Introduction
Materials and Methods
Plant Material and 1-MCP Treatment
Fruit Quality and Physiological Disorder Assessment
Results and Discussion
Introduction
Among the many fresh agricultural products from Korea, the amount of pear (pyrus pyrifolia Nakai) fruit exports reached 22,706 tons in 2015 , representing the largest percentage of exported fresh fruit (16%), a value that is steadily increasing every year (Statistics Korea, 2016). Korean pear is exported to approximately 20 countries worldwide, with 44.7% (~10,160 tons) and 41.7% (~9,471 tons) exported to Taiwan and the United States, respectively. Recently, various efforts have focused on expanding the export market of Asian pear to regions such as Southeast Asia and various European countries (K-stat, 2015). Among exported cultivars, ‘Niitaka’ (mid-season cultivar) constitutes the largest portion, but recently, the export volume of domestic cultivated cultivars such as ‘Wonhwang’ (early-season), ‘Hwangkeumbae’ (early- to mid-season), and ‘Chuhwangbae’ (late-season) pear has been gradually increasing.
‘Wonhwang’ pear has the largest cultivation area among the cultivars developed in Korea and represents the second most abundant cultivar in the pear export market. However, it has recently become quite difficult to export Asian pear due to the occurrence of physiological disorders including internal browning, flesh soaking, and skin blackening during distribution in the destination countries, especially in high-temperature regions. In Taiwan, a major Korean pear export destination, the average temperature in major cities is 28.5°C in August, 27.8°C in September, and 26.1°C in October. Moreover, depending on the region, there is a high temperature difference from the lowest temperature (20.8°C) to the highest (35.6°C) during the distribution period (CWB, 2015). Therefore, if the fruits are exposed to high temperatures during distribution in local areas, these temperatures might cause problems such as reduced fruit quality, leading to fruit disposal due to the occurrence of internal disorders (Lee et al., 2011).
On the other hand, treatment with 1-methylcyclopropene (1-MCp) is an effective way to improve post-harvest storage life of various fruit species including Chinese and Korean pear (Dong et al., 2015; Jiang and Joyce, 2002; Moon et al., 2008; Watkins, 2006). In this study, we compared the changes in fruit quality and the incidence of physiological disorders in ‘Wonhwang’ pears stored at various temperatures after 1-MCp treatment. The results of this study will contribute to the expansion of the export market and the marketability of Korean pear fruits.
Materials and Methods
plant Material and 1-MCp Treatment
This study was carried out using 10-year-old ‘Wonhwang’ pear trees (pyrus pyrifolia Nakai) planted at the National Institute of Horticultural Science, Naju, Korea. Fruits were harvested on the 125th day after bloom (August 27, 2015). After harvesting, the fruits were pre-conditioned for 1 day at room temperature (25°C).
Subsequently, 1-methylcyclopropene (1-MCp) treatment was performed by sealing the fruits in a plastic box with pE film (0.1 mm) and vaporizing them with 1.0 µL·L-1 of 1-MCp (SmartFreshTM, AgroFresh Inc., USA) at 25°C for 12 hrs. A small fan was installed in the treatment box to circulate the air during treatment (Choi and Bae, 2007). After 1-MCp treatment, the fruits were packed in 5 kg paperboard cartons for export. The change in fruit quality and the incidence of physiological disorders were examined for 28 days at 7-day intervals in samples stored at 18, 25, or 30°C and 80% RH.
Fruit Quality and physiological Disorder Assessment
The flesh firmness of the fruits was measured at two points on the equator of the fruit after removing skin with an 8 mm tip using a rheometer (TMS-pro, Food Technology Corp., USA). The maximum pressure was measured from a 5 mm sample at a crosshead speed of 100 mm.min-1. Fruit juice samples for soluble solids and titratable acidity measurements were prepared by cutting the flesh of the fruit equatorial plane to a thickness of 10 mm. The soluble solids content was measured using a digital refractometer (pR-32a, ATAGO, Japan). To determine titratable acidity, 5 mL of juice was diluted in 35 mL of distilled water, neutralized to pH 8.3 with 0.1 N NaOH, and converted into malic acid. Skin color difference values L*, a*, and b* were measured at the fruit equatorial plane using a chroma meter (CR-410, Minolta, Japan), and the hue angle was calculated.
