서 언
온실 작물 생산 시 생산성을 최대화시키기 위해서는 물리·화학성이 적합하고 적당량의 기비를 포함하며 함수량이 적절히 조절된 혼합상토를 최적밀도로 용기에 충전하고, 재배 중 적절한 농도와 방법으로 추비를 조절해야 한다(Lee and Chang, 2017; Sonneveld and Voogt, 2009). 아울러 이상의 조건들이 적절하게 조절될 때 재배기간이 단축되어 생산비가 절감되는 효과도 나타날 수 있다.
온실 내에서는 비료를 물에 용해시켜 시비와 관수를 겸하는 방법으로 식물에 비료용액을 공급하고 있다. 과거로부터 현재까지 주로 두상관수(overhead irrigation) 방법으로 양액을 공급하고 있지만, 이 방법은 포트나 베드 등 용기 안에 충전된 상토에 보유되는 비료용액보다 유실되는 양이 많아 지하수나 온실 주변 토양의 염농도를 높이기 때문에 심각한 환경오염의 원인이 되어 왔다. 환경오염을 감소시키기 위하여 배출된 비료용액을 수집하여 소독하고 작물재배에 다시 이용하는 순환식 양액재배 방법(closed cultivation system)이 미국이나 유럽에서 보편적으로 적용되고 있다(Moliter, 1990). 미국의 경우 환경오염을 줄이기 위해 법령을 제정하여 지하수나 온실토양으로 폐양액의 유출을 금지하고 있다(Federal Register, 1992).
순환식 저면관수 방법으로 작물을 재배하면 관행적인 방법인 점적관수나 스프링클러에 의한 두상관수보다 관수량이 약 40-70% 이상 감소하여(Todd and Reed, 1998) 환경오염을 획기적으로 줄일 수 있는 장점이 있다. 그러나 저면관비 후 상토의 미세공극을 통해 모세관력에 의한 비료용액의 상승으로 상토에 염류가 집적되고 전기전도도(electrical conductivity, EC)가 높아지며, 과도하게 EC가 높아질 경우 보편적으로 식물생육이 저조해진다. 그러나 관비용액이 모세관력에 의해 용기 아래쪽에서 표면 쪽으로 이동할 때 관비용액에 용해되어 이온 상태로 존재하는 각종 무기원소의 이동 및 집적에 관해 국내에서 수행된 연구 결과가 없다. 특히 양이온교환부위에 쉽게 흡착되어 이동성이 낮을 것으로 예상되는 K+, Ca2+ 및 Mg2+ 등의 양이온과 비교적 이동속도가 빠르고 쉽게 상층부에 집적될 것으로 예상되는 NO3-, H2PO4- 및 SO42- 등 음이온의 이동 및 집적이 달라질 것으로 예상하지만 원소 종류별 표면토양의 축적량에 관해 보고된 결과가 없다.
이상 열거한 연구 결과들이 도출된다면 순환식 양액재배 방법이 국내에 정착됨에 있어 중요한 자료가 될 수 있다고 생각하여 이 연구를 수행하였다. 연구목적을 달성하기 위해 코이어더스트+팽연왕겨(8:2, v/v) 혼합상토를 이용하여 적축면 상추를 재배하면서 순환되는 양액의 화학성 변화, 그리고 상토를 상부, 중부 및 하부의 3부분으로 구분하여 상토에 축적되는 무기원소의 종류 및 농도를 분석하였다.
