서언
절화 장미(Rosa hybrida L.)는 세계 3대 절화 중의 하나로 2015년 기준 국내 생산량과 생산액은 1억 44백만 본과 약 677억 원으로 전체 절화류 생산량과 생산액의 각각 26.7%와 31.1%를 차지하고 있으며, 수출액은 2000년 이후 증가하였으나 2013년 부터 감소하는 추세를 보여 2015년 3,264천 달러를 차지하고 있다(MAFRA, 2016). 국내산 절화 장미는 일본과 러시아 등으로 주로 수출되고 있으며, 일본의 경우 2015년 기준 전체 수출량의 96.7%를 차지하고 있다(KITA, 2016). 절화용으로 재배되는 장미의 계통 중
스프레이 타입은 일본에서 인기가 많으며, 스프레이 타입의 품종 중 선명한 자색을 가지고 있는 ‘Lovely Lydia’는 일본으로 수출되는 주력 품목 중 하나이다(Yoon et al., 2015).
절화 장미는 수확 전의 품종 및 재배환경과 병해충, 수확 후의 에틸렌과 미생물 등으로 인해 품질에 영향을 받으며, 이 중 줄기 도관부에 미생물 발생은 장미 절화수명의 주된 요인으로 알려져 있다(Hoogerwerf et al., 1989; Lee et al., 2005; Lee and Kim, 2014). 도관 내 미생물 증식은 도관 막힘의 주 원인으로 수분 흡수를 감소시켜 장미의 수분스트레스를 유도하며, 주로 소화경에서 일어나 꽃목굽음이 많이 발생하여 품질 및 관상가치 저하를 초래한다(Burdett, 1970; In et al., 2016; Lim, 2011; van Doorn, 1989). 미생물 발생은 살균제를 통해 억제시킬 수 있으며, silver nitrate, silver thiosulfate(STS), 8-hydroxyquinoline citrate (8-HQC), 8-hydroxyquinoline sulfate(8-HQS), aluminum sulfate[Al2(SO4)3]와 같은 살균제들이 사용되고 있다(Lee and Kim, 2014). Choi et al.(2013) 연구에 따르면, aluminum sulfate를 혼합하여 전처리 시 무처리에 비해 절화 장미의 절화수명이 연장되고 품질이 향상된 것으로 조사되었으며, Lee and Kim(2014)은 HQS 200µL·L-1 처리 시 박테리아 축적을 억제시킨 것으로 연구되었고, Park et al.(2011)은 HQS를 100mg·L-1 농도로 혼합하여 사용 시 절화 장미 ‘Enjoy’의 절화수명 연장 효과가 있는 것으로 조사되었다. 또한, 절화 장미를 수확 후 silver thiosulfate 처리 시 절화수명이 연장되고 품질이 향상된 것으로 보고되었다(Pouri et al., 2017). 그러나 이와 같은 살균제들은 잎의 위조와 탈리, 줄기 갈변 등 식물체에 독성으로 작용하고, 환경오염뿐만 아니라 인체에 유해하여 상업적으로 사용이 제한되고 있다(Gebhart and Kappauf, 1980; Xie et al., 2008). 이에 따라 최근에는 산화력이 높은 산소계 살균제로 알려진 chlorine dioxide(ClO2) (Benarde et al., 1965; Lee and Kim, 2014)와 ClO2 성분인 Vital Oxide와 Cl 성분인 Vibrex를 살균제로 사용하고 있으며, Lee et al.(2016)의 연구 결과에 따르면 Vital Oxide 0.002mL·L-1 전처리 시 절화 장미 ‘Antique Curl’의 절화수명 연장 및 품질 유지와 잿빛곰팡이 방제효과가 있는 것으로 조사되었다. 또한, Lee and Kim(2013)의 연구 결과에서는 절화 장미의 보존용액 처리 시 Cl은 보존용액 내 유리염소 항균효과로 인해 세균 발생 억제에 영향을 미쳐 장미의 절화수명 연장에 효과가 있는 것으로 조사되었다.
