyses
The experiment was repeated three times with 20 plants per replicate and was laid out in a completely randomized block design. To determine the effect of the supply period of nutrient solution before transplanting, 9 strawberry runner plants per treatment were used to determine all growth characteristics. To analyze the essential mineral elements, 6 runner plant leaves were used for each treatment. To analyze the flowering response and total fruit yield and quality of strawberry after transplanting, 15 plants were used for each treatment. The statistical analyses were carried out using the SAS program (SAS 9.4, SAS Institute Inc., Cary, NC, USA). The experimental results were subjected to an analysis of variance (ANOVA) and Tukey’s test. Graphing was performed with the SigmaPlot program (SigmaPlot 12.0, Systat Software Inc., San Jose, CA, USA).
Results and Discussion
Growth Characteristics
Table 1 summarizes the growth characteristics of runner plants of ‘Maehyang’ strawberry according to the supply period of nutrient solution. Plant height, root length, petiole length, and leaf width were not significantly different in all treatments. Leaf length was significantly higher in the W20 + N20 group than in the groups that received other treatments. In addition, the crown diameter was the thickest at 13.9 mm in the W20 + N20 group, which was treated with nutrient solution for a long time period. In strawberry, the crown contains the apical meristem, and the leaf bud or flower bud are differentiation. It has been reported that the crown optimum planting depth (Yoshida and Motomura, 2011) or the local cooling of the crown (Hidaka et al., 2017), correlated with the flower bud differentiation. Furthermore, Kang et al. (2011) suggested that the thickness of the crown diameter is a main factor for judging of the quality of strawberry runner plants. Specifically, the thickness of the strawberry crown diameter was found to be positively correlated with yield and quality of the total fruit after transplanting (Faby, 1997). It has also been reported that when runner plants with a crown diameter of 8 mm or more are used for transplanting, the growth of plants, quick harvesting, and production of the whole fruit increase compared to runner plants with a small crown diameter (Durner et al., 2002; Cocco et al., 2010). Producing strong runner plants with a thick crown makes it possible to overcome the environment stress (Kim et al., 2010). In addition, this strategy makes it possible to produce strawberry fruits for a long time until the next year. In the present study, it was also possible to produce runner plants with a thick crown diameter in the W20 + N20 treatment group, where the nutrient supply period was long. The chlorophyll content (SPAD) was distributed in the range of 36.5 to 39.5; the longer the nutrient supply period, the higher the tendency. However, the differences across groups were not statistically significant.
In the ‘Chandler’ cultivar of strawberry, when runner plants with fresh weights of 9.9 and 0.9 g were transplanted, it was reported that the rate of survival and the yield of fruit increased by 10% in heavy runner plants (Takeda et al., 2004). In the present study, the fresh weight of shoot in the W20 + N20 group was 15.6 g, which was superior to the groups that received other treatments (Table 2). These results indicate that the fresh weight of runner plants increased with an increase of the amount of fertilizer supply (Yoon et al., 2018). Similarly, in the W20 + N20 treatment group that had the heaviest fresh weights of shoot, the yield of fruit was expected to be affected after transplanting. In a study of the impact of the high level of EC treatment during the nursery period of ‘Sulhyang’ cultivar, Park et al. (2015) reported that the growth of shoots was promoted, while the growth of roots was inhibited. However, there was no significant difference in the ‘Maehyang’ cultivar between the fresh weights of root, dry weights of shoot, and root across all treatments. In the W20 + N20 treatment group in which the nutrient supply period was the longest, the leaf area was the highest at 363.9 cm2, and it was about 1.4 times higher than in W40 (control).
Essential Mineral Elements Concentration of Runner Plants Leaves
When the nutrient supply period for seedlings was different, the T-N concentration of runner plants was 0.21-0.22%, with no significant differences across the groups (Table 3). However, the concentration of C was the highest at 1.64% in the W20 + N20 group, followed by 1.39% in the W25 + N15 group. Under the influence of C, the C/N ratio of runner plants amounted to 7.81% in the W20 + N20 group. In addition, the concentration of P, Mg, and S showed a high tendency in the treatments with a long supply of nutrient solution, such as the W20 + N20 and the W25 + N15 groups. With regard to microelements, no significant differences were observed in Mn, Zn, and Cu, except for Fe, in the groups with treatment compared to W40 (Table 4). In previous research, the concentration of N in June-bearing strawberry, which is more sensitive to low-temperature and SD conditions in the flowering reaction, was reported to be a supplementary factor; furthermore, the concentration of excessively high N in the plants was reported to inhibit flowering (Sønsteby et al., 2009). However, in the present study, the concentration of N did not increase in the W20 + N20 group that received nutrient solution for a long period of time. In addition, although the concentration of P in plants does not affect the flowering reaction as much as N, it was also found that insufficient P does not increase the flowering rate (Yavari et al., 2008). Consequently, further in-depth research is needed to improve the growth rate by increasing the concentration of macroelements in the runner plants of ‘Maehyang’ strawberry and to improve the flowering rate with appropriate concentrations of N and P.
