서 언
국화는 장미, 백합과 더불어 전세계적으로 가장 많이 사용되고 있는 3대 절화에 해당되며, 한국에서도 절화류 중에서 2014 년 기준으로 재배면적이 440ha로 가장 넓고, 판매액도 753억원으로 가장 많다. 2014년도에 국화 수출은 4.7백만불이었으며, 거 의 대부분 일본으로 수출하고 있다(MAFRA, 2015). 그러나 재배과정 중 병충해에 감염된 국화는 국내 유통뿐만 아니라 수출 에 있어서도 품질 및 가격 하락과 소비자의 신뢰를 떨어뜨리는 원인이 되고 있다.
국화의 병충해에는 흰녹병, 흑수병, 입고병, 역병, 균핵병 등의 병해와 응애, 진딧물, 총채벌레, 아메리카잎굴파리 등의 충해 피해가 알려져 있다. 이 중 흰녹병은 녹병균 중의 하나인 Puccinia horiana의 소생자에 의해 감염되며, 감염된 잎 뒷면은 초기에 흰색 반점으로 나타나고 이것이 흰색 돌기에서 점차 담황색 돌기로 커지면서 잎 전체로 퍼지게 된다(Yoo and Roh, 2015). 흰녹 병은 일본에서 1895년에 처음 발견된 이후(Baker, 1967), 유럽, 아프리카, 아메리카, 오세아니아, 아시아 등 전 세계적으로 발생 하고 있다(Park et al., 2013).
흰녹병의 발생은 온도와 습도가 중요한 요인으로 작용하고 있다고 알려져 있는데, Uchida(1982)는 15~23°C의 온도에서 소 생자가 발아하여 잎을 침입하기 위해서 가장 적합한 조건이라고 하였다. Yoo and Roh(2015)는 시설 내 야간온도가 15°C 의 조 건에서는 상대습도가 90%일 때 흰녹병은 89% 발생한다고 하였다. 또한 한국에서의 흰녹병 발생은 일교차가 심하여 습도가 높은 봄과 가을에 주로 발생하고 있는데, 심하면 전체 잎에서 발생하여 수확을 포기하는 경우도 자주 발생하고 있어 경제적 으로 국화 재배농가에 큰 부담이 되고 있다P(ark et al., 2013).
흰녹병을 방제하기 위해 건전 모본 사용, 멀칭재배, 질소질 비료의 적정 시용 등과 같은 재배적인 방제법(Whipps, 1993; Dickens, 1994; Yoo and Roh, 2013a,b)과 Myclobutanil, triflumizole, hexaconazole, propiconazole, bitertanol 등과 같은 화학합성농약을 살포하는 화학적 방제법이 사용되고 있다(Dickens, 1990). 그러나, 화학적 방제법은 습도가 높은 환경 조건에서는 병 방제 효 과가 크게 떨어질 뿐만 아니라 내성을 지닌 병원균의 출현 및 토양 오염 등의 문제가 있으며, 식물의 초장이 짧아지고 절화수 명이 단축되는 단점도 있다(Mortensen, 2000; Torre and Field, 2001).
병 방제를 위해 온도, 습도와 같은 시설 내의 환경을 조절해 주는 것이 가장 중요한데, 시설 내의 높은 습도를 낮추기 위해 환기, 난방, 제습기 설치 등의 방법이 있다(Assaf and Zieslin, 2003). 환기 방법은 시설 내의 상대습도를 낮추기 위해 간편하게 이 용할 수 있는 방법으로 자연환기와 팬환기 방법이 이용되고 있는데(Dickens, 1994; Lee et al., 2003), 환기방법에 따라 시설 내 습도와 온도 변화에 영향을 미친다(Boulard et al., 2004). 토마토의 경우 시설 재배에 있어서 자연환기는 습도를 낮춰 Botrytis cinerea 방제에 효과가 있다고 하였다(Baptista et al., 2007). 난방 방법은 주로 야간에 사용되는데, 야간 난방은 시설 내의 온도를 높여주고, 상대습도를 낮출 수 있다고 하였다( Assaf and Zieslin, 2003; Lee et al., 2012).
지금까지 국화의 시설 재배에 있어서 환기 방법과 난방에 의한 상대습도 조절에 따른 흰녹병 발생과 생육에 어떤 영향을 미치는지에 대한 연구는 전무한 실정이다. 따라서 본 연구는 스탠다드 국화 ‘백마’의 시설재배에 있어서 자연환기와 팬환기 등의 환기 방법과 난방 조건에 따른 시설 내의 온습도 변화와 흰녹병 발생 및 생육에 미치는지 영향을 알아보고자 수행되었다.