재료 및 방법
상토 조제와 화학성 조절
신성미네랄(Shinsung Mineral Co., Ltd., Jincheon, Korea)이 인도에서 수입한 코이어더스트(coir-dust, 이하 CD)와 대원 GSI(Daewon GSI Co., Ltd., Chilgok, Korea)가 생산한 팽연왕겨(expanded rice hull, 이하 ERH)를 부피 기준으로 8:2의 비율로 혼합한 상토를 조제하였다. Choi et al.(2012, 2015)의 방법으로 측정한 상토의 물리성은 공극률 89.5%, 용기용수량 67.5%, 기상률 22.0%, 그리고 용적비중 0.12g·cm-3였다. 상토 조제과정에서 기비를 혼합하였으며 비료의 종류 및 양은 다음과 같다: 고토석회 4.5g·L-1,용과린(KG chemical Co., Ltd., Sungnam, Korea) 3.38g·L-1, KNO3 0.6g·L-1,Ca(NO3)2·4H2O 0.6g·L-1, MgSO4·7H2O 0.15g·L-1, CaSO4·2H2O 0.75g·L-1, 그리고 미량원소복합제[(주)Dof, Pyeongtaek, Korea] 2g·L-1였다.
작물 및 환경조건
실험 작물인 ‘뚝섬적축면’ 상추[Lactuca sativa L., (주)코레곤)는 온도를 20°C로 조절한 생장상에서 발아시킨 후 본엽 2-3매가 될 때까지 육묘하고 준비된 포트에 정식하였다. 정식을 위한 용량 0.17L의 플라스틱 포트는 기비를 포함한 CD+ERH 상토가 충전된 상태였다.
작물을 정식한 포트는 내부에 순환식 저면관수 베드(Fixed MGS Bed, Saeki RTN Co., Jincheon, Korea)가 설치된 충남대학교 유리온실에 위치시키고 5주간 재배하였다. 재배기간 중의 온실 내 환경은 평균 주간온도 33°C, 야간온도 17°C, 상대습도 40-60%, 광합성 유효광량자속 300-400µmol·m-2·s-1의 조건이었다. 오전 12시부터 오후 3시까지는 작물 보호를 위해 차광하여 광합성 유효광량자속이 150-200µmol·m-2·s-1까지 낮아졌고, 야간에는 측창을 닫아 상대습도가 70-80%까지 높아졌다.
양액 조성 및 농도
염기성 비료를 조제하여 추비를 위한 양액으로 삼았으며 그 조성은 다음과 같았다: Ca(NO3)2·4H2O 0.059g·L-1, Mg(NO3)2·6H2O 0.053g·L-1, KNO3 0.048g·L-1, KH2PO4 0.003g·L-1, K2SO4 0.002g·L-1,NH4H2PO4 0.005g·L-1, 미량원소복합제[(주)Dof, Pyeongtaek, Korea] 0.2g·L-1. 양액통(200L)에 상기한 비율로 조성된 양액을 조제하고 무처리(지하수), 100mg·L-1, 200mg·L-1, 300mg·L-1의 4처리를 두어 실험하였으며, 양액의 농도는 질소를 기준으로 조절하였다. 100mg·L-1 처리를 기준으로 한 양액의 다량원소 농도(mM)는 NH4-N 0.43, K+ 0.52, Ca2+ 0.25, Mg2+ 0.21, NO3-N 1.39, H2PO4- 0.07, SO42- 0.01였다. 지하수는 pH 6.7, EC 0.23dS·m-1, 그리고 각 이온의 농도(mg·L-1)는 HCO3- 90, NO3-N 10.2, Na+ 11.8, K+ 0.5, Ca2+ 22.8, Mg2+ 2.2, 그리고 SO42- 12.6였다.
4개의 순환식 저면관수 베드에 50주의 적축면 상추를 정식하여 실험하였다. 조성된 양액은 순환식 베드에 30분 간격으로 1회, 매 관비 시 10분간 저면관비 해주었다. 재배 중 저면관수로 인해 pH가 적축면 상추 생장에 적합하지 않은 수준으로 상승하는 것을 고려하여 양액을 모아 매주 1회 35-37%의 HCl을 이용하여 pH가 6.0이 되도록 조절하였다.
