서 언
원예작물의 육묘나 본포 재배를 위해 이용하는 혼합상토는 보편적으로 상토 조제과정에서 일정량의 비료를 첨가한다 . 이를 우리 나라에서는 기비(Choi et al., 2009), 미국의 경우 pre-planting nutrient charge fertilizer(Nelson, 2003), 그리고 유럽에서는 종종 base dressing(Sonneveld and Voogt, 2009) 으로 표현한다 . 또한플러그 육묘용 상토에 첨가하는 기비의 양은분화재배용 상토에 첨가하는 양에 비해 절반 이하로 줄이는 것이 일반적이다 (Nelson, 2003). 상토에 기비를 첨가하는 이유는 발아 또는 정식후 초기 생장을 촉진시키기 위함이지만 , 플러그 재배용 상토의 경우 파종된 종자가 발아 후 매우 어린 시기일 때 고농도의 비료염이 장해 를 유발할 수 있으므로 장해가 나타나지 않는 범위로 기비 혼합량을 줄이는 것이 일반적이다 (Styer and Koranski, 1997).
상토에 혼합된 기비는 약 2-3 주 정도 비효를 유지하도록 처리량을 조절하는데 파종된 종자가 발아 후 생장하면서 근권부의 비료농도가 과도하게 낮아지면 묘의 생장이 억제될 수 있으므로 적절한 시기에 추비를 해야 한다 (Styer and Koranski, 1997). 추비를 위한 비료의 종류 및 농도는 작물의 생장상태 또는 근권부의 pH와 EC를 고려하여 변화시킨다 (Sonneveld and Voogt, 2009). 그러나 두상관비 또는 저면관비 등 양액을 공급하는 방법에 따라서도 변화시켜야 하며 , 두상관비의 경우 배수공을 통해 용 탈되는 무기염의 양이 많아 근권부의 무기원소 농도를 낮추므로 보편적으로 저면관비보다 시비농도를 높여 공급한다 (Raviv and Lieth, 2008).
국내의 플러그 묘 생산농가는 대부분 두상관비 및 두상살수 방법을 적용하여 육묘한다 . 그러나 잘 알려진 바와 같이 두상관 수 또는 관비 시 배수공을 통한 비료염의용탈량이 많고 플러그 트레이 밖으로 흘러내린 비료용액이 심각한 환경오염의 원인이 된다. 미국의 경우 관련법을 제정하여 시설물에서 배출되는 환경오염을 방지하고 있지만 우리나라는 아직까지 관련법규가 제 정되지 않은 상태이다 . 그러나 환경오염 방지를 위한 대책을 세워야 할 시점이라고 자체판단하고 있으며 폐쇄형 저면관비 (closed subirrigation system) 방법이환경오염을 줄일 수 있는 방법이며 빠른 시일 내에 관련된 연구결과가 도출되어야 재배농 가에 적용할 수 있을 것이다 .
두상살수 또는 저면관비 방법으로 육묘할 때 파종된 종자의 발아 후 초기생장을 촉진하기 위한 목적으로 상토에 기비를 첨가 하지만 보편적으로 파종 후 2-3 주의 기간 동안 작물이 생장하면서 상토 내 무기염 농도가 급격히 낮아지는 문제점을 가진다 . 따 라서 일반 재배농가에서는 경험에 근거하여 파종 후 적절하다고 판단하는 시기에 농도를 조절하여 추비를 시작하지만 , 추비의 시기 및 농도에 따라 묘 생장이 큰 차이를 보임을 자체적으로 확인한 바 있고 (Sonneveld and Voogt, 2009) 와 Styer and Koranski(1997) 가 관련 내용을 보고한 바 있다 . 그러므로 저면관비 육묘 방법이 정립되어 실용화되기 위해서는 기비의 수준과 기비 수준을 고려한 적절한 시비의 시기 및 농도가 구명되어야 한다 .