재료 및 방법
식물재료 및 정식
본 실험은 하추국 계통인 스탠다드 국화 ‘백마’(Dendranthema grandiflorum 'Baekma')를 3월 18일에 162공 플러그판에 삽목하여 발근된 묘를 실험 재료로 사용하였다. 660m2 규모의 플라스틱하우스 내에 16m2 크기로 제작된 소형 플라스틱하우스 에 삽목묘를 4월 8일에 정식하였으며, 처리당 4반복으로 1m 폭의 이랑에 8줄씩 10×10cm 간격으로 반복당 240주를 식재하 였다. 정식 후 복합비료(Polyfeed, N:P:K=19:19:19, Haifa Chemicals Ltd., Israel)를 사용하여 EC 0.8dSm-1로 조정한 후 1일 2회 공급하였다.
야간 환기방법이 시설 내 온습도, 흰녹병 발생, 및 생육에 미치는 영향
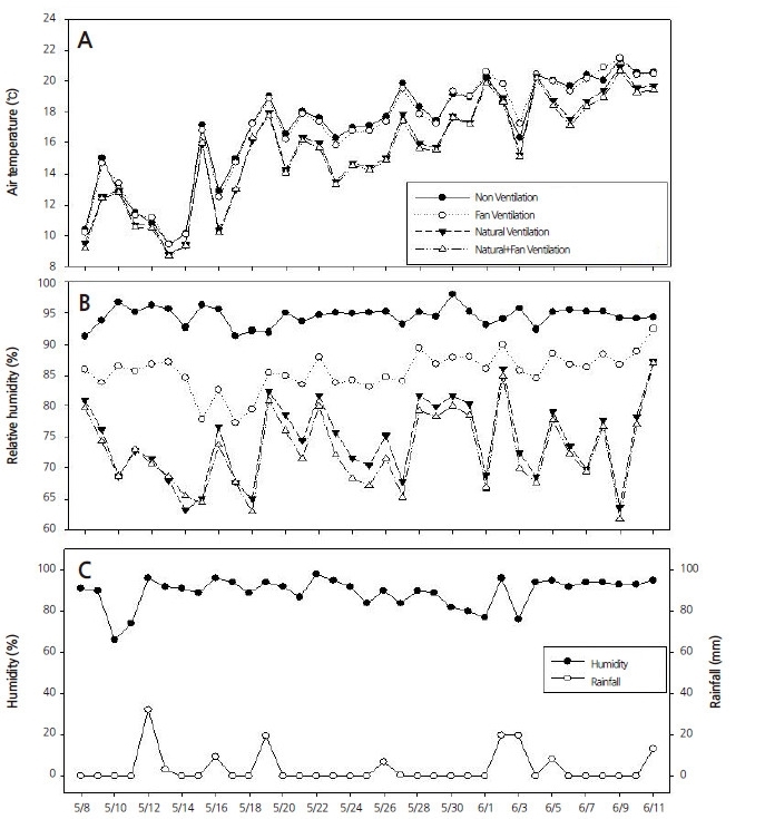
5월 8일에 초장 25±5cm의 흰녹병에 이병된 국화 ‘백마’를 20cm 간격으로 이랑 가운데 식재하였으며, 환기방법에 따라 대 조구(Non-Ventilation), Fan환기(Fan Ventilation), 자연환기(Natural Ventilation), 자연+Fan환기(Natural+Fan Ventilation) 등 4개 처리를 6월 11일까지 오후 6시부터 이튿날 오전 6시 사이 야간에 실시하였다. 대조구는 측창을 닫아 전혀 환기가 안 된 상 태로 처리하였으며, Fan환기 처리는 측장을 닫고 소형 플라스틱하우스 내에서 공기교반기(SGD-11S, Shinan Green Tech Co., Ltd., Korea)를 작동시켜 환기시켰으며, 자연환기 처리는 측창을 개방하여 자연적으로 환기되도록 처리하였고, 자연+Fan환기 는 측장을 개방하여 자연환기뿐만 아니라 공기교반기를 작동하여 환기되도록 처리하였다. 공기교반기는 매 2시간마다 1시간 씩 자동타이머를 이용하여 야간에 총 6시간이 작동되도록 처리하였다. 모든 소형 플라스틱하우스 내에 가습기(MH-401A, Mtechwin Co., Ltd., Korea)를 설치하였고, 오후 6시부터 이튿날 오전 6시까지 대조구의 플라스틱 하우스 내의 상대습도가 95±3%가 되도록 센서에 의해 자동 제어되도록 처리하였으며, 대조구의 가습기가 작동되었을 때 모든 소형 플라스틱하우스 에서 동시에 가습기가 작동될 수 있도록 설정하였다. 온도와 습도는 소형 플라스틱하우스 가운데 부분지상 1m 위치에서 온습 도측정기(WatchDog 1650 Micro Station, Spectrum Technologies Inc., USA)를 이용하여 측정하였다. 오전 6시부터 오후 6시 까지는 모든 플라스틱하우스의 측창을 개방하였다. 소형 플라스틱 하우스 외부의 습도는 온습도측정기를 이용하여 측정하였 고, 강수량은 목포대학교 인근 무안 기상대의 자료를 조사하여 이용하였다.