Flowering Response, Fruit Quality, and Yield
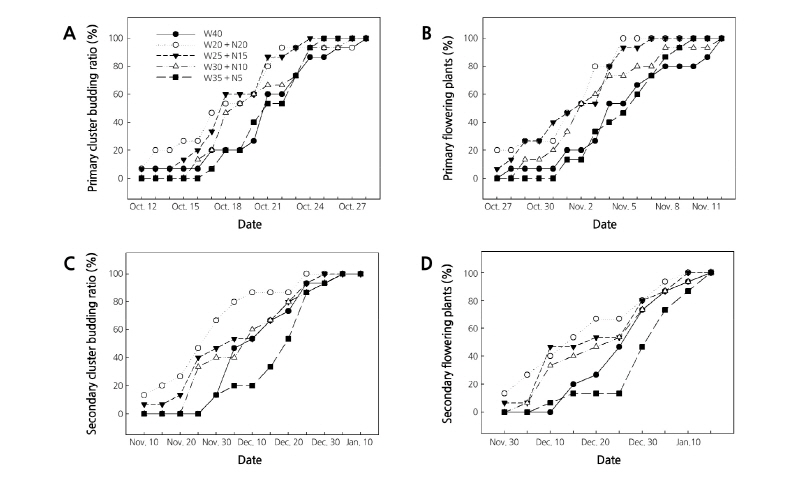
The budding ratio and flowering plants of the primary and secondary inflorescences are shown in Fig. 2. Primary budding started in the W40, W20 + N20, and W25 + N15 treatment groups before October 12th, and the W30 + N10 and W35 + N5 treatments were delayed (Fig. 2A). However, there was a consecutive budding ratio in the W20 + N20 and W25 + N15 treatment groups. The flowering plants in the primary inflorescences were also similar in terms of the budding ratio results (Fig. 2B). The W20 + N20 treatment group showed flowering plants about 2 to 7 days faster than in other treatment groups, and the lowest flowering plants appeared in the W40 group. The budding ratio in the secondary inflorescences also showed a tendency to appear faster by about 5 days compared to other treatment groups in the W20 + N20 treatment (Fig. 2C), and the flowering plants in the secondary inflorescences continuously developed and were not delayed in the W20 + N20 treatment group (Fig. 2D). ‘Maehyang’ strawberry was enhanced in the budding ratio and flowering plants in the W20 + N20 treatment, and no negative effects were observed by the supply of nutrient solution. For that reason, the flower response in ‘Maehyang’ strawberry probably was affected by the C/N ratio, P, and other essential mineral concentrations in plants (Tables 3 and 4). Generally, a high C/N ratio should be conducive to floral initiation (Sønsteby et al., 2016). In addition, the W20 + N20 treatment seemed to induce fast flowering by a positive influence on seedling quality, including crown diameter and total fresh weight (Tables 1 and 2).
