서 언
파프리카(Capsicim annuum L.)는 단위면적당 소득이 높은 작물로 인식되어 재배면적이 2010년 424a에서 2013년 575a로 35.6% 증가하였으며, 시설환경조절 재배 기술 발전 등으로 단위 면적당 생산량은 2010년 8.96kg · m-2에서 2013년 10.1kg · m-2로 증가하였다(aTkati, 2014). 색상 · 크기가 다양한 파프리카는 과형의 모양에 따라 Blocky, Lamuyo, Conical, Dolma, Cherry 타입으로 분류되며, 국내에서는 주로 Blocky 타입의 다양한 F1품종이 재배 · 유통되고 있다. 국내에서 파프리카가 산업적으로 재배되기 시작한 1990년대에는 적색계통은 ‘Spirit’, 황색은 ‘Fiesta’, 주황색은 ‘Orangina’ 품종이 2-3년간 시장의 90% 이상을 점유하였으나, 2000년대 접어들며 적색 ‘Jubilee’, 황색 ‘Romeca’가 등장하여 선택의 폭이 넓어졌고, 적색계통의 주요품종은 ‘Spirit’에서 ‘Special’로 대체되었다. 이후 2005년부터 적색계통은 ‘Special’에서 ‘Ferrari’로, 황색계통은 ‘Fiesta’에서 ‘Conffeti’로 대체 되는 경향을 보이고 있다.
한편, 파프리카는 재배온도가 최저 18°C 이상을 유지해야 하는 고온성 작물이므로 국내 재배 작형은 편의상 겨울을 분기로 여름과 겨울 작형으로 나눈다. 여름 작형은 3-5월 정식하여5-12월에 수확하는 재배로 강원도와 일부 남부지역의 고랭지가 주산지이며, 겨울 작형은 8-9월 정식하여10월-익년7월에 수확하는 재배로 경남, 전남·북의 평지, 경기, 충청 등을 중심으로 재배하고 있다(Jeong et al., 2008). 최근 온실내부 설비(냉 · 난방기 설치, 피복재 등)의 개선, 환경 관리 및 재배 기술 발달로 여름 작형에서도 정식시기를 기존보다 3-4개월 앞당겨 11-12월 정식 하고 익년 3월부터 9개월 이상 수확하는 장기 재배작형이 일부 농가를 중심으로 시도되고 있다. 이러한 작형은 기존의 겨울 · 여름 작형에서 가장 재배가 힘든 시기인 혹한기 · 장마기를 모두 경과하기 때문에 기존 작형과 달리 저온 · 약광기의 생육초기 재배관리와 고온 · 약광기의 착과 기술 등 보다 정밀한 환경 관리 기술이 요구된다.
파프리카 생산성 향상 요인으로는 시설 및 기술의 발달 이외에도 우량 품종 개발과 공급을 꼽을 수 있기 때문에 파프리카의 생산성을 확보하기 위하여는 지역 특성을 고려한 작형, 재배 품종에 맞는 관리 기술을 고려해야 한다. 현재 국내 생산농가에서 재배하고 있는 F1품종은 적색계는 ‘Special’, ‘Ferrari’, ‘Cupra’, ‘Jubilee’, ‘Debla’, ‘Plenty’, ‘Mirage’, ‘Goal’, 황색계는 ‘Fiesta’, ‘Confetti’, ‘Maserati’, ‘Romeca’, ‘RZ 208’, ‘Clarity’, ‘Derby’, ‘Score’, 주황색계는 ‘President’, ‘Boogie’, ‘Fellini’, ‘Maximalia’ 등으로 종류가 매우 다양해지고 있으나(농촌진흥청 원클릭 농업기술), 기존 재배품종 외에 신규 도입 품종에 대한 작형 · 재배 형태에 따른 품종의 생육 및 착과 특성에 관한 연구는 충분히 이루어 지지 못한 실정이다.