MEFI(movable eco-friendly flower incubator) 기술은 식물이 인지하는 특정한 파장의 광선을 이용하여 LED를 통해 수출 시 유통 과정 동안 절화의 신선도 및 품질을 유지하게 하는 친환경적인 기술이다. LED는 식물체의 생장과 생리활성에 필요한 특정 파장을 선택할 수 있는 장점이 있어 식물재배용으로 이용성이 기대되고 있으며, 주로 상추, 고추 등의 생육과 식물공장 적용 위주의 연구가 이루어지고 있다(Eun et al., 2010; Lee et al., 2009). 화훼 분야에서는 접목 선인장의 LED에 따른 색 발현(Nam et al., 2010), 국화와 프리지아의 생장 및 개화에 미치는 영향(Choi et al., 2012; Lee and Hwang, 2014) 등 여러 연구가 이루어지고 있다. 수확 후 관리 분야에서는 UV-C를 이용하여 절화 장미의 잿빛곰팡이 방제 등의 연구가 이루어지고 있으나(Choi, 2007; Lee et al., 2016) 화훼에 적용된 연구나 사례는 거의 없는 실정이다.
따라서, 본 연구에서는 수출용 스프레이 절화 장미 ‘Lovely Lydia’의 수확 후 Vital Oxide 전처리와 LED를이용한 MEFI 기술을 적용하여 일본으로의 수출을 고려한 모의 수송 시 절화수명 및 품질에 미치는 효과를 알아보고자 수행하였다.
재료 및 방법
공시재료는 2016년 7월 전라북도 장수에 있는 농가에서 스프레이 타입의 절화 장미(Rosa hybrida L.) ‘Lovely Lydia’를 수확하여 사용하였다. 선행 연구 결과를 통해 농가에서 수확 후 절화 장미 ‘Lovely Lydia’의 최적 전처리로 판단된 ClO2 성분의 Vital Oxide(Danbi Bio, Korea) 2,000mL·L-1 제품을 2mL·L-1로 사용하여 4시간 동안 전처리 하였으며, 수돗물을 대조구로 하였다. 일본으로의 수출 과정 적용을 위해 전처리 후 70cm로 재절단 하고 잎을 정리하여 30본씩 수출 박스에 포장하였다. 포장 시 습식용액으로 Chrysal Professional 2(Chrysal International, the Netherlands) 5mL·L-1를 사용하였다. MEFI(Seqgenesis, Daejeon, Korea) 기술 적용을 위하여 포장 시 수출용 절화 장미 박스 내부 윗면에 청색 LED와 UV등을 부착하였으며, 포장을 마친 절화 장미는 단국대학교로 습식 수송하였다. 수송 후 일본으로 수출되는 선박 수송 시간과 검역 과정을 고려하여 습식 포장상태로 저온저장 48시간 후 상온 노출 6시간의 모의 수출 환경을 적용하였다(Lee and Lee, 2015).
품질 조사는 수출국 일본의 경매장 단계를 고려하여 수확 후 4일부터 실시하였으며, 45cm로 재절단 후 증류수가 담긴 500mL 삼각 플라스크에 꽂아 3개씩 3반복으로 조사하였다. 품질 조사는 노화 양상 및 절화수명, 화폭 변화율, 생체중 변화율, 수분 흡수량, 수분 균형, 박테리아 검정, 화색 및 에틸렌 발생량을 2일 간격으로 조사하였다.
노화 양상은 꽃목굽음, 청변화, 위조, 꽃잎 탈리, 엽 황화 등을 조사하여 발생 빈도를 백분율로 나타내었으며(Fig. 1), 절화수명은 노화 양상 꽃목굽음, 청변화, 위조, 꽃잎 탈리, 엽 황화 중 하나 이상의 노화현상이 발생하여 관상가치가 없는 시점으로 계산하였다. 화폭 변화율은 스프레이 타입 절화 장미의 여러 소화 중 3번화가 평균적이라 판단되어 3번화를 측정하여 백분율로 계산하였으며, 생체중은 실험 첫날을 기준으로 백분율로 계산하였다. 수분흡수량은 500mL 삼각플라스크의 전날 무게에서 조사 당일의 무게를 뺀 값으로, 수분균형은 수분흡수량에서 증산량을 뺀 값으로 조사하였다.