한편, 육묘농가에서는 관수 관리가 어려운 플러그 육묘의 특성상 봄 및 가을 , 겨울 또는 여름 등 계절별로 조성이 다른 혼합상 토를 이용하여 육묘하고 있다 . 보편적으로 대기온도가 낮고 증발산량이 적은 겨울철에는 근권부의 가스 확산을 촉진시키기 위 해 공극률이 높은상토를 , 여름철에는 공극률이 낮고보수성이높은 혼합상토를 육묘에 이용하여 관수관리의 수월성과 묘 생장 촉진을 도모하고 있다 (Park et al., 2017). 공극률 및 공극의 크기 조절은 혼합되는 펄라이트의 입경분포나 혼합비율을 변화시 켜 성취하지만 , 혼합되는 물질 별 입경분포에 따라 동일한 비율로 혼합하여도 혼합된 상토의 물리적 특성이 달라진다 .
이상과 같은 배경 하에 춘 ·추계용 육묘에 적합하다고 자체적으로 판단한 2종류 혼합상토에 기비의 종류 및 농도를 조절하여 고추를 저면관비 육묘할 때 추비의 종류 및 농도에 따른 묘 생장과 근권부 화학성 변화를 조사 및 분석하여 저면관비 육묘를 위 한 기초자료를 제시하고자 본 연구를 수행하였다 .
재료 및 방법
생육단계별 최적 추비 농도 구명
본 연구실에서는 여름, 겨울 그리고 봄과 가을 등 계절별로 육묘 온실 내의 환경조건이 변화됨을 고려하여 계절별 육묘에 적 합한 혼합상토를 개발하기 위한 연구를 수행하였다. 이 과정에서 상토의 물리성을 고려하여 계절별 육묘에 적합하다고 판단한 6종류 혼합상토에 대한 기비의 종류 및 농도를 조절하여 발표한 바 있다(Lee et al., 2014). 본 연구를 위해 조제된 춘·추계용 2종 류 상토는 동부한농(Dongbu Hannong Co., Ltd, Daejon, Korea)이 수입한 캐나다산 피트모스, Blonde Golden 0-6mm 규격 (PM06)과 Orange 0-10mm 규격(PM010)을 주재료로 하여 PM06+직경 2-5mm의 펄라이트(PE3)를 그리고 PM010 + PE3을 7:3(v/v)으로 혼합한 상토였다.
조제 후 Choi et al.(1997)의 방법에 따라 측정한 상토의 물리성에서 공극률, 액상률 및 기상률이 각각 85.2-87.3, 77.9 및 7.4-9.4%였고, EC 0.07-0.11dS·m-1, pH 3.50-3.55이었다. 물리·화학성을 분석 후 Choi et al.(2015)이 제시한 바와 동일하게 기 비를 혼합한 상토를 72공 플러그 트레이(cell volume 54mL)에 충전하고 고추 ‘Nokkwang’(Capsicum annuum L.; (주)동부팜 한농)을 파종하였다. 파종 후 온도 28°C, 습도 85%의 암조건에서 발아시키고 발아 후 생장상(HB-301M-3, Hanbaek Scientific Technology, Korea) 안에서 육묘하였다. 본 실험은 생장상 내에서 5주간 수행하였으며, 생장상은 온도 / 습도 / 광합성유효광량 자속을 각각 주간 27°C / 45% / 60-80μmol·m-2·s-1, 야간 23°C / 55%로 조절하였다. 추비를 시작한 시기나 추비 농도 또한 Park et al.(2017)이 보고한 내용과 동일하게 조절하였는데, 그들의 방법과 동일함을 Table 1에 명시하였다.
저면관비 방법으로 공급된 비료용액은 모세관력에 의해 상승하고 표토에서 증발하여 상토 상부에 많은 양의 무기염이 집적 된다(Raviv and Lieth, 2008). 이를 고려하여 플러그 트레이 내의 상토를 상부, 중부, 및 하부의 동일한 높이로 3등분하여 채취 하였으며, 채취한 상토의 추출 방법과 추출 후 화학성 분석은 Park et al.(2017)의 방법과 동일하였다.