처리 2일 후부터 2일 간격으로 이랑 가운데 정식되어 있는 100개체를 대상으로 Yoo and Roh(2014)의 방법에 따라 흰녹병 발생률과 식물체당 발병엽수를 조사하였고, 처리 8, 16, 24, 32일 후에 발병엽당 동포자퇴수를 조사하였다. 또한 정식 110일 후 에 절화장, 엽수, 줄기직경, 절화 생체중, 화폭, 꽃무게 등 생육을 조사하였다.
야간 난방에 의한 상대습도 조절이 시설 내 온습도, 흰녹병 발생, 및 생육에 미치는 영향
5월 8일에 초장 25±5cm의 흰녹병에 이병된 국화 ‘백마’를 20cm 간격으로 이랑 가운데 식재하였으며, 소형 플라스틱하우 스에 가습기(MH-401A, Mtechwin Co., Ltd., Korea)와 전기온풍기(SF-PT2000, Hongjintech Co., Ltd., Korea)를 설치하여 오후 6시부터 이튿날 오전 6시까지 야간에 대조구(Non-Heating), RH 90% 난방처리(RH 90% Heating), RH 80% 난방처리 (RH 80% Heating), RH 70% 난방처리(RH 70v Heating) 등 4처리를 6월 11일까지 실시하였다. 대조구는 가습기로 상대습도 가 95±3%가 되도록 센서에 의한 자동 제어되도록 처리하였으며, 난방기를 작동하지 않았다. 또한 대조구의 가습기가 작동되 었을 때 모든 소형 플라스틱하우스에서 동시에 가습기가 작동될 수 있도록 설정하였다. RH 90, 80, 70% 난방처리는 각각 전기 온풍기를 작동하여 시설 내 상대습도가 90, 80, 70±3%가 유지되도록 제어하였다. 오전 6시부터 오후 6시까지는 플라스틱하 우스의 측창을 개방하여 자연상태로 관리하였고, 온도와 습도는 소형 플라스틱하우스 가운데 부분지상 1m 위치에서 온습도 측정기(WatchDog 1650 Micro Station, Spectrum Technologies Inc., USA)를 이용하여 측정하였다. 흰녹병 발생 정도와 생육 조사는 위의 실험과 동일하게 실시하였다.
통계분석
통계분석은 SAS 프로그램(SAS 9.1, SAS Institute Inc., USA)을 이용하여 분석한 후 평균과 표준오차를 표기하였고, 유의성 검정은 Duncan의 다중범위검정으로 p ≤ 0.05 수준에서 각 처리간 차이를 비교하였다.
결 과
야간 환기방법이 시설 내 온습도, 흰녹병 발생, 및 생육에 미치는 영향
환기방법에 따른 오후 6시부터 오전 6시까지 야간의 시설 내 평균 기온과 상대습도의 변화를 측정한 자료는 Fig. 1에 나타나 있다. 일일 야간 평균기온은 대조구에서 9.4~21.4°C, Fan환기 처리구에서 9.4~21.5°C, 자연환기 처리구에서 8.7~20.9°C, 자연 +Fan 환기 처리구에서는 8.7~20.6°C 의 범위를 보여주었다(Fig. 1A). 또한 처리 후부터 34일간의 평균 기온은 대조구에서 17.0°C, Fan환기 처리구에서 16.9°C 로 나타나 두 처리 간 평균 기온은 별 차이가 없었다. 또한 자연환기 처리구와 자연+Fan환 기 처리구에서 각각 15.6°C 와 15.4°C 로 나타나 대조구보다 1.4~1.6°C 낮았다.