양액의 화학성 분석
순환식 저면관수 시 지속적으로 순환되어 공급되는 양액의 주차별 화학적 특성을 분석하고자 양액통에서 약 15mL의 시료를 채취하였고 55.5g·L-1로 용해시킨 phenylmercuric acetate를 1µL 첨가하여 채취한 시료의 변성을 막았다. 이후 시료의 pH 및 EC를 측정하고(Multi Meter CP-500L, Istek Co., Sungnam, Korea) 이온크로마토그래피(Waters 432 Conductivity, Younglin, Seoul, Korea)로 양액의 다량원소 농도를 분석하였다. 상토의 경우 정식 5주 경과 후 저면관수 전용 pot에 충전되어 있던 혼합상토를 상부, 중부, 하부로 3등분으로 분리하여 수집한 후 포화추출법(Warncke, 1986)으로 추출하였고, 추출한 용액의 화학성을 양액 분석과 동일한 방법으로 분석하였다.
생육조사
추비 농도가 적축면 상추 생장에 미친 영향을 확인하기 위해 정식 5주 후에 생육조사를 하였다. 생육조사 항목은 지상부의 엽수, 엽장, 엽폭, 초장, 초폭, 생체중 및 건물중이었고, 엽록소 측정계(Chlorophyll Meter SPAD-502, Konica Minolta Sensing, Inc., Japan)를 사용하여 SPAD 값을 측정하였다.
통계 분석
각 처리별 무작위로 선정된 상추 10주를 생육조사한 뒤 p ≤ 0.05 수준의 최소유의차 검정 및 1, 2차항 회귀분석을 수행하였다(CoStat 프로그램, Moneterey, CA, USA). 매주 채취한 양액의 화학성과 정식 5주 후 채취한 상토 부위별 화학성은 SigmaPlot(Systat Software Inc., San Jose, CA, USA)을 사용하여 표준오차를 그림에 나타내었다.
결과 및 고찰
정식 5주 후에 생육을 조사한 결과, 비료의 농도가 높아짐에 따라 모든 생육조사 항목에서 통계적으로 유의하게 값이 높아졌고, 300mg·L-1 처리에서 생체중과 건물중이 각각 33.3g 및 2.04g으로 생육이 가장 우수하였다(Table 1). 100mg·L-1 처리보다 200mg·L-1 처리에서 생체중이 약 1.5배 무거웠고, 200mg·L-1 처리보다 300mg·L-1 처리에서 생체중과 건물중이 각각 약 2.1배 및 2.2배 무거웠다. 나머지 생육조사 항목에서도 생체중 및 건물중 증가와 유사한 비율로 생장량이 증가하는 경향을 보였으며, 조사한 모든 생육지표에서 0.001% 수준의 직선회귀가 성립하여 경향이 뚜렷함을 알 수 있었다.
정식 후 5주간 양액의 pH 및 EC 변화를 측정한 결과(Fig. 1), 정식 3주 후까지는 대조구의 pH가 가장 높았지만 양액을 시비한 처리구들 간에는 비료농도가 높아질수록 pH가 높은 경향이었다. 정식 3주 후까지 대조구의 pH가 높았던 것은 재료 및 방법에서 나타낸 바와 같이 지하수의 중탄산 농도가 높았던 것이 주요한 원인이 되었다고 생각하며, 3주 이후에 pH가 급격히 낮아진 것은 지하수의 중탄산이 식물 뿌리로부터 발생한 H+와 결합하여 중화되었기 때문이라고 생각한다(Lee, 2015). 이 실험에서 양액의 pH가 적축면 상추의 생육에 적합하지 않은 수준까지 상승하는 것을 방지하기 위해 매주 배수된 양액을 모은 후 HCl을 첨가하여 pH를 6으로 조절하였다. 정식 2주차까지는 대조구(지하수) pH가 더 높아 200L 양액에 HCl 11mL를, 300mg·L-1 처리는 7mL를 첨가하였으나, 정식 3주 이후부터는 시비농도가 높을수록 pH가 급격하게 상승하여 매주마다 대조구는 HCl 6mL, 100mg·L-1 처리는 8.5mL, 200mg·L-1 처리는 10mL, 300mg·L-1 처리는 14mL의 HCl를 첨가하였다(data 미제시). 시비 농도가 높아질수록 pH를 6으로 조절하기 위한 HCl 첨가량이 증가한 이유는 양액에 용해된 N 성분이 대부분 NO3- 형태이고, 식물체가 NO3-를 흡수할 경우 근권부에서 H+ 농도가 낮아져 pH를 높이기 때문이다(Marschner, 2012).

