서 언
재료 및 방법
실험재료 및 생육조건
분석
결과
배추 생장
배추의 양이온 흡수량
토양 화학성
고찰
배추 생육에 미치는 연차별 염류 조성 변화의 영향
배추 생육에 미치는 토양 개량제의 영향
서 언
우리나라 간척지에 조성된 농경지는 주로 논으로 활용되고 있고 불리한 환경조건 때문에 다른 작물을 재배하기에 어려움이 있다. 주로 염류토양이 분포하고 토양수 삼투퍼텐셜이 낮은 간척지에서 식물이 수분을 흡수하기 어렵기 때문이다(Munns, 2002; Kim et al., 2010). 또한 간척지는 나트륨 비율이 높은 나트륨성 토양 특성을 지니어, 식물에 나트륨 독성을 일으키고 칼슘 및 칼륨 등의 양분흡수를 저해할 수 있다(Munns and Termaat, 1986; Kim and Hyun, 2011). 높은 나트륨이온의 비율은 토양입자를 분산시키고 토양구조를 파괴시켜 통기성 및 투수성을 낮춤으로써 작물의 생산성을 떨어뜨리게 된다(Lee and Yun, 2014).
간척지에서 작물의 피해를 줄이기 위해 토양 염분의 양과 나트륨의 비율을 낮추기 위한 다양한 토양개량 방법이 시도되어 왔다. 대표적인 방법 중의 하나는 염분제거와 작물 뿌리생육을 도모하기 위한 토양물리성 개량이다(Yaduvanshi and Sharma,2008; Choudhary et al., 2011). 간척지 토양은 구조 발달이 나쁘고 투수성이 낮아 염분제거가 제한되기 때문에 식물생육이 저해 받게 된다. 이를 해결하기 위해서는 토 양입자의 가교역할을 할 수 있는 유기물을 다량 공급하여야 토양구조 및 투수성을 좋게 하여 염분을 원활히 제거할 수 있다(Lee and Yun, 2014). 유기물로 퇴비를 공급하거나 작물 수확 후 잔재물을 토양에 환원하기도 하며, 녹비작물을 재배하여 토양에 환원함으로써 토양물리성을 발달시킬 수 있다(Yaduvanshi and Sharma, 2008; Choudhary et al., 2011; Lee and Yun, 2014).
토양 중 나트륨의 비율을 줄이는 방법이 이용되기도 한다. 나트륨성 토양에 대한 개량제로는 석고, 황산, 황, 황철석, 황산알루미늄, 염화칼슘 등이 있다(Scherer, 2001; Choudhary et al., 2004; Zia et al., 2006; Blum et al., 2011; Rasouli et al., 2013). 이중 석고는 토양의 나트륨 비율을 줄이면서 부작용이 적은 대표적인 개량제이다. 석고는 일반 농경지 개량을 위해 오랫동안 사용되어 왔고, 식물에 필수 영양소인 칼슘과 황을 공급해 주어 식물 생육을 증진시키는 역할을 한다(Chen and Dick, 2011). 또한 석고는 나트륨성 토양에 칼슘을 공급해 줌으로써 나트륨의 비율을 줄이고 점토 입자들을 응집시켜 토양구조의 안정화에 기여한다(Choudhary et al., 2011; Lee and Yun, 2014). 이와 같은 긍정적 기능에도 불구하고 국내에서 석고의 농업적 활용은 많지 않다. 인산비료를 제조하는 과정에 부산물로 많은 양의 석고가 생산되고 있으나 여전히 많은 부분이 적체되고 있어 관리 및 처리가 어려운 실정이다.
간척지의 토양개량제로 활용될 수 있는 퇴비와 석고는 국내에서 저렴하고 쉽게 이용이 가능하나, 간척지에서 채소작물을 재배하기 위한 연구는 부족한 실정이다. 석고의 경우 무기 양분을 공급하고 나트륨성 토양을 개량할 수 있지만 다른 한편으로 토양염도를 증가시키는 부정적 측면도 있어, 석고의 상반되는 영향에 대한 평가가 필요하다. 본 연구는 간척지 토양에 배추를 재배하기 위해 유기 개량제로 퇴비를 처리하거나 화학 개량제로 석고 및 인산을 처리하여 각 개량제가 토양 화학성 개량 및 배추생육 증대에 미치는 영향을 구명하고자 하였다. 배추는 국내에서 많이 재배 이용되기도 하지만 염도에 민감하여 간척지 재배에 어려움이 있는 작물 중에 하나이다.