이때 72공 트레이에서 무작위로 수집한 5개체를 1반복으로 하여 총 3반복으로 지상부의 초장, 초폭, 엽수, 엽장, 엽폭, 지상부 생체중 및 건물중, 그리고 엽록소 함량을 측정(SPAD-502, Minolta, Japan)하였다.
식물생장과 관련하여 수집한 자료는 Costat 프로그램(Monterey, California, USA)을 이용하여 Duncan 다중검정 방법으로 처리간 평균을 p≤0.05 수준에서 비교하였다. 또한 상부, 중부, 하부로 구분하여 3반복으로 채취한 상토의 pH 및 EC에 대한 표 준오차를 그래프에 나타내었다.
결과 및 고찰
기비가 포함된 혼합상토를 충전한 플러그 트레이에 파종하고, 종자가 발아된 후 생장상에 플러그 트레이를 치상하여 육묘하 였고 파종 후 35일째 지상부 생육을 조사하여 Table 2에 나타내었다. PM06 + PE3 상토의 경우 3종류 시비 프로그램(postplanting fertilization program, PPF) 중 시비농도가 높은 PPF3의 지상부 생체중과 건물중이 무거웠다. 식물체의 초장, 경경, 지 상부 생체중과 건물중은 3종류 시비 프로그램간 0.1% 수준에서 처리간 통계적인 차이가 인정되었다. PM010 + PE3는 PPF 2 를 적용한 처리에서 지상부 생체중과 건물중이 가장 무거웠으며, 고추 묘의 엽장, 경경, 생체중 및 건물중이 0.1% 수준에서 처 리간 차이가 인정되었다. 그러나 PM06 + PE3 및 PM010 + PE3 혼합상토 모두 엽록소 함량의 처리간 차이가 인정되지 않았다. 한편 이들 두 종류 혼합상토에서 육묘된 고추 묘의 지상부 생장을 비교할 때 엽수, 엽록소 함량 및 경경을 제외한 나머지 생장조 사 항목은 통계적인 차이가 인정되지 않았다.

Fig. 1.
pH Changes in soil solutions during growth of ‘Nokkwang’ hot pepper seedlings in 72-cell plug trays as influenced by two kinds of root media and three post-planting fertilization programs (PPF). Root media were separated into a top, middle and bottom layer and the pH was measured by the saturated paste method [A: Canadian Sphagnum peat moss with the grade of 0-6 mm (PM06) + perlite with the grade of 2-5 mm (PE3), 7:3 (v/v); B: Canadian Sphagnum peat moss with the grade of 0-10 mm (PM010) + PE3, 7:3 (v/v)]. Vertical bars represent standard error of means from 3 replications.
Park et al.(2017)이 토마토를 대상으로 수행한 후 보고한 내용과 위에서 설명한 내용을 비교할 때 토마토에 비해 고추는 생체 중과 건물중의 상토간 차이가 뚜렷하지 않았다. 이는 육묘 기간 중의 온도관리에서 원인을 찾을 수 있다. 그들은 동절기 육묘 상 황을 고려하여 주/야간 온도를 23°C / 18°C로 관리하였지만 본 연구는 춘 . 추계 육묘를 고려하여 27°C / 23°C로 온도관리를 하 였다. 낮은 대기온도는 식물체의 대사작용 및 증산량이 감소되는 원인이 되며, 관수 횟수가 적어지고 관수를 통한 배수공으로 의 무기염 용탈량이 적어지는 원인도 된다. 따라서 기비나 추비로 공급된 무기염의 상토 내 잔류 기간이 길어지고, 긴 기간 동안 식물 생장에 영향을 미칠 수밖에 없다. 재료 및 방법에서 설명한 바와 같이 그들이 이용한 상토 보다 본 연구에서 이용한 상토의 용기용수량이 높고, 또 높은 온도로 인한 관수 횟수와 용탈량 증가를 통해 본 연구의 상토간 차이가 적어진 원인이 되었다고 생 각한다.