Fig. 1. Changes in pH and electric conductivity (EC) of drained nutrient solution during the red leaf lettuce cultivation. The root substrate used was a mixed medium of coir dust + expanded rice hull (8:2, v/v). Treatments shown with different symbols indicate the concentration of sub-irrigated fertilization solutions based on nitrogen concentration: Control (0 mg·L-1) treatment, just watering with ground water; 100 mg·L-1 treatment contains (mM) 0.43 NH4-N, 0.52 K+, 0.25 Ca2+, 0.21 Mg2+, 1.39 NO3-N, 0.07 H2PO4-, 0.01 SO42-; 200 and 300 mg·L-1 treatments, twice or 3 times as much as 100 mg·L-1 treatment in all nutrients. The data presented are the mean of three replicates ± standard error.
순환되는 양액의 EC는 비료 농도의 영향을 받아서 시비수준이 높을수록 높았고, 처리간 차이가 뚜렷하였다. 재배기간이 경과하면서 모든 처리의 양액 EC가 상승하는 경향을 보였는데, 이는 양액에 용해된 비료 성분보다 물의 흡수량이 많았고, 물보다 상대적으로 적은 무기원소 흡수량으로 인해 농축현상이 발생하였다고 판단하였다.
매주 1회 양액을 채취하여 무기이온 농도를 분석한 결과 시비수준이 높아질수록 양액의 NO3- 농도가 높아져 대조구가 1-14mg·L-1, 그리고 300mg·L-1 처리는 640-944mg·L-1의 범위로 분석되었다(Fig. 2). Table 1에 나타낸 것과 같이 시비수준이 높아질수록 작물 지상부 생장량이 증가하였으며, 이는 질소 농도가 작물 생장에 큰 영향을 미친다는 것을 의미한다.

Fig. 2. Weekly changes in macro-nutrient concentrations of the drained solution during red leaf lettuce cultivation. The root substrate used was a mixed medium of coir dust + expanded rice hull (8:2, v/v). Treatments shown with different symbols indicate the concentration of sub-irrigated fertilization solutions based on nitrogen concentration: Control (0 mg·L-1) treatment, just watering with ground water; 100 mg·L-1 treatment contains (mM) 0.43 NH4-N, 0.52 K+, 0.25 Ca2+, 0.21 Mg2+, 1.39 NO3-N, 0.07 H2PO4-, 0.01 SO42-; 200 and 300 mg·L-1 treatments, twice or 3 times as much as 100 mg·L-1 treatment in all nutrients. The data presented are the mean of three replicates ± standard error.
이 연구에서 양액의 PO43- 이온을 분석한 결과, 모든 처리구에서 0-4.5mg·L-1의 값으로 매우 낮은 수준으로 나타났다. 인산은 상토에 기비로 포함된 양이 매우 적고, pH 변화에 따라 양액 내의 인산 활성도(activity)가 큰 영향을 받으며(Lindsay, 2001), pH가 상승할 경우 Ca2+나 Mg2+와 결합하여 불용화된다(Hanan, 1998). 따라서 양액의 인산농도가 낮아진 것은 식물 흡수량 증가에 따라 양액에 존재하는 양이 감소한 것과 pH 상승을 통해 불용화된 양이 증가한 것이 주요 이유라고 생각한다. Fig. 2에 나타낸 바와 같이 양액의 Ca2+ 및 Mg2+ 농도가 지속적으로 높아져 PO43-을 불용화시킬 가능성이 높아졌다고 생각하며, 이 연구에서 PO43- 농도가 낮아진 것이 이를 입증한다고 생각한다.