재료 및 방법
실험재료 및 생육조건
2013년에 계화도에 인접한 새만금 간척지의 사양토(문포통; coarse loamy, mixed, nonacid, mesic family of Typic Fluvaquents)를 20cm 깊이로 채취하여 실험에 이용하였다(Lee and Yun, 2014). 토양을 1:5 비율의 증류수로 진탕한 후 측정한 pH1:5는 8.1 ± 0.8이고, 토양을 1:5 비율의 증류수로 침출하여 측정한 전기전도도(EC1:5)는 4.67 ± 0.02dS∙ m-1였다. 포화 침출하여 측정한 전기전도도(ECe)는 47.7 ± 1.2dS∙ m-1이고, EC1:5와의 비율은 10.2이었다(Table 1). 토양을 포화시켜 모래필터를 통해 배수성 물이 빠진 후에 측정한 최대용수량은 45.1%(v/v)였다. 아세트산암모늄을 이용하여 토양의 교환성양이온을 암모늄이온으로 치환하고 이를 다시 침출 후 증류하여 측정한 양이온교환용량(CEC)은 5.0 ± 0.2cmolc∙ kg-1이고, 토양을 1:5 비율의 증류수로 침출하여 측정한 나트륨 흡착비( Sodium adsorption ratio, SAR1:5)는 27.2이었다.
Table 1. Physicochemical properties of the soil used for the experiment
| |
zValues in parentheses are standard deviation of the mean (n = 4) yElectrical conductivity of a saturated soil paste extract | |
포트재배 시험을 위해 채취한 토양을 5mm 체로 거른 후 포트(φ29cm, h26cm)당 12kg(건토 기준)씩 담았다. 토양개량제 처리는 표준시비 처리구(S), 표준시비에 퇴비 추가 처리구(S + C), 표준시비에 석고 추가 처리구(S + G), 표준시비에 인산 추가 처리구(S + P), 표준시비에 석고-인산 추가 처리구(S + GP) 등 5개의 처리구를 두었다. 관행적으로 퇴비는 30Mg∙ ha-1로 시용하였고, 질소, 인산, 칼륨은 요소, 인산이수소칼륨, 염화칼륨 비료를 이용하여 N 기준 320kg∙ ha-1, P2O5 기준 156kg∙ ha-1, K2O 기준 198kg∙ ha-1을 각각 시용하였다. 퇴비 추가 처리구는 퇴비 30Mg∙ ha-1을 추가 시용하였고, 석고 추가 처리구는 석고 요구도에 따라 계산하여 4.95Mg∙ ha-1 시용하였으며(Rasouli et al., 2013), 인산 추가 처리구는 인산을 P2O5 기준 156kg∙ ha-1로 추가 사용하였다. 각 처리별 비료 및 개량제를 토양에 골고루 섞은 후, 2주간 육묘한 배추(Brassica campestris L. cv. Gungjeonnorang)를 정식하였다. 시험구는 완전임의배치법 3반복으로 배치하여 2013년과 2014년에 2회 실시하였다. 배추 재배기간 동안 토양 수분은 최대 용수량의 50% 수준으로 유지하였고, 포트의 무게를 측정하여 부족한 수분을 1-3일 간격으로 보충하였다. 2013년에는 배추 정식 후 56일에, 2014년에는 정식 후 60일에 지상부 배추와 토양을 채취하여 분석에 이용하였다.