Lee et al.(2001)는 단기 하계 토경재배 작형에 적합한 품종으로 적색계 ‘Spirit’, ‘Cartago’, ‘Cumbia’, ‘Edison’, ‘Corsica’, 황색계 ‘Fiesta’, ‘Romeca’, ‘Kelvin’, 주황색계 ‘Nassau’, ‘Narobi’를 선발하였고, Won et al(2009)은 규격품과의 비율과 착과 안정성을 고려했을 때 적색 ‘Special’, ‘Cupra’, 주황 ‘Boogie’, ‘President’, Fellini’, 황색 ‘Fiesta’, ‘Derby’ 가 적합하다고 하였으며, Lee(2011)는 동계 작형에서 ‘Cupra’, ‘Ferrari’가 착과수가 가장 많은 것으로 보고하였다. 이처럼 적정 품종은 시설 환경, 재배 기술 등에 따라 상업화된 온실에서는 적합하지 않을 수 도 있으며, 파프리카 신품종 개발의 속도가 매우 빨라져 종자회사마다 매년 신규 F1 종자들이 출시되고 있는 상황에서 6년-17년 전 출시된 품종들을 현재 재배 농가에 적용하기에는 한계가 있다. 따라서 본 실험은 정식 시기를 앞당긴 여름 작형에서의 신규 도입 품종과 기존 품종의 생육 및 착과 특성을 비교하여, 신규 F1 품종의 생육 및 착과 특성을 검토하고 강원도를 중심으로 늘어나고 있는 겨울정식 여름작형 농가 중 측고가 높은 온실에 적합한 품종 및 측고가 낮아 재배기간이 짧은 온실에 적합한 품종 선정 기초자료로 활용하고자 수행 되었다.
재료 및 방법
본 실험은 강원도 인제군에 소재(위도 38.25, 경도 128.20, 해발 300m)한 연동 플라스틱 필름온실(면적 3,054.2 m2, 측고 5m)에서 2013년 12월 5일부터 2014년 9월 30일까지 42주 동안 수행되었다. 시험에 사용한 품종은 적색계 ‘Nagano’, ‘Maranello’,‘Sirocco’, ‘Maduro’, ‘Special’ 5품종과 황색계 ‘Sven’, ‘Thialf’, ‘Volante’, ‘Zagato’, ‘Coletti’ 5품종을 공시하였다.
2013년 10월 19일 암면트레이(240공, Grodan co., Netherlands)에 파종하여 17일후 암면큐브(Planttop 10cm × 10cm × 7.5cm, Grodan co.)에 첫 본잎이 발현한 마디가 큐브와 밀착하도록 유묘의 길이에 따라 절곡하여 이식하고, 12월 5일 암면슬라브(Expart 120cm × 12cm × 7.5cm, Grodan co.)에 3주씩, 재식밀도 6.8줄기/m2로 정식한 후 3줄기 유인하여 관행 수경재배 하였다. 시험구배치는 한처리구당 9주씩 3반복하여 총 27주를 완전 임의배치 하였다. 파프리카 배양액은 네덜란드 PBG양액(비순환식)을 사용하여 전생육기간 공급EC 2.1-2.8dS · m-1 급액하면서 배지 내 EC 3.5-5.0dS · m-1, 함수율 55-65%, 함수율편차(ΔWC) 6-10%로 조절하기 위해 일일 공급량을 조정하여 관리하였다.
파프리카 환경관리는 복합환경제어 시스템 (MAXIMIZER 4.2.0 Bulid 4771 Version, Priva B.V, The Netherlands)을 사용하여 24시간 평균온도 20-22°C를 유지하도록 관리하였고 주간 이산화탄소 농도를 400-700ppm로 유지하고자 액화탄산가스(Sundo Chemical Co., Korea)를 시비하였다. 품종 별로 생육 및 착과 특성을 비교하기 위해 정식 후 42주 동안 매주 초장, 절간장, 마디수, 상대적 절간 비율, 착과수, 착과위치, 착과율, 착과간 거리를 조사하였다.
착과수가 증가하고 생육이 진전됨에 따라 주의 생장 억제 정도를 나타내는 지표로 ‘상대적 절간 비율’ 개념과 생육 대비 착과효율성을 나타내는 지표로 ‘착과율’과 ‘착과거리’ 개념을 도입하였고, 이는 다음 식으로 산정하였다.