Ca2+와 Mg2+는 양액 조제과정에서Ca(NO3)2·4H2O와 Mg(NO3)2·6H2O 비료를 용해시켜 공급하였으며 시비수준이 높아질수록 두 이온의 양액 내 농도도 높아졌다. Argo and Biernbaum(1996)은 화훼류를 재배하면서 작물생산을 위한 최적의 Ca2+와 Mg2+의 농도가 각각 80mg·L-1 및 35mg·L-1 전후라고 보고한 바 있으며, 이 연구의 300mg·L-1 시비구는 Ca2+ 58-79mg·L-1, 그리고 Mg2+이 23-36mg·L-1로 분석되어 적축면 상추재배에 적합한 농도 범위라고 판단하였다.
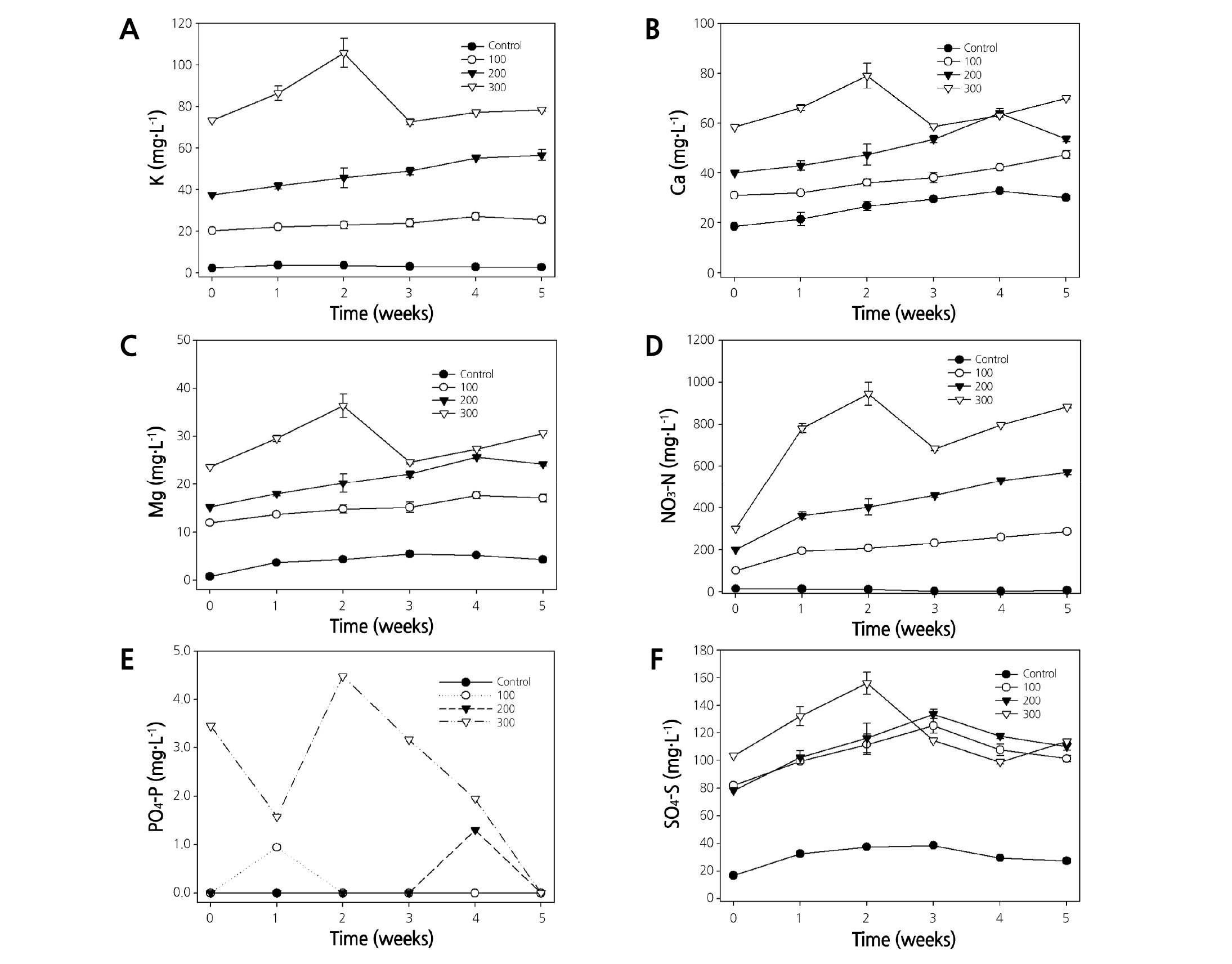
상토의 수직적 분포에 따라 집적되는 염류의 양을 알아보기 위해서 5주간 순환식 저면관수 조건에서 적축면 상추를 재배한 포트 내 상토를 상단, 중단 및 하단부로 나누어 채취한 후 포화추출하여 pH, EC 및 무기이온 농도를 분석하였다(Figs. 3 and 4). 시비수준이 높았던 300mg·L-1 시비구는 상부의 pH가 높았지만 대조구, 100mg·L-1 및 200mg·L-1 시비구는 상토의 높이별로 뚜렷한 경향을 찾을 수 없었다. 300mg·L-1 시비구에서 상부의 pH가 높아진 것은 상토의 염기포화도와 연관지어 판단할 수 있다. Bunt(1988)는 상토의 양이온 치환부위에 흡착되는 K, Ca 및 Mg의 비율이 60-80%를 차지할 때 상토의 pH가 적절한 범위에 포함되며 염기포화도가 높아질 경우 pH가 높아진다고 하였다. Fig. 4에 나타낸 바와 같이 모든 처리에서 상층부의 Ca2+과 Mg2+ 농도가 중부 또는 하부보다 2배-3배 가량 높았으며 높은 농도로 집적된 알칼리성 염기류가 pH를 상승시킨 원인이 되었다고 생각한다.

Fig. 3. The pH and electrical conductivity (EC) of top, middle, and bottom parts of coir dust + expanded rice hull root medium (8:2, v/v) measured by saturated paste extract method at 5 week after transplant in red leaf lettuce. Treatments shown with different