Table 2에 제시한 3종류 PPF와 같이 비료의 농도를 조절하여 혼합상토에 저면관비하면서 pH 변화를 측정한 결과 PM06 + PE3는 1주 후에 모든 처리의 pH가 약 4.5로 측정되었을 뿐만 아니라 시간이 경과할수록 낮아지는 경향이었다(Fig. 1). Nelson (2003) 및 Styer and Koranski(1997)는 혼합상토를 이용한 작물재배에서 적정 pH 범위를 5.6-6.2로 제시하였다. 따라서 PM06 + PE3의 모든 처리에서 적정 pH 영역보다 낮았으며 기비로 혼합된 고토석회 시비량이 적었던 것이 주요 원인이라고 판단하였 고, 추후 동일한 연구를 수행할 경우 기비로 혼합된 고토석회의 증시가 필요하다고 생각한다. 또한 PM06 + PE3 혼합상토를 이 용한 육묘에서 점진적인 상토의 pH 저하는 추비를 위한 비료에 포함된 NH4+-N 이온이 NO3--N으로 질산화 과정을 겪으면서 H+이 생성된 것과 식물 뿌리가 양이온인 NH4+-N을 흡수하는 과정에서 발생된 H+이 근권부 pH를 산성으로 변화시켰다고 판단 한다(Marschner, 2012). 이와 같이 판단하는 이유는 시간이 경과함에 따라 Fig. 1에서 나타낸 pH가 지속적으로 낮아졌을 뿐만 아니라 Fig. 2와 Fig. 3에 나타낸 NH4+-N과 NO3--N 농도가 지속적으로 높아졌기 때문이다. 즉 시비하는 NH4+-N의 양이 증가 함으로써 그 자체의 흡수량이 증가할 뿐만 아니라 NH4+-N이 NO3--N으로 전환되는 양도 증가하였으며 NH4+-N의 NO3--N으로 의 산화는 토양 산성화를 유발하는 중요한 과정으로 알려져 있다(Singer and Munns, 2002).
상부, 중부 및 하부로 상토를 3등분하여 각 부위별 pH를 측정한 결과 하부로 갈수록 높아졌으나 생장에 적합한 수준인 5.6-6.2보다는 낮았다. 하부 상토의 pH가 높았던 것은 함수량이 높았던 것이 원인이라고 생각한다. 상토의 함수량이 높게 유지 되면 상토 내 CO2의 확산이 어려워지면서 중탄산이 축적되고, 중탄산에 의해 pH가 높아지는 원인이 된다(Park et al., 2017). 한편 시비 프로그램에 따라 각 처리별로 추비농도가 달랐음에도 불구하고 상부, 중부 및 하부의 각 부위별 상토 pH는 유사한 수준으로 측정되었다. PM010 + PE3 혼합상토에서도 PM06 + PE3와 유사하게 육묘기간이 길어질수록 pH가 점차 낮아지는 경향을 보였다. 그러나 PM010 + PE3 혼합상토의 1주 후 pH는 PM06 + PE3보다 0.7이상 높았으며, 높은 pH가 전 육묘기간 동 안 유지되었다. 육묘 기간 중 pH가 낮아짐은 고추 묘가 음이온 보다 양이온을 더 많이 흡수함을 의미하며, Marschner(2012)도 식물 뿌리가 양이온을 흡수할 때 뿌리로부터 H+가 용출되어 근권부 pH를 낮춘다고 보고한 바 있다. 그러나 PM010 + PE3 혼합 상토의 pH가 PM06 + PE3보다 높게 유지된 것은 혼합상토 구성재료인 피트모스의 입경분포와 관련 지어 판단할 수 있다. PM06 + PE3에 이용된 피트모스는 0-6mm 규격이 그리고 PM010 + PE3는 0-10mm 규격의 피트모스가 이용되었으며, 양이온 치환용량은 입경이 큰 피트모스가 입경이 작은 피트모스 보다 낮다. 즉 낮은 양이온치환용량으로 인해 외부에서 투입된 석회석 물질에 쉽게 영향을 받아 pH가 상승하지만 입경이 작은 경우 석회석 물질이 투입되어도 양이온치환부위에 흡착되는 양이 많아 토양용액의 pH 상승에 효과가 적으며 본 연구에서 0-10mm 피트모스가 이용된 상토의 pH가 높게 유지된 원인이 되었다고 생 각한다.