환기방법에 따른 일일 야간 평균 상대습도는 대조구에서 91.3~98.0%, Fan환기 처리구에서 77.2~92.4%, 자연환기 처리구 에서 63.2~87.2%, 자연+Fan환기 처리구에서는 61.8~87.0%의 범위를 보여주었다(Fig. 1B). 처리 후부터 34일간의 평균 상대 습도는 대조구에서 94.5%, Fan환기 처리구에서 85.6%, 자연환기 처리구에서 74.3%, 자연+Fan환기 처리구에서 72.8%로 나타 났다. 이와 같이 자연환기 또는 자연+Fan 환기 처리구에서는 대조구보다 20% 이상 낮아져 시설 내 상대습도가 80% 이하로 유 지되고 있음을 알 수 있었다. 플라스틱하우스의 외부의 야간습도와 강수량은 Fig. 1C에 나타나 있는데, 강수량이 많은 날에 외 부의 습도가 높게 나타났다. 또한 외부의 습도가 90% 이상 높았던 5월 8일, 5월 16일, 5월 19일, 5월 22일, 6월 2일 등에서는 자 연환기 시에도 시설 내부의 습도는 80% 이상으로 높게 나타나 외부의 습도와 강우량이 자연환기 성능에 영향을 미치는 것을 알 수 있었다.
환기방법에 따른 국화 ‘백마’의 흰녹병 발병률을 조사한 결과는 Fig. 2에 나타나 있다. 대조구는 처리 6일 후부터 흰녹병이 발 생하여 41.6% 발병하였고, 처리 10일째까지 급격히 증가하여 94.7%로 나타났고, 처리 14일째에 100% 발병하였다. Fan환기 처리구에서도 처리 6일 후부터 발병하였으며(36.4%), 이후 처리 14일까지 크게 증가하여 87.5%의 발병률을 보여 주었으며, 처 리 26일째에는 98.3%로 나타났다. 자연환기 처리구에서는 처리 8일 후에 2.6% 발병하였으며, 이후 서서히 발병률이 증가하여 처리 14일째에 39.3%, 26일째에 71.1%, 34일째에 75.6%로 나타났다. 자연+Fan환기 처리구에서는 처리 10일 후에 2.5% 발병 하였으며, 처리 14일째에 11.7%, 26일째에 36.7%, 34일째에 43.3%로 나타났다. 이와 같이 자연+Fan환기 처리구는 다른 처리 구들보다 발병이 서서히 진행되었을 뿐만 아니라 최종 발병률에서 대조구보다 57%, Fan환기 처리구보다 55%, 자연환기 처리 구보다 32% 감소한 결과를 보여 주었다.
환기방법에 따른 국화 ‘백마’의 식물체당 발병엽수는 대조구에서 처리 6일 후에 1.1개로 나타났으며, 이후 지속적으로 증가 하여 34일 후에는 17.0개로 나타나 흰녹병이 심각하게 발생한 것을 알 수 있었다 (Fig. 3). Fan환기 처리구에서는 발병엽수가 처 리 6일 후에 0.5개, 34일 후에는 10.4개로 나타났으며, 자연환기 처리구에서는 처리 8일 후에 0.3개, 34일 후에 2.8개로 나타났 다. 자연+Fan환기 처리구는 발병엽수가 처리1 0일 후에 0.1개, 34일 후에 1.2개로 나타나 다른 처리들보다 크게 적었다.
환기방법에 따른 국화 ‘백마’의 발병엽당 동포자퇴수는 대조구에서 처리 8, 16, 24, 32일 후에 각각 4.3개, 43.0개, 76.3개, 88.6 개로 나타나 처리 후 시간이 지남에 따라 발병이 크게 진전되었음을 알 수 있었다(Fig. 4). Fan환기 처리구에서도 처리 8일 후 1.4개로 나타났으나, 32일 후에는 67.6개로 크게 증가하였다. 자연환기 처리구는 처리 8일 후에 0.6개였으며, 32일 후에도 2.5 개로 동포자퇴수가 크게 증가하지 않았다. 자연+Fan환기 처리구의 경우에도 8, 16, 24, 32일후에 동포자퇴수가 각각 0.5개, 0.7 개, 0.9개, 1.0개로 거의 식물체당 1개의 잎에서 1개의 동포자퇴만 형성되었을 정도로 흰녹병 발생이 크게 억제되었음을 알 수 있었다(Fig. 5A).