분석
채취한 배추는 증류수로 씻고 65°C에서 항량이 될 때까지 건조시킨 후 무게를 재었다. 건조한 시료는 곱게 분쇄한 후 H2SO4-HNO3-HClO4 혼합액으로 분해하여 원자흡광분광광도계(SpectrAA 220 FS, Varian, USA)로 Ca2+, Mg2+, K+, Na+의 함량을 분석하였다. 토양은 풍건한 후 1:5 비율의 증류수로 침출한 용액에 대해 pH, EC를 측정하였고, Ca2+, Mg2+, K+, Na+ 함량을 측정하였으며, 아래 식을 이용하여 나트륨흡착비(SAR1:5)를 구하였다:
여기서 Na+, Ca2+, Mg2+은 침출 용액 중 각 이온의 농도(mmolc∙L-1)이다. 위 식에 의해 SAR의 단위는 mmol1/2∙L-1/2으로 나타낼 수 있으나(Rasouli et al., 2013), 일반적으로 SAR의 단위는 생략할 수 있어 단위 없이 표기하였다. 교환성나트륨백분율 (Exchangeable sodium percentage, ESP)은 다음 식을 이용하여 구하였다:
여기서 Na+는 토양을 아세트산 암모늄 용액으로 침출하여 측정한 Na+ 농도(cmolc∙kg-1)이고, CEC(Cation exchange capacity)는 토양의 양이온교환용량(cmolc∙kg-1)이다.
실험 결과에 대한 통계 분석은 SAS 프로그램(SAS 9.1, SAS Institute, USA)을 이용하여 완전임의배치법에 의한 처리 간 차이를 분석하였고, 처리 간 차이의 유의성 비교는 최소유의차L(SD) 검정을 실시하였다.
결과
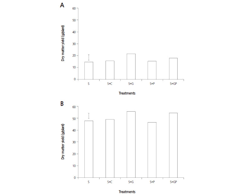
배추 생장
배추의 건물중은 토양개량제 1차 처리시험(2013년)에 비해 2차 처리시험(2014년)에서 크게 증가하였다. 표준시비 처리한 것은 2013년 배추 건물중이 14.6g/plant였으나, 2014년에는 약 3.3배인 47.7g/plant로 증가하였다(Fig. 1). 개량제를 처리하였을 때에도 2013년에 15.4-21.6g/plant에서 2014년에 46.6-55.6g/plant로 크게 증가하였다.
토양개량제 처리에 따른 배추의 건물중 증가 효과는 석고를 추가 처리하였을 때 가장 뚜렷하였다. 배추의 건물중은 2013년과 2014년 두 해 모두 석고를 추가 처리하였을 경우 다른 처리구에 비해 가장 높았다(p < 0.05). 표준시비 처리구에 비하여 석고를 추가 처리한 배추 건물중은 2013년에 7.0g/plant, 2014년에 7.9g/plant 만큼 더 높았다. 그러나 퇴비 추가 처리구와 인산 추가 처리구는 표준시비 처리구와 유의적인 차이를 보이지 않았다(p > 0.05). 또한 배추 건물중은 석고-인산의 추가 처리에서 석고 추가 처리와 인산 추가 처리 사이의 값을 보이거나(2013년) 석고 추가 처리구와 비슷한 경향을 보였다(2014년).
배추의 양이온 흡수량
배추 내 양이온 함량은 다른 처리구와 비교하여 석고 처리구에서 뚜렷한 차이를 보였다(Table 2). 석고 추가 처리에서 배추내 Ca 함량은 뚜렷하게(p < 0.05) 증가하였고 반대로 Na 함량은 뚜렷하게(p < 0.05) 감소하였다. 반면에 퇴비와 인산 추가 처리에서는 모든 양이온이 전체적으로 증가하는 경향을 보였다. 양이온 중에서 Na이 차지하는 비율은 석고를 처리시 0.41에서 0.33으로 유의적으로(P<0.05) 감소하였지만, 퇴비와 인산 처리시 큰 차이는 없었다(p > 0.05). 배추 내 Na이 차지하는 비율(x)과 건물중(y)과의 상관성을 분석한 결과, 유의적인 부의 상관관계를 보여 (y = -75.2x+78.9, r2 = 0.953, p < 0.01), Na 비율이 감소함에 따라 건물중이 증가하는 경향을 보였다.