상대적 절간 비율 (%) = (각 생육단계별 평균절간장 / 전 생육기간의 평균절간장) ×100
착과율 (%) = (총 착과마디수 / 총 마디수) × 100
착과간 거리(cm) = 총 착과수 / 생육 종료 시점의 초장
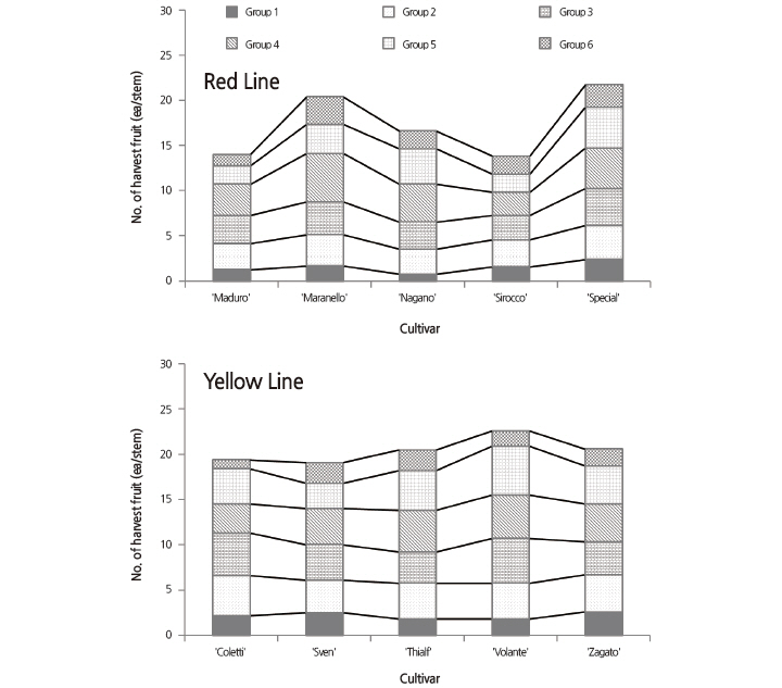
생육조사는 전 생육기간을 8마디씩 나누어 총 여섯 단계로(Group 1: 1-8 마디, Group 2: 9-16마디, Group 3: 17-24마디, Group 4: 25-32마디, Group 5: 33-40마디, Group 6: 41마디 이상) 구분하여 조사하였다.
통계처리는 SPSS(14.0 version, USA) 프로그램을 사용하여 Duncan 다중비교(Duncan’s Multiple Range Test) 로 유의성을 검정(p < 0.05)하였다.
결과 및 고찰
품종별 평균 절간장은 적색계에서는 ‘Special’이 6.08cm로 가장 짧았고 ‘Maduro’가 7.98cm로 가장 길었다. 황색계에서는 ‘Zagato’가 6.09cm로 가장 짧았고 ‘Sven’이 7.54cm로 가장 길었다. 생육단계별 평균 절간장은 적색계는 2그룹, 황색계는 1그룹이 가장 컸고 그 이후 지속적으로 감소하는 경향을 보였다(Table 1).
파프리카는 영양생장과 생식생장의 균형에 민감한 과채류이기에 생육진전 및 착과가 작물의 균형에 미치는 영향이 중요하고, 이러한 작물의 균형을 판단하는 지표로 절간장 및 개화위치 등이 사용될 수 있다. 착과된 과실이 적은 생육초기에는 모든 품종이 평균이상 이었고, 생육이 진전될수록 상대적 절간비율이 감소하는 경향을 보였다(Fig. 1). 이는 다른 기간에 비하여 과실의 동화산물 요구도가 상대적으로 낮아 생성된 동화산물이 주로 뿌리 활착 및 엽면적 확보를 위해 사용되면서 영양생장 형태로 유도되었기 때문으로 생각된다. 하지만 과실의 착과 및 비대가 동시에 일어나기 시작하는 2그룹부터는 착과수의 영향을 받아 비대기의 과실이 동화산물의 주요 sink역할을 함으로써 잎과 줄기로의 상대적인 동화산물 분배비율이 감소시켜(Ho, 1996; Tie et al., 2002) 품종간 편차가 커지기 시작하여 잎과 줄기의 생육이 억제되었던 것으로 생각된다. 이러한 경향은 적색계 품종이 황색계 품종에 비해 심하였는데, 특히 적색계 ‘Special’이 1그룹 125%에서 6그룹 70%로, 황색계 ‘Zagato’는 1그룹 133%에서 6그룹 85%로 큰 감소율을 보여 공시한 품종 중 가장 생육억제가 심한 품종이었다. 적색 ‘Maranello’는 1그룹 113%에서 6그룹 93%로, 황색 ‘Volante’는 1그룹 110%에서 6그룹 95%로 가장 작은 감소율을 보여 생육균형이 좋았던 품종으로 분류되었다.