환기방법에 따라 국화 ‘백마’를 재배한 후 수확하여 절화생육을 조사한 결과, 절화장은 자연환기와 자연F+an환기 처리에서 127.6~129.7cm로 다른 처리보다 길었다(Table 1). 엽수는 대조구에서 27.4개로 가장 적었는데, 이는 흰녹병 발생으로 형성된 잎의 일부가 괴사되었기 때문이었고, 다른 처리 간에는 차이가 없었다(Fig. 5B). 줄기직경은 자연+Fan환기 처리구에서 6.4㎜ 가장 굵었고, 다른 처리들과 통계적으로도 유의한 차이가 나타났다. 절화 생체중의 경우에도 자연+Fan 환기 처리에서 107.4g 으로 가장 무거웠으며, 대조구에서 70.7g으로 가장 가벼웠다. 화폭과 꽃무게는 대조구에서 각각 7.9cm와 7.6g으로 가장 작았 으며, 다른 처리들 간에는 통계적인 차이는 없었다 .
Table 1. Effect of the different ventilation methods in the greenhouseo n the growth of standard chrysanthemum ‘Baekma’
![]() | |
| zMean separation within columns at p ≤ 0.05 by Duncan's multiple range test . | |
따라서 국화 ‘백마’의 흰녹병 발생을 억제하고 절화의 품질을 향상시키기 위해서는 측창을 개방하여 자연환기를 시키고, 환 기팬을 설치하여 강제환기를 실시함으로써 시설 내의 습도를 낮추는 것이 효과적이라고 판단되었다.
야간 난방에 의한 상대습도 조절이 시설 내 온습도, 흰녹병 발생, 및 생육에 미치는 영향
난방조건에 따른 오후 6시부터 오전 6시까지 야간의 시설 내 평균 기온과 상대습도의 변화를 측정한 자료는 (Fig. 6)에 나타나 있다. 일일 야간 평균 기온은 대조구에서 12.5~21.9°C, RH 90v 난방처리구에서 16.2~25.6°C, RH 80% 난방처리구에서 20.2~28.7°C, RH 70% 난방처리구에서 20.3~30.4°C 의 범위를 보여주었다(Fig. 6A). 또한 처리 후부터 34일간의 평균 온도는 대조구에서 18.4°C, RH 90% 난방처리구에서 21.5°C, RH 80% 난방처리구에서 24.7°C, RH 70% 난방처리구에서 25.8°C 로 나 타났다. 이와 같은 결과는 설정한 상대습도를 유지하기 위하여 난방기가 작동되었기 때문이며, RH 70% 처리구의 경우에는 상 대적으로 다른 처리들보다 난방기가 자주 작동되어 시설 내 기온이 상승한 결과이다.
난방조건에 따른 일일 야간 평균 상대습도는 대조구에서 92.9~98.2%, RH 90% 난방처리구에서 87.2~90.9%, RH 80% 난방 처리구에서 77.4~81.1%, RH 70% 난방처리구에서 67.5~71.0%의 범위를 보여주었다(Fig. 6B). 처리 후부터 34일간의 평균 상 대습도는 대조구에서 94.8%, RH 90% 난방처리구에서 88.3%, RH 80% 난방처리구에서 78.5%, RH 70% 난방처리구에서 68.9%로 나타났다. 이와 같이 전반적으로 설정한 상대습도 범위 내에서 난방이 조절되었다.
난방조건에 따른 국화 ‘백마’의 흰녹병 발병률을 조사한 결과는 Fig. 7과 같다. 대조구에서는 처리 6일 후부터 흰녹병이 발생 하여 38.8% 발병하였고, 처리 10일째까지 급격히 증가하여 95.1%로 나타났고, 처리 14일째에 100% 발병하였다. RH 90% 난 방처리구에서도 처리 6일 후에 흰녹병이 26.4% 발생하였으며, 이후 지속적으로 증가하여 처리 22일째에 90.8%의 발병률을 보 여 주었고, 최종적으로 92.5% 발병하였다. RH 80% 난방처리구에서는 처리 8일 후에 3.3%로 발병하기 시작하였으며, 이후 차 츰 발병률이 증가하여 처리 14일째에 35.6%, 34일째에 50.7%로 나타났다. RH 70% 난방처리구에서는 처리 10일 후부터 흰녹 병이 발생하여 7.2%로 나타났고, 처리 14일째에 13.3%, 처리 34일째에 34.4%로 나타났다. 이와 같이 난방에 의해 시설 내 상대 습도를 70~80% 수준으로 낮춰 관리한다면 흰녹병 발생률을4 9~66% 정도 감소시킬 수 있다고 판단되었다.