Fig. 2.
Changes inmacro-nutrient concentrations of root media [Canadian Sphagnum peat moss with the grade of 0-6 mm (PM06) + perlite with the grade of 2-5 mm (PE3), 7:3 (v/v)] during the growth of ‘Nokkwang’ hot pepper seedlings in 72-cell plug trays as influenced by two kinds of root media and three post-plantingfertilization programs (PPF). Nutrients were extracted by the saturated paste method and analyzed by ion chromatography. Vertical bars represent standard error of means from 3 replications.
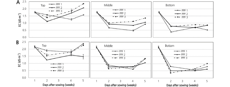
고추 육묘기간 중 상토의 EC는 모든 PPF처리에서 플러그 트레이의 하부보다 상부에 위치한 상토에서 높았다(Fig. 4). PM06 + PE3 혼합상토는 추비의 농도가 높아지거나 또는 육묘기간이 길어질수록 상토의 EC가 상승하였으며 이와 같은 경향은 상부에 위치한 상토에서 더욱 두드러졌다. Mengel and Kirkby(2012) 가 보고한 바와 같이 상토에 존재하는 각종 무기원소는 집단류 (mass flow), 확산(diffusion) 그리고 접촉치환(root interception) 에 의해 상토 내 이동 및 식물에 의한 흡수가 이루어진다. 저면 관비되어 모세관력에 의해 상토의 하부로부터 상층부로 이동되는 토양 용액에는 다양한 종류의 이온화된 무기염이 존재하며 , 상토의 표면에서 물이 증발되어도 무기염은 그 곳에 남아 EC가 높아지는 원인이 된다 . Mengel and Kirkby(2012) 는 질소의 경 우 집단류에 의한 이동이 약 80%, 확산에 의한 이동이 약 19%라고 보고한 바 있으며 , 모세관력에 의한 상토 내 수분 상승과 집 단류 및 확산에 의한 양분이 상부에 위치한 상토의 EC가 높아진 원인이 되었다고 판단할 수 있다 . 저면관수 방법으로 작물을 재배하면서 상토의 EC 변화를 보고한 Montesano et al.(2010) 과 Morvant et al.(1997) 도 유사한 결과를 발표한 바 있다 . 또한 PPF 2 와 3의 육묘 5주 후 EC(포화추출법으로 측정 ; Warncke, 1986) 는 2.0dS·m-1 이상이었으며 , Bunt(1988) 나 Nelson(2003) 또는 Styer and Koranski(1997) 가 플러그 육묘에 적합한 범위라고 제시한 0.75-2.0dS·m-1보다 월등히 높았다. PM010 + PE3 혼합상토의 EC 또한 PM06 + PE3 와 유사한 경향을 보이며 변하였으며 1주 후의 EC가 2.0dS·m-1 이상으로 측정되었다. 그리고 PM06 + PE3 상토의 PPF 2에서 5주 후의 EC가 다른 PPF 처리와 달리 상부에 위치한 상토에서 오히려 낮아졌는데 원인이 불분 명하여 추후 보완연구가 필요한 부분이라고 판단하였다 .

Fig. 3.