Ethylene production and the respiration rate of the fruits were measured using three replicates per treatment: two fruits were placed in a 3.4 L plastic jar, followed by incubation at 25°C for 2 hours. A 1 mL sample of the gas inside the sealed jar was collected with a syringe and analyzed with a gas chromatograph (YL 6100-GC, Younglin, Korea) equipped with FID and TCD (Tamura et al., 2003). The fruits were visually examined for the occurrence of physiological disorders including core browning, internal browning, mealiness, and water soaking. The incidence of disorder was scored based on the damaged area of the cut surface (0: no occurrence, 1: < 20%, 2: < 40%, 3: < 60%, 4: < 80%, 5: > 80%).
Statistical analysis was performed by Duncan’s multiple range test (5% level) using the SpSS program (Version 20.0, SpSS, Inc., Chicago, IL, USA).
Results and Discussion
After 1-MCp treatment, which has been shown to inhibit ethylene activity (Blankenship and Dole, 2003), we investigated the change in quality of Asian pear cultivar ‘Wonhwang’ fruits stored at different temperatures. Weight loss tended to increase with increasing storage period, especially at higher temperatures, which is similar to previous reports on Asian pears (Kim et al., 2011; Lee et al., 2011). There was no significant difference between the 1-MCp treatment and untreated control groups during the 21-day storage periods (Table 1). Under 25°C storage, the firmness of untreated fruits rapidly decreased to 28.5 N after 14 days, 17.0 N after 21 days, and 9.6 N after 28 days. By contrast, the firmness of fruits under 1-MCp treatment remained high (at 29.1 N) after 28 days of storage. At 30°C, untreated fruits rapidly softened to 15.2 N after 21 days of storage, and quality analysis became impossible due to fruit decay after 28 days of storage. By contrast, the flesh firmness of 1-MCp-treated fruits remained in the edible state (22.8 N) even after 21 days of storage. The firmness of fruits stored at 18°C was not significantly different between the control and 1-MCp-treated groups, with values remaining high (37.3 N and 38.1 N, respectively) after 28 days of storage (Table 1). The efficacy of 1-MCp treatment on pear fruits varies depending on the concentration (Mahajan et al., 2010), the cultivar and harvest time (Lee et al., 2012, 2014b), and the distribution period (Moon et al., 2008). Our results suggest that the effect of 1-MCp treatment on flesh firmness in Asian pear fruits also varies depending on the storage temperature. Soluble solids and acid content did not significantly differ based on the storage temperature and duration, and 1-MCp treatment did not affect the overall quality (Table 1).
We also investigated the differences in the skin color of fruits during storage. The L* value tended to decrease with increasing storage period regardless of temperature condition. However, the L* value remained somewhat higher in 1-MCp-treated fruit at 30°C. At 18°C storage temperature, there was little difference in L* value between treatments. The a* value, which indicates the increase in green color (negative values) and red color (positive values), generally increases during fruit maturation in Asian pear (Oh et al., 2010). The a* value was higher in fruits stored at 30°C than at 18°C, with a greater increase in control fruits than in fruits treated with 1-MCp (Table 2). The b* value, which reflects the expression of skin yellowness, showed a similar tendency to the a* value. The hue angle tends to decrease gradually as the shelf life of the Asian pear progresses (Lee et al., 2014b) and can therefore be used as an index of ripening in pear fruit. In the current study, we also found that as the storage period increased, the hue angle exhibited a significantly greater decrease at 30°C than at 18°C and that 1-MCp treatment significantly inhibited the decrease in hue angle (Table 2).
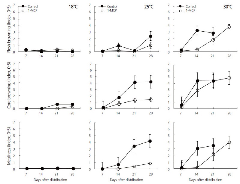
One of the major factors contributing to the deterioration of Asian pear fruit during the storage and distribution period is the occurrence of physiological disorders. In particular, internal disorders are difficult to distinguish based on the fruits’ appearance, which causes substantial problems such as consumer recall after distribution. The incidence of disorders varies depending on the transport temperature during the fruit exporting process (Oh et al., 2010). In the current study, the physiological disorders that occurred during the 28 days of storage in ‘Wonhwang’ pear included flesh browning, core browning, and mealiness. The occurrence of flesh browning was low at 18°C regardless of treatment with 1-MCp. After 28 days of storage at 25°C, flesh browning in untreated fruit occurred at a rate of 2.4, while that under 1-MCp treated showed a low incidence rate of 1.0 (Fig. 1).