난방조건에 따른 식물체당 발병엽수는 대조구에서 처리 6일 후에 1.1개로 나타났으며, 이후 지속적으로 증가하여 22일 후에 11.7개, 34일 후에는 21.1개로 나타났다(Fig. 8). RH 90% 난방처리구는 발병엽수가 처리 6일 후에 0.5개, 22일 후에 7.5개, 34일 후에는 12.3개로 나타났다. RH 80% 난방처리구에서는 처리 8일 후에 0.3개로 나타났으며, 이후 조금씩 증가하여 24일 후에 2.9개, 34일 후에 6.3개로 나타났으나 대조구보다 70% 발병엽수가 감소하였다. RH 70% 난방처리구에서는 발병엽수가 처리 10일 후에 0.1개, 34일 후에 0.9개로 조사되어 한 주당 한 개의 잎 정도가 감염된 것으로 나타났다.
난방조건에 따른 대조구의 발병엽당 동포자퇴수는 처리 8, 16, 24, 32일 후에 각각 2.3개, 37.0개, 63.6개, 81.1개로 나타나 시 간이 경과할수록 동포자퇴가 급격히 형성됨을 알 수 있었다(Fig. 9). RH 90% 난방처리구에서도 처리 8일 후 1.8개로 나타났으나, 32일 후에는 47.6개로 크게 증가하였다. RH 80% 난방처리구는 처리 8일 후에 0.9개였으며, 32일 후에도 7.0개로 크게 감소 하였으며, RH 70% 난방처리구는 8, 16, 24, 32일후에 동포자퇴수가 각각 0.6개, 0.7개, 0.7개, 1.0개로 나타나 동포자자퇴 형성 이 크게 억제되었음을 알 수 있었다(Fig. 10A).
난방조건에 따른 국화 ‘백마’의 절화장은 난방을 하지 않은 대조구에서 113.7cm로 가장 짧았으며, RH 90과 80% 난방처리 구에서 119.4~120.0cm로 다른 처리보다 길었다(Table 2). 엽수는 RH 80과 70% 난방처리구에서 45.0~45.9개로 가장 많았고, 대조구에서 27.1개로 가장 적었다. 줄기직경의 경우에도 RH 80과 70% 난방처리구에서 6.1~6.2cm로 가장 굵은 것으로 나타 났다. 절화 생체중의 경우에도 RH 80과 70% 난방처리구에서 99.1~104.0g으로 다른 처리들보다 무거웠고, 대조구에서는 흰 녹병에 감염된 잎이 많아 괴사됨에 따라 절화 생체중이 70.7g으로 가장 가벼웠다(Fig. 10B). 화폭은 RH 80과 70% 난방처리구 에서 10.9~11.0cm로 컸으며, 반면에 대조구에서 8.0cm로 가장 작았다. 꽃무게는 RH 70% 난방처리구에서 22.2g으로 가장 무 거웠으며, 대조구에서 7.5g으로 가장 가벼웠다.
Table 2. Effect of heating in the greenhouse on the growth of standardc hrysanthemum 'Baekma'.
![]() | |
| zMean sparation with in column by Duncan’s multiple range test, at 5% level. | |
따라서 자연환기가 어렵거나 습도가 높을 때 난방기를 가동하여 시설 내 상대습도를 70% 수준으로 낮춰 국화 ‘백마’를 재배 한다면 흰녹병 발생을 크게 억제할 수 있을 뿐만 아니라 절화 생육이 양호할 것으로 판단되었다.