평균 착과율은 적색계는 36.9%의 착과율을 보였고, 황색계는 47.7%의 착과율을 보여 황색계의 전체 마디수가 적색계 보다 4.1마디 적었음에도 착과율이 10.8% 높았다(Table 2). 특히 품종별 착과율은 적색계 중 ‘Special’이 46.8%로 가장 높았고 ‘Sirocco’ 가 29.3%로 가장 낮았으며, 황색계에서는 ‘Volante’가 52.4%로 가장 높았고 ‘Zagato’가 45.9%로 가장 낮았다. 이러한 결과는 8월 정식하여 익년 2월까지 재배한 겨울작형에의 착과율이 ‘Special’ 30.7%, ‘Sirocco’ 46.2% 였다는 Kim et al.(2012)의 보고와 상반된 결과로, 동일 품종이라도 생육단계별 적정 온 · 습도 및 광 환경의 차이에 따라 착과력이 달라 질 수 있는 근거로 활용 할 수 있다. 파프리카의 화뢰는 매 마디 형성되므로(Wien, 1997) 일반적으로 동일 기간 내 마디수의 차이는 화뢰 수와 비례 관계를 보이지만(Kim et al., 2012), 적색계 품종의 마디수가 많았음에도 착과율이 낮았던 본 실험의 결과에서 보듯이, 화뢰수와 착과율은 반드시 비례하는 것이 아님을 시사하고 있다. 따라서 재배 농가의 품종선택 시 마디 형성뿐만 아니라 착과율이 높은 품종을 선택하는 것이 유리할 것으로 판단된다.
Table 2. Fruit setting characteristics in winter-planted paprika cultivars.
| |
zFruit setting ratio (%) : ( B/A ) × 100 yMean separation within columns done by Duncan's multiple range test at 5% level. | |
생육단계별 줄기당 누적 착과수는 적색계통 에서는 ‘Special’과 ‘Maranello’가 ‘Sirocco’와 ‘Maduro’에 비해 상당히 많았고, 황색계통 에서는 ‘Volante’가 ‘Coletti’와 ‘Sven’에 비해 조금 많았다. 평균적으로 적색계통에 비하여 황색계통의 착과수가 많고 품종간 편차가 적었다(Fig 2). 황색계 중 착과수가 적은편에 속하였던 ‘Coletti’의 줄기당 착과수는 19.4개로 Um et al.(2013)이 간척지 유리온실에서 7월에 정식하여 52주간 재배한 겨울작형의 착과수 16.2개 보다 20% 높았고, 11월 정식하여 52주간 재배한 여름작형의 착과수 13.6개 보다 40% 많았다. 이는 동일 품종이라도 정식시기에 따른 착과력이 차이가 있음을 시사하였다.
생육단계별 착과량은 다른 기간에 비해 1, 6그룹이 적었는데(Fig 2) 이는 첫그룹 착과시 영양생장 유도를 위해 실시하는 적과작업과 작기말 작물 노화로 인한 착과 감소 및 주지적심 등의 시기적인 영향으로 보이며 여름작형에서 12월 착과수가 가장 적었던 결과와 일치하였다. 6, 7월 장마기에 생육 성과기를 거치는 여름 작형에서는 일반적으로 8, 9월의 수량이 급속히 감소하는데(Um et al., 2013) 본 실험이 수행되었던 2014년은 장마기가 예년에 비하여 짦고 광환경이 좋아서(data not shown) 예상과 달리 6, 7월에 성과기를 거친 4그룹 착과량이 크게 감소하지는 않았지만 적색 ‘Sirocco’, 황색 ‘Coletti’는 4그룹 착과량이 가장 적었던 것으로 보아 공시 품종 가운데 ‘Sirocco’와 ‘Coletti’가 저광 · 고온 환경에 민감한 품종으로 판단되었다.