The rate of core browning increased as the storage period increased, but this rate was lower at 18°C and under 1-MCp treatment regardless of temperature compared to the control. At 18°C, the rate of core browning in untreated fruit was 0.7 on the 28th day of storage and that under 1-MCp treatment was 0.3; these rates are relatively low compared to those at higher temperatures. On the other hand, at 25°C, this value was 1.8 at 14 days and 4.2 at 21 days of storage, and more than 80% of the core area was brown. In 1-MCp-treated fruit, core browning began to occur at 14 days of storage and remained significantly lower (at 1.4) after 28 days compared to the untreated control. At 30°C, in untreated fruits, core browning began to occur after 7 days of storage and rapidly increased (to 4.5) after 14 days. However, core browning was significantly inhibited in 1-MCp-treated fruits, with a value of 2.9 at 14 days of storage (Fig. 1).
Mealiness has a great influence on the texture of fruit. The incidence of mealiness in fruit treated with 1-MCp was extremely low at 21 days of storage at 25°C, but the untreated fruits were inedible due to the rapid increase in mealiness during the same period. At 30°C, 1-MCp treatment prolonged the edible period of the fruit for 7 days compared to the control (Fig. 1). Overall, the effect of 1-MCp treatment on early-season ‘Wonhwang’ Asian pear was not obvious when the storage temperature was as low as 18°C, but this treatment was very effective in reducing the incidence of physiological disorders at temperatures above 25°C (Fig. 1).
The occurrence of physiological disorders in Asian pear is related to the control of ethylene production and the respiration rate (Chen et al., 2010; Lee et al., 2014a; Lee et al., 2016). Therefore, in this study, we investigated the changes in ethylene production and respiration rate in fruit during various periods of storage at different temperatures. Ethylene production increased with increasing storage temperature (Fig. 2), as previously reported (Kitamura et al., 1981). Ethylene production did not significantly differ between untreated and 1-MCp-treated fruits stored at all storage temperatures (Fig. 2). These results are similar to the findings for ‘Akemizu’ pear, in which the only difference detected was the timing of peak ethylene production based on storage time (Li and Wang, 2009). The maximum ethylene production level of ‘Wonhwang’ pear was 1.5 μL·kg-1·h-1, which is equivalent to the “moderate” range of the ethylene-generating group of Japanese pears classified by Itai et al. (2003). In some Japanese pear cultivars, climacteric and non-climacteric types co-exist (Kitamura et al., 1981), and harvest season is closely related to maximum ethylene production during fruit ripening (Itai et al., 2003), suggesting that ‘Wonhwang’ pear, which is an early-season cultivar and a moderate ethylene producer, may be climacteric.
Treatment with 1-MCp significantly inhibited the respiration rates of fruits stored at 25°C and 30°C compared with the untreated control. In 1-MCp-treated fruits stored at 25°C, the respiration rate at 15 days of storage was 5.8 mL·kg-1·h-1, which was half that of the control. At 30°C, the respiration rate of 1-MCp-treated fruits was 7.2 mL·kg-1·h-1 on the 10th day of storage, which was 1/3 that of the untreated control (Fig. 2). These results suggest that the respiration rate of Asian pear fruit is significantly affected by temperature, which is similar to the finding that the respiration rate changes according to temperature in fruits such as tomatoes (Getinet et al., 2008), apples (Fagundes et al., 2013), and other Asian pears (Hong et al., 2004; Lee et al., 2016).
There was no significant difference in external appearance value between 1-MCp-treated fruits and the untreated control when stored at 18°C. On the other hand, at 30°C, water-soaking and skin browning occurred beginning at 14 days in untreated fruits, and it was impossible to analyze fruit appearance due to the decay of the fruit at 28 days. However, 1-MCp treatment had significant effects on the maintenance of fruit quality and the reduction in physiological disorders, especially at high temperatures, due to the delayed occurrence of skin discoloration, which did not occur until 21 days of storage (Fig. 3). Therefore, we strongly recommend applying 1-MCp treatment to maintain fruit quality and appearance in Asian pear cultivar ‘Wonhwang’, which could successfully be used to enhance the exportation process to high-temperature distribution areas such as Southeast Asia.