고 찰
환기 방법과 난방 조건에 따른 시설 내 온습도 변화
국화 재배농가에서는 일반적으로 흰녹병을 방제하기 위해 myclobutanil, triflumizole, hexaconazole, bitertanol 등과 같은 성 분의 합성화학농약을 사용하고 있는데, 흰녹병을 60~90% 정도 방제할 수 있다(Dickens, 1990; Choi, 2001). 그러나 농약 사용 으로 인한 과다한 비용지출, 저항성 계통의 출현, 토양오염, 고습 조건에서의 낮은 방제 효과 등의 문제점들이 있다(Water et al., 1984; Bonde and Peterson, 1995). 국화의 흰녹병을 방제하기 위해 농약을 사용하기 전에 시설 내의 습도를 낮게 유지하는 것 이 가장 기본적인 관리 방법인데, 이를 위해 난방기로 주야간 온도를 높여주거나 제습기나 환기팬을 작동하여 상대습도를 낮 추는 방법들을 사용하고 있다(Assaf, 1986; Boulard et al., 1989; Assaf and Zieslin, 2003). Baptista et al.(2008)도 야간에 측창 과 천창을 개방하여 환기를 시킨 하우스는 밀폐시킨 하우스보다 습도가 유의성있게 감소되었다고 하였다.
본 연구에서는 플라스틱 하우스내 습도를 조절하기 위해 야간에 측창을 개방한 자연환기와 공기교반기를 작동시킨 Fan환 기 방법을 사용하였는데, 측창을 밀폐시킨 대조구의 평균 상대습도 94.5%에 비해 자연환기는 20.2%, 자연환기와 Fan환기(자 연+Fan 환기) 를 동시에 처리했을 때에는 21.7% 낮아졌다. 일반적으로 자연환기는 온실 내외의 온도차에 의해 생기는 공기의 비중량 차이 때문에 공기가 이동하는 중력환기와 풍압력에 의해 공기가 이동하는 풍력환기가 있는데, 자연 환기의 성능은 풍 향, 풍속, 일사량, 기온, 습도, 강수량 등의 외부 기상 조건과 온실의 구조, 작물조건에 따라 달라진다(Lee, 2002; Nam et al., 2011). 본 연구에서도 자연환기 처리구의 온도와 상대습도는 야간의 시설 외부의 풍속, 강수량, 습도, 온도 등과 같은 다양한 기 상환경에 의해 조절되었을 것으로 판단된다. 또한 자연환기와 자연+Fan환기 처리간 상대습도의 차이가 크지 않았는데, 이는 단동형 소규모의 플라스틱 하우스 내에서 실험이 이루어졌기 때문으로 생각된다. Sase et al.(2006)은 폴리에틸렌필름 하우스 내에서 환기율이 증가함에 따라 습도는 80%에서 65%로 감소하였고, 온도는 29°C 에서 24°C 로 낮아졌다고 하였다. 본 실험에 서도 대조구보다 자연환기와 자연+Fan환기를 시켰을 때 시설 내 야간 온도가 각각1 .4°C 와 1.6°C 낮아졌다.
잠열교환기(latent heat convertor)를 가동하여 난방할 경우 3600m2의 2중 비닐하우스 내부의 온도를 11.5°C 에서 16.5°C 로 높이면, 시설 내의 상대습도를 95%에서 88%까지 낮출 수 있다고 하였다(Assaf and Zieslin, 2003). 본 연구에서도 전기온풍기 를 이용하여 상대습도를 95%에서 90, 80, 70%로 낮추도록 조절하였는데, 이에 따른 시설 내의 야간 평균 온도는 RH 95% 난 방처리에서 18.4°C 인데 반하여 RH 70% 난방처리에서 25.8°C 로 나타나 7.4°C 상승하였다.
환기 방법과 난방 조건에 따른 흰녹병 발생 및 절화 국화 생육
작물 재배시 습도는 칼슘흡수, 호르몬의 분포, 기공개폐에 관여하는 증산 작용에 영향을 미치는데, 시설 내 습도가 높을 경우 식물의 증산작용을 억제하기 때문에 수분뿐만 아니라 칼슘과 같은 양분을 흡수하지 못하여 영양결핍과 같은 생리장애 현상이 나 병발생이 많아지고, 생육이 불량하게 된다(Bakker, 1984; Picken, 1984). 잿빛곰팡이병(Botrytis cinerea)은 85% 이상의 상 대습도에서 많이 발생하는데, Baptista et al.(2008)는 야간에 측창과 천창을 개방하여 환기를 시킨 하우스는 밀폐시킨 하우스 보다 습도가 유의성있게 감소되어 토마토 잎에 발생하는 잿빛곰팡이병이 감소하였다고 하였다. 장미의 경우에도 시설 내 상대 습도가 90% 이상이면, Botrytis cinerea에 의한 병해가 발생할 뿐만 아니라 기공개폐의 조절 기능이 작동하지 않으며, 절화수 명이 감소하는 현상이 발생한다(Shaul et al., 1995; Mortensen and Giselrod, 2000; Torre and Field, 2001). 따라서 장미는 상 대습도 80% 이하로 유지하는 것이 생육, 개화 및 병 방제에 효과적이라고 하였다(Mortensen and Berland, 2001; Mortensen and Giserod, 2005).