또한, 박테리아 검정은 3M Pipette Swap(3M Korea Ltd., Korea)을 사용하여 절화 줄기 절단부의 샘플을 채취한 후 Petrifilm(3M Korea Ltd., Korea)에 1mL를 분주하여 항온기에 37°C, 24시간 배양 한 후 조사하였으며, 화색은 색차계(CR-400, Minolta, Japan)를 이용하여 Hunter value L, a, b 값을 측정하였다. 에틸렌 발생량은 12L 밀폐용기에 절화 장미를 3개씩 3반복으로 넣어 조사하였으며, 밀폐 후 1mL 가스를 채취하여 gas chromatography (GC-2014, Shimadzu, Japan)를 이용하여 분석하였다.
통계분석 및 유의성은 SAS 프로그램(SAS 9.0, SAS institute Inc., USA) Duncan의 다중검정 p < 0.05 수준에서 분석하였다.
결과 및 고찰
일본으로의 모의 수출 과정 적용 후 절화 장미 ‘Lovely Lydia’의 노화 양상과 함께 절화 수명을 조사한 결과, Vital Oxide로 전처리 한 후 MEFI 처리 시 절화수명은 12.2일로 대조구보다 약 3일 정도 연장되어 절화수명 연장에 효과가 있는 것으로 조사되었다(Table 1). Vital Oxide로 전처리 한 후 MEFI로 처리한 장미는 꽃목굽음, 청변화, 위조 발생 비율이 각각 40.0%, 67.8%, 55.6%로 나타나 다른 처리구에 비해 노화발생 비율이 다소 적은 것으로 조사되었다(Table 1, Fig. 2). 또한, 전처리를 하지 않은 수돗물에 MEFI를 처리한 장미는 엽황화가 11.1% 발생하였으나 Vital Oxide로 전처리한 후 MEFI를 처리한 장미에서는 엽황화가 발생하지 않아 품질유지에 효과적인 것으로 판단된다. 이는 Lee et al.(2016)의 연구에서 절화 장미 ‘Antique Curl’에 Vital Oxide를 전처리로 사용 시 수돗물 처리보다 절화수명이 약 5일 정도 연장되었다는 연구결과와 비슷하였다.

Fig. 2. Appearance of cut Rosa hybrida L. ‘Lovely Lydia’ flowers 12 days after harvest: A, B and C, day 4 after harvest; D, E and F, day 12 after harvest; A and D, pretreatment with tap water (control); B and E, pretreatment with tap water + the movable eco-friendly flower incubator (MEFI, blue LED + UV) system; C and F, pretreatment with 2 mL·L-1 Vital Oxide + MEFI.
대조구의 절화수명이 끝나기 전 시점인 수확 후 8일까지의 화폭변화율을 조사한 결과, MEFI 기술 적용한 처리구의 화폭이 전처리의 사용여부와 관계없이 대조구에 비해 다소 큰 것으로 나타나 개화유도에 효과가 있는 것으로 조사되었다. 그 중 Vital Oxide 전처리 후 MEFI 기술을 적용한 처리구의 화폭 변화가 가장 큰 것으로 나타나 절화수명 연장과 함께 품질에 좋은 영향을 미친 것으로 판단된다(Fig. 3). 이는 MEFI 기술에서 사용된 LED의 청색파장이 개화에 영향을 준 것으로 판단되나 추후에 청색파장과 관련하여 추가적인 연구가 필요할 것으로 사료된다. 또한, Lim et al.(2017) 연구에서 절화 백합 수송 시 UVA+Blue LED 처리가 다른 처리보다 개화율이 증가하고 절화수명이 연장되었다는 연구 결과와 유사하였다.