Changes in macro-nutrient concentrations of root media during the growth of ‘Nokkwang’ hot pepper seedlings in 72-cell plug trays as influenced by two kinds of root media and three post-plantingfertilization programs (PPF). Nutrients were extracted by the saturated paste method and analyzed by ion chromatography. Vertical bars represent standard error of means from3 replications. [Canadian Sphagnum peat moss with the grade of 0-10 mm(PM010) + PE3, 7:3(v/v)].

Fig. 4.
Changes in soil solution electrical conductivities (ECs) during the growth of ‘Nokkwang’ hot pepper seedlings in 72cell plug trays as influenced by two kinds of root media and three post-planting fertilization programs (PPF). Root media wereseparated tothreepartssuch astop, middleandbottomandECsweremeasured bythesaturatedpastemethod [A: Canadian Sphagnum peat moss with the grade of 0-6 mm (PM06) + perlite with the grade of 2-5 mm (PE3), 7:3 (v/v); B: Canadian Sphagnum peat moss with the grade of 0-10 mm (PM010) + PE3, 7:3 (v/v)]. Vertical bars represent standard error of means from 3 replications.
육묘기간 동안 2종류 상토의 무기이온 농도 변화를 분석한 결과 PM06 + PE3(Fig. 3) 와 PM010 + PE3(Fig. 4) 의 NH4-N와 PO4-P농도는 변화 양상이 유사하였다 . 그러나 추비의 농도가 높을수록 전반적으로 각 무기이온의 농도가 높아지는 경향이었 다. 특히 NH4-N, NO3-N, K+ 및 Mg2+의 농도는 육묘 후 4주째 큰 폭으로 상승하는 것으로 분석되었다 . 한편 PM06 + PE3 와 PM010 + PE3 혼합상토 모두 PPF 1 이 적용된 처리구에서 Mg2+, SO4-S 및 Na+의 농도가 파종 후 2주째 다른 처리구에 비해 높아 졌다가 4주까지 낮아지는 경향이었다.
이상의 결과를 Park et al.(2017) 이 보고한 내용과 비교할 때 본 연구의 EC나 NH4 등 양이온 농도가 그들이 보고한 결과보다 높았으며, 이는 상토의 조성에서원인을 찾을 수 있다 . 그들이 상토 조제에 이용한펄라이트는 직경 1-2mm 의 규격이었으며 , 본 연구에서는 2-5mm 의 펄라이트가 이용되었고 , 입경이 큰 펄라이트의 경우 작은 펄라이트 보다 입경 균일도가 높다 . 피트모스 와 펄라이트의 혼합비율이 동일하여도 균일도가 높은 펄라이트 사이에는 비교적 대공극이 형성되고 , 균일도가 낮은 펄라이트 와 혼합할 경우 지름이 작은 공극이 형성된다 (Verdonck and Penninck, 1986). 따라서 펄라이트 사이에 형성된 공극을 점유하 는 피트모스의 양은 큰 입자의 펄라이트가 사용될 경우 증가하며 이는 혼합된 상토의 양이온치환용량이 증가하는 원인이 된다 . 또한 높은 양이온치환용량으로 인해 EC 및 양이온 농도가높아지는 원인이되며 , Park et al.(2017) 의보고한 내용과 본 연구의 결과가 달라짐을 판단할 수 있는 근거가 된다 . 한편 Kim et al.(2017) 은 최근 가금류의 털을 사용하여 제조된 pellet 을 피트모스 와 혼합하여 관상작물에 도입한 바 있으며 펄라이트의 대체효과를 보고하였다 .
이상의 내용을 요약하면 춘 ·추계용 상토를 이용한 고추 저면관비 육묘시 파종 7일부터 시비를 시작하여 N 농도 기준 25 mg·L-1부터 125mg·L-1까지 점차적으로 시비농도를 높이는 것이 묘 생장에 바람직하다고 판단하였다 .