symbols indicate the concentration of sub-irrigated fertilization solutions based on nitrogen concentration: Control (0 mg·L-1) treatment, just watering with ground water; 100 mg·L-1 treatment contains (mM) 0.43 NH4-N, 0.52 K+, 0.25 Ca2+, 0.21 Mg2+, 1.39 NO3-N, 0.07 H2PO4-, 0.01 SO42-; 200 and 300 mg·L-1 treatments, twice or 3 times as much as 100 mg·L-1 treatment in all nutrients. The data presented are the mean of three replicates ± standard error.

Fig. 4. The macro-nutrient concentrations in top, middle, and bottom parts of coir dust + expanded rice hull root medium (8:2, v/v) five week after transplanting red leaf lettuce. Treatments shown with different symbols indicate the concentration of sub-irrigated fertilization solutions based on nitrogen concentration: Control (0 mg·L-1) treatment, just watering with ground water; 100 mg·L-1 treatment contains (mM) 0.43 NH4-N, 0.52 K+, 0.25 Ca2+, 0.21 Mg2+, 1.39 NO3-N, 0.07 H2PO4-, 0.01 SO42-; 200 and 300 mg·L-1 treatments, twice or 3 times as much as 100 mg·L-1 treatment in all nutrients). The data presented are the mean of three replicates ± standard error.