적색계통 중 ‘Special’, ‘Maranello’ 황색계통 중 ‘Volante’가 짧았고 적색 ‘Maduro’, 황색 ‘Sven’이 길었다(Fig. 3). 황색계통은 품종간 편차가 작았지만 적색계통은 품종간 편차가 컸다. 적색 ‘Special’은 소과종 품종으로, 대과종 품종과 비교하여 과실생장 기간이 짧기 때문에 착과율이 높고 생산량이 많았다는 Jang and Chung(1998), Heuvelink and Korner(2001), Lee et al.(2001)의 보고와 일치하였지만 황색 ‘Coletti’는 소과종 품종임에도 불구하고 이와 같은 특징을 나타내지 않았다. 강원도 소재의 비닐온실 중 81%는 지형 특성상 측고가 낮아 재배기간이 짧고 후기에 경사유인을 하거나 조기 적심이 필수적이기에 남부지역을 중심으로 한 겨울 작형에 비해 생육 및 수량 저하의 원인이 된다. 이를 극복하기 위해서 온실 측고가 낮은 온실에서 착과간 거리를 품종선택의 주요 요인으로 활용할 수 있으리라 판단되며 착과간 거리가 짧은 적색 ‘Special’, 황색 ‘Volante’ 품종을 선택하는 것이 유리할 것으로 생각된다.
초장대비 총 수확량은 적색계 품종은 ‘Special’을 제외한 모든 품종이 황색품종에 비해 초장이 길었고 특히 ‘Maduro’와 ‘Sirocco’가 상당히 길었다(Fig. 4). 황색 품종은 상대적으로 ‘Sven’이 길었지만 적색 ‘Special’과 비슷한 수준이었고 품종간 차이가 미미하였다. 이는 Won et al.(2009)이 적색계 5품종 및 주황색계 3품종이 황색계 4품종에 비해 생육이 더디다고 한 보고와 상이하였고, Kim et al.(2012)의 연구결과를 동일재배기간으로 환산하였을 때 적색 ‘Sirocco’, 황색 ‘Thialf’의 초장이 본 실험에 비해 각 4%, 41% 감소하였다. 이는 본 실험과 색상 별 공시한 품종의 불일치와 10년간 재배기술 및 시설의 발달로 인한 환경관리 기술이 영향을 준 것으로 생각된다. 이와 같이 품종이 가진 생육특성 발현이 각 연구의 작형 차이에 의한 환경 및 외부요인의 영향 및 재배기술에 의해 차이가 있음을 고려할 수 있다.
재배환경과 재배기술에 의한 생장 특성이 품종에 따라 달리 발현됨을 고려할 때 겨울정식하여 여름재배가 이루어지는 작형에서 ‘Sirocco’와 ‘Maduro’와 같이 긴 초장에 비해 착과량이 매우 적은 영양 생장형 품종을 재배할 시에는 재배자가 생식 생장으로 유도하여 관리하는 것이 생산량을 높이기에 좋을 것으로 생각된다.
작물생산 온실에서는 매월 일정한 양을 수확하는 것이 온실 경영효율 측면에서 매우 유리하다(Jeong et al., 2008; Won et al., 2009). 기존의 파프리카 재배는 그룹 착과성을 갖고 있어 연속 착과의 어려움이 있었으나 최근에는 시설환경 개선, 재배기술의 발달 및 생육과 착과력의 균형이 좋은 신규 품종 개발 등으로 인해 그룹간의 간격을 줄여 단위 면적당 생산량 증대 및 농가 경영이익을 창출하고 있다. 따라서 재배환경과 기술이 같은 조건에서는 품종특성 발현이 수량과 이익에 주요인자로 작용 할 수 있으므로 지역과 작형 특성 및 전 생육단계에서 수량과 생장이 균형잡힌 품종선택은 매우 중요한 요건이다. 따라서 겨울정식 하계작형 온실 가운데 측고가 높은 온실에서는 장기재배를 위한 작물의 생육 · 수량의 균형이 가장 중요하기 때문에 생육후기 생육억제정도가 가장 적고 착과수의 그룹간 착과수의 편차가 적은 품종인 적색 ‘Maranello’, ‘Nagano’ 2종과, 황색 ‘Sven’, ‘Thialf’,’ ‘Volante’ 3종이 적합할 것으로 판단되고 측고가 비교적 재배기간이 짧은 온실에서는 생육 · 수량의 균형보단 초장대비 수량이 많은 것이 중요하기 때문에 4그룹 이전까지의 착과수가 많고 착과거리가 짧은 적색 ‘Special’, ‘Maranello’ 2종과 황색 ‘Volante’, ‘Zagato’ 2종이 적합할 것으로 판단된다.