Fig. 3. Effect of pretreatment with tap water (control), tap water and the movable eco-friendly flower incubator (MEFI, blue LED + UV) system (tap water + MEFI) or 2 mL·L-1 Vital Oxide + MEFI on the diameter of Rosa hybrida L. ‘Lovely Lydia’ flowers 8 days after harvest. Vertical bars represent standard errors of means (n = 9).
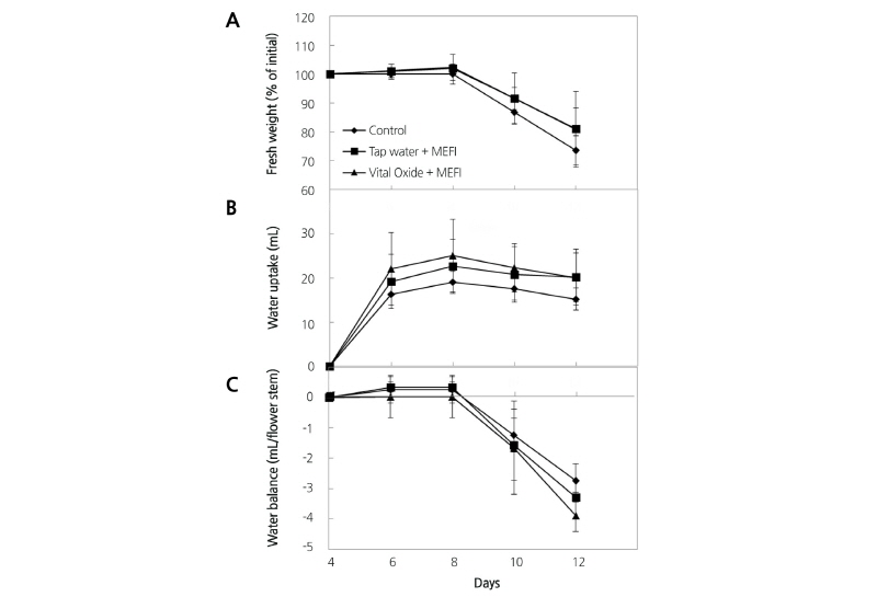
생체중 변화율과 수분흡수량은 모든 처리구가 수확 후 8일까지 증가하다가 감소하는 경향을 보였으며, 수분 균형은 Vital Oxide 전처리 후 MEFI 기술을 적용한 처리구를 제외한 처리구는 수확 후 8일까지 증가하다 감소하여 수확 후 10일에 모든 처리구가 ‘–’값으로 떨어지는 것으로 나타났다(Fig. 4). 이러한 결과는 수확 후 8일 이후 증산량이 수분 흡수량보다 많아 노화가 시작된 시점으로 판단되며, 생체중 변화율 또한 비슷한 시점에서 감소한 것은 절화 장미 개체 내 생리 활성의 감소로 인해 에너지 소모가 증가하여 비슷한 경향이 나타난 것으로 판단된다(Lee et al., 2011). Vital Oxide 전처리 한 후 MEFI 기술을 적용한 처리구의 생체중 변화율과 수분흡수량은 다른 처리구에 비해 다소 높게 나타난 것은 절화수명의 결과와 같이 Vital Oxide의 살균제 성분과 MEFI 기술의 UV 처리 살균효과가 품질 향상에 영향을 미친 것으로 판단된다.
경매장 도착 시점인 수확 후 4일의 박테리아 검정 결과, Vital Oxide 전처리 후 MEFI기술을 적용한 처리구를 제외한 나머지 처리구에서 박테리아가 다소 검출되었으며 노화된 시점인 수확 후 10일에도 대조구와 수돗물을 처리한 후 MEFI 기술을 적용한 처리구에서 박테리아가 다소 많이 검출되었다(Table 2). 이러한 결과는 Lee et al.(2007)의 연구 결과에서 절화 장미 유통 중 UV-C 처리 시 살균 효과로 인해 절화수명 및 품질유지에 효과적이었다는 결과와 비슷한 것으로 판단되며, Vital Oxide 전처리 후 수송 과정 시 MEFI 기술을 적용한다면 미생물 발생으로 인한 도관 막힘을 억제하여 품질 유지에 효과가 있을 것으로 판단된다.