Fruit characteristics, such as weight, length, diameter, firmness, soluble solids content, and acidity, are shown in Table 5. The average weight of fruit was 14.0 g in the W35 + N5 treatment group, which was higher than in the W40 group (12.1 g), though the difference did not reach statistical significance. The length and diameter of fruits in the W35 + N5 group were higher (40.9 and 27.5 mm, respectively), but this tendency was not found for the supply period of nutrient solution during the nursery period. Jun et al. (2014) reported that the fruit quality of ‘Daewang’ strawberry, according to the strength of nutrient solution during the seedling period, was not significantly different, except for soluble solids content. In the case of ‘Sulhyang’ and ‘Maehyang’ cultivars, there was a significant difference in the fruit length, diameter, and weight according to the levels of nutrient solution after transplanting (Jun et al., 2011; Jun et al., 2013). Likewise, fruit quality of ‘Ssanta’ cultivar, such as length, diameter, and weight, were affected by EC levels after transplanting; specifically, with low nutrient solution of 0.6 to 0.8 dS·m-1, the strawberry fruits were enlarged (Jun et al., 2012). In addition, in ‘Berrystar’ and ‘Jukhyang’ cultivars, the weight and length of fruit were significantly different due to the changes in the nutrient solution after transplanting (Choi et al., 2017). However, in this study, fruit quality was not greatly affected by different treatments, as all plants were cultivated in identical environmental conditions, with the same nutrient supply and EC levels after transplanting. In fruit crops, the levels of nutrient solution or restricted water content can increase the soluble solids content (Li et al., 2001; An et al., 2012; Chang et al., 2012). Furthermore, high EC levels resulted in relative water deficiency by limiting water movement to the cherry tomato, and the deficiency in water caused stress and increased the soluble solids content and total acidity (Kim et al., 2013). However, in the present study, soluble solids content and total acidity were not significantly different across the treatment groups. Overall, fruit quality was not affected by the supply period of nutrient solution during the nursery period, probably because there was no significant difference in EC levels after transplanting.
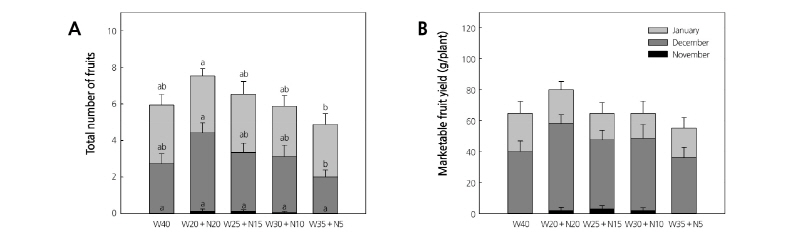
To determine the number of fruits and marketable fruit yield according to the supply period of nutrient solution, harvesting began on November 29 in the W20 + N20, W25 + N15, and W30 + N10 treatment groups (Fig. 3A). With an increase of the supply of nutrient solution, the flower bud differentiation was promoted, the budding ratio was faster, and the flowering plants were shortened (Fig. 2), and the harvesting time was also shortened in the W20 + N20, W25 + N15, and W30 + N10 groups. The number of fruits harvested in December and January was significantly higher in the W20 + N20 treatment group. According to Kim et al. (2013), the strawberry yield was the highest with the earliest independence of runner plants from mother plants, the nutrient supply was quickly discontinued, and the differentiation of the flower bud rapidly occurred. However, in the present study, the opposite results were obtained, which could be explained by different growth responses, growth characteristics, and amount of fertilizer depending on the cultivar (Choi et al., 2009; Choi et al., 2013). In addition, due to the inherent characteristics of strawberry genotypes, a wide variation in the flowering response was observed in different cultivars (Marcit et al., 2007; Rahman et al., 2014). The starvation of too early nutrients in ‘Maehyang’ cultivar slows down the budding ratio and flowering plants after transplanting, making it difficult to produce a large number of fruits due to high cost. The difference in marketable fruit yield was not statistically significant but showed a similar trend in terms of the number of fruits (Fig. 3B). In the W20 + N20 treatment group, the marketable fruit yield of the product in December was higher than in other treatment groups; furthermore, the total number of marketable fruits was the highest in the W20 + N20 treatment group. These results demonstrate that an additional pulse of nutrient supply during floral initiation enhances yield by stimulation of flower bud differentiation and the development of a flower. These latter results are consistent with the results previously reported for strawberry and black currant plants (Sønsteby et al., 2009; Sønsteby et al., 2017).

Fig. 3. The total number of fruits (A) and marketable yield (B) of ‘Maehyang’ strawberry as affected by supply period of nutrient solution. Vertical bars represent the standard error of the mean (n = 15). Different letters in the same column indicate significant differences based on Tukey’s test (p ≤ 0.05). Refer to Fig. 1 for details on supply period of nutrient solution.
Conclusion
These findings suggest that supplying nutrient solution for 20 days before transplanting yielded the best results in ‘Maehyang’ cultivar high-quality seedling production, rapid flowering and high yields after transplantation, rather than nitrogen interruption for flower bud differentiation in commercial cultivation techniques. In addition, we can increase strawberry yield, and thus income, during the winter season due to the quick flower response. These results are expected to be useful for application in hydroponic cultivation for nutrient solution management of strawberry during the nursery period.