본 연구에서 대조구의 95% 상대습도 조건에서는 흰녹병 발생률 100%, 주당 발병엽수 17개, 발병엽당 동포자퇴수 88.6개인 반면, 자연+Fan환기 처리에 의해 72.8%로 낮아진 상대습도 조건에서는 흰녹병 발생률 43.3%, 주당 발병엽수 1.2개, 발병엽당 동포자퇴수 1.0개로 크게 감소하였다. 또한 RH 70% 난방처리에서도 흰녹병 발생률 34.4%, 주당 발병엽수 0.9개, 발병엽당 동 포자퇴수 1.0개로 대조구보다 흰녹병 발생이 크게 억제되었다. 이러한 결과는 자연+Fan환기 및 난방 처리에 의해 시설 내 습 도가 70.0~72.8%까지 낮아졌기 때문인 것으로 판단되었다. Yoo and Roh(2014)도 절화 국화 재배시 시설 내 상대습도가 90% 조건에서는 흰녹병이 97%, 상대습도 70% 조건에서는 32% 발생하여, 시설 내 습도를 낮추면 흰녹병 발생을 크게 억제할 수 있 다고 하였다.
흰녹병의 원인인 Puccinia horiana의 동포자와 소생자의 형성뿐만 아니라 소생자의 발아는 습도뿐만 아니라 온도도 영향을 미치는데, 25°C 보다 15~20°C 에서 더 잘 진행된다(Firman and Martin, 1968; Anikster, 1986; Park and Kim, 1993). 본 연구 에서 자연+Fan환기 처리보다 RH 70% 난방처리에서 흰녹병 발생률이 낮은 것은 난방에 의해 시설 내 온도가 25.8°C 까지 상 승하여 소생자의 발아를 억제했기 때문인 것으로 판단되었다.
일반적으로 식물의 생장과 발육을 위한 적정 수증기압포차는 0.3~1.0kPa 조건이라고 하였으며, 0.2kPa 이하로 낮아져 과습 하면 병 발생률이 높아지고, 엽면적과 수확량이 감소하며, 생리장해가 발생한다(Hand 1988; Holder and Cockshull, 1990). 본 연구에서 처리별 야간 평균온도와 습도를 이용하여 수증기압포차를 계산하면(Lee et al., 2012), 대조구는 0.09kpa, Fan환기 처 리구는 0.24kPa, 자연환기 처리구는 0.40kPa, 자연+Fan환기 처리구는 0.42kPa이다. 또한 RH 90% 난방처리구는 0.25kPa, RH 80% 난방처리구는 0.55kPa, RH 70% 난방처리구는 0.84kPa이다. 국화는 수증기압차가 0.1~1.2 kPa 범위 내에서는 꽃의 발달 은 지연되나 생육에는 큰 차이가 없다고 하였다(Hand et al., 1996; Mortensen, 2000). 그런데, Han et al.(1998)은 절화 국화 ‘봉 황’을 양액재배시 25°C 에서 시설 내 상대습도가 90(0.3 kPa)과 35% (1.7kPa)보다 70% (0.8kPa)조건에서는 엽과 줄기생장이 양호하였을 뿐만 아니라 증산율과 광합성효율이 높았다고 하였다. 본 연구에서도 대조구, Fan환기 처리구, RH 90% 난방처리 구는 수증기압포차가 0.3kPa 이하로 나타나 국화 ‘백마’의 절화 생육에 부적합하였으며, 흰녹병이 발생하기 좋은 환경이라고 판단되었다.
한국에서 흰녹병의 자연발병률은 5월과 10월에 가장 높게 나타나는데, 이 시기에 자연환기 뿐만 아니라 환기팬을 작동시켜 시설 내 상대습도를 낮춤으로써 국화 ‘백마’의 흰녹병을 방제할 수 있을 뿐만 아니라 절화 생육을 향상시킬 수 있다. 또한, 10월 에는 야간에 난방을 실시하여 시설 내 상대습도를 70%까지 낮추고 온도를 높인다면, 흰녹병을 더 효과적으로 방제할 수 있을 것으로 판단되었다.