Fig. 4. Change in (A) fresh weight, (B) water uptake, and (C) water balance during the vase life of cut roses after simulated export to Japan. Roses underwent three levels of treatment for 2 days immediately after harvest at a farm site before simulated export: Control, tap water; tap water + movable eco-friendly flower incubator (MEFI, blue LED + UV); Vital Oxide + MEFI, 2 mL·L-1 Vital Oxide + MEFI (blue LED + UV). Vertical bars represent standard errors of means (n = 9).
색차계를 이용하여 Hunter value L, a, b 값으로 절화 장미 ‘Lovely Lydia’의 화색을 조사한 결과(Table 3), 수확 후 4일 L, a, b 값의 유의차가 없는 것으로 조사되었다. 그러나 노화 시점인 수확 후 10일은 대조구의 b 값이 -1.4로 다른 처리구에 비해 낮은 값으로 조사되었으며, L 값과 a 값은 통계적 유의성이 없는 것으로 조사되었다. 이는 대조구의 발현된 노화양상 중 하나인 청변화로 인해 b 값이 다소 낮게 조사된 것으로 판단된다.
절화 장미 ‘Lovely Lydia’의 에틸렌 발생량을 조사한 결과, 모든 처리구의 에틸렌 발생량은 수확 후 4일 가장 많은 양이 발생한 것으로 나타났으며, 그 후 수확 후 6일째 급격히 감소하여 수확 후 14일까지 완만하게 감소하는 경향인 것으로 조사되었다(Fig. 5). 경매장 시점인 수확 후 4일 Vital Oxide 전처리 후 MEFI 처리 장미의 에틸렌 발생량이 다른 처리구에 비해 다소 높았으나 그에 비해 절화수명이 가장 긴 것으로 보아 에틸렌이 절화 장미의 품질 저하에 큰 영향을 미치지 않은 것으로 판단된다. 절화 장미의 현재까지 에틸렌과 관련한 연구에 따르면, 장미는 climacteric 분류에 속하나 에틸렌 생성량이 백합과 같이 민감한 작물보다 발생량이 매우 소량이며, 카네이션과 비교하였을 때 노화 시 자가촉매적 에틸렌 생성량이 매우 적은 것으로 연구되었다. 또한, 장미의 에틸렌 생성 및 작용 억제는 품종마다 다르며, 에틸렌의 영향으로 인한 품질저하보다는 수분 스트레스에 의한 노화로 인해 품질 저하가 발생하기 때문에 원활한 수분공급이 필요한 것으로 보고되었다(Byun, 2002; Reid et al., 1989; Zieslin, 1989). 따라서 절화 장미 ‘Lovely Lydia’의 수확 후에 수돗물보다는 살균제 성분인 Vital Oxide 2mL·L-1 전처리 시 도관의 미생물 발생을 억제하여 수분 흡수를 도와 절화수명 연장 및 선도유지에 효과적인 것으로 판단되며, MEFI 기술을 적용하여 습식 수송 시 UV의 살균효과와 청색파장 LED가 꽃봉오리의 생장에 의한 꽃잎 열림 현상으로 품질향상에 도움이 될 것으로 판단된다.

Fig. 5. Change in ethylene production during the vase life of cut roses after simulated export to Japan. Flowers were subjected to three levels of pretreatment for 2 days immediately after harvest at a farm site before simulated export. Control, tap water; tap water + movable eco-friendly flower incubator (MEFI, blue LED + UV); Vital Oxide + MEFI, 2 mL·L-1 Vital Oxide + MEFI (blue LED + UV). Vertical bars represent standard errors of means (n = 9).