EC는 예상했던 것처럼 모세관력에 의해 상승한 비료용액이 표토에서 물만 증발하고 염류가 잔존하면서 무기염 집적을 촉진시켜 상층부 상토의 EC가 높아졌다. 그러나 Fig. 3에서 나타낸 바와 같이 300mg·L-1 시비구의 상부와 하부 EC 차이는 약 0.5dS·m-1지만 대조구, 100mg·L-1, 그리고 200mg·L-1 시비구의 상부와 하부 EC 차이는 0.7-0.9dS·m-1 범위로 나타났다. Montesano et al.(2010)의 연구에서도 유사한 결과가 나타났는데, 시비수준이 높을 경우 용기 내 모든 상토의 EC를 높이고 뿌리 주변에도 식물이 흡수하고 남은 많은 양의 무기염이 존재하여 뿌리 주변과 표토의 EC 차이가 적었다. 그러나 시비수준이 낮을 경우 무기염 성분이 상층부로 이동된 후 지속적으로 집적되어 상부 EC는 높지만 뿌리 주변은 식물 흡수로 인해 쉽게 농도가 낮아지고 상부와 하부의 EC 차이가 크게 나타났다고 판단하였다.
무기원소의 수직적 농도 분포는 상토 상부에서 높은 농도로 분석된 NO3-, PO43-, Ca2+, Mg2+과 경향이 나타나지 않은 NH4+과 K+으로 분류할 수 있다(Fig. 4). 상토 상부에 무기염이 집적되는 정도는 개별 무기원소의 이동성과 밀접한 관련이 있다고 생각한다. Raviv and Lieth(2008)는 식물에 주로 공급되는 NO3는 상토 내에서 이동성이 매우 높으며 이동의 추진력은 집단류(mass flow)라고 하였다. 이를 반영하듯 무처리구의 상토 내 NO3-N 농도(상부, 중부 및 하부의 평균 농도)가 약 15mg·L-1였지만 300mg·L-1 처리의 평균 농도는 약 620mg·L-1로 분석되었고, 이는 약 41배 이상 높은 농도로서 이동성이 높음을 나타내고 있다. 그러나 이동성이 낮은 원소인 K나 P는 확산(diffusion)에 의해 이동하고, K의 경우 상토의 양이온치환 부위에 쉽게 흡착되어 이동성이 더욱 낮아진다고 하였다. K나 P의 낮은 이동성과 함께 식물체에 의한 흡수 및 다른 원소와의 결합도 상토 부위별 농도차이를 유발한 원인이 되었다고 생각한다.
Jones(2005)는 작물이 생장하면서 백만 개의 N 원자를 흡수할 때 대략 K 250,000, Ca 125,000, Mg 80,000, P 60,000, 그리고 S 30,000개가 흡수된다고 하였다. 흡수량이 많은 N이나 K는 식물 생장의 최적농도보다 낮은 농도로 시비될 때 뿌리가 위치한 부분에서 급격히 농도가 낮아질 수 있으며, 이러한 이유로 0부터 100mg·L-1 시비구까지 중부나 하부 상토의 농도가 낮게 유지되었고, 300mg·L-1는 적정수준보다 고농도로 K가 시비되면서 이동성이 낮은 K가 상부 상토보다 중부나 하부에 높은 농도로 유지된 원인이 되었다고 생각한다. 100부터 300mg·L-1까지 시비농도가 높아질수록 상부 상토의 P와 S은 농도가 낮아지는 경향을 보였는데, 이는 P나 S가 상토에 존재하는 Ca나 Mg과 결합하여 불용화되고(Lindsay, 2001), 모세관력에 의한 상부 상토로의 이동이 되지 않아서 발생한 결과라고 생각한다. 무처리구부터 300mg·L-1 시비구까지 상토의 상부에 집적된 Ca과 Mg이 많았지만 시비수준이 높아질수록 상토의 상부 농도가 점차 낮아지는 경향이었는데, 이는 인산과 결합되어 불용화되면서 상토 상부로의 이동량이 점차 적어졌기 때문이라고 생각한다.
이 연구의 결과를 요약하면 코이어더스트+팽연왕겨로 혼합한 상토를 이용하여 적축면 상추를 저면관비할 때 시비농도를 질소기준 300mg·L-1로 조절하는 것이 바람직하며, 배지의 과도한 pH 상승을 고려할 때 pH를 저하시킬 수 있는 양액조성이 필요하다고 판단하였다.