토양 화학성
처리한 개량제의 종류에 따라 토양 pH 변화에 뚜렷한 차이가 있었다. 2013년과 2014년 모두 토양 pH는 퇴비 또는 인산의 추가 처리시 표준시비 처리와 비교하여 유의적인 차이가 없었으나(p > 0.05), 석고를 처리하였을 경우 다른 처리구에 비해 유의적으로 (p < 0.05) 낮았다(Table 3). 토양 pH는 시간이 지남에 따라 전체적으로 낮았는데 표준시비 처리 토양의 경우 2013년 8.6에서 2014년 8.1로 낮아졌고, 토양개량제를 처리한 다른 처리구에서도2 013년에 비해 2014년에 0.1-0.3 낮아졌다.
토양 전기전도도(EC)는 2013년과 2014년에 비슷한 값을 보였고, 처리에 따른 차이는 개량제의 종류에 따라 다르게 나타났다(Table 3). 표준시비 처리와 비교하여 퇴비 또는 인산을 처리하였을 때 유의적인 변화는 없었으나 석고를 처리하였을 때 유의적으로(p < 0.05) 증가하였다. 2013년에 표준시비 처리 토양의 전기전도도는 4.5dS∙ m-1이었으나 석고 처리 후에 5.1dS∙ m-1로 증가하였고, 2014년에는 4.7dS∙ m-1에서 5.6dS∙ m-1로 증가하였다.
토양 내 침출성 양이온 중에서 나트륨의 비율을 나타내는 ESP와 SAR은 년 수에 따른 감소가 뚜렷했고, 개량제의 처리에 따른 차이도 분명하게 나타났다(Table 3). ESP는 2013년에 298% 이상으로 높았으나, 개량제 종류에 따른 차이는 나타나지 않았다. 그러나 2014년에는 201% 이하로 크게 감소하였고, 퇴비 처리에서 가장 낮았다. SAR도 2013년에 16 이상으로 높았지만 2014년에 14 이하로 감소하였고, 특히 퇴비 처리에서6 으로 낮아졌으며 석고 처리에서4 로 가장 크게 낮아졌다.
토양의 pH, 전기전도도, 나트륨도가 배추 건물중에 미치는 영향에 대해 회귀분석을 한 결과 2013년과 2014년 모두 SAR의 영향에 대한 모형의 결정계수(설명력)가 가장 높았다(Fig. 2). 즉 SAR이 감소함에 따라 배추 건물중이 증가하였고, 2013년에 91.0%, 2014년에 91.3%의 유의한(p < 0.05) 설명력을 가졌다. pH는 2013년에 유의적인 상관성을 보이지 않았지만(Fig. 2A), 2014년에는 유의적인 음의 상관성을 보여(Fig. 2E) pH가 낮아짐에 따라 건물중이 증가하였다. 토양 전기전도도는 2014년에만 유의적인 음의 상관성을 보여(Fig. 2F) 토양 전기전도도가 낮아짐에 따라 오히려 건물중이 감소하였다. 토양 ESP는 2013년과 2014년 모두 유의적인 상관성이 없었다(Fig. 2C and 2G).
고찰
배추 생육에 미치는 연차별 염류 조성 변화의 영향
간척지의 염류-나트륨성 토양에 재배한 배추의 건물중은 대체로 가벼웠고, 건물중의 변화는 토양 화학성과 상관되는 양상을 보였다. 2013년 배추의 건물중(14.6-21.6g/plant)이 일반 토양조건에서 시험한 다른 연구의 결과(50-120g/plant)보다 크게 낮았다(Ro et al., 2005; Yun et al., 2006). 배추 재배 후 토양의 EC와 ESP는 배추재배 전 토양의 수준과 비슷하였다(Tables 1 and 3). 배추재배를 위해 모든 처리구에 시용한 퇴비로부터 양이온이 무기화되어 공급될 경우 ESP 값이 변화될 수 있지만, 토양의 염농도가 높아 유기물의 무기화 반응이 느리게 일어날 수 있고(Setia et al., 2011), 또한 퇴비 처리 후 기간이 60일 이하로 짧아서 무기화를 통해 생성된 양이온의 양이 토양에 기존 존재하던 양에 비해 적어 본 연구에서 ESP 값이 크게 변화되지 않았다고 판단된다(Tables 1 and 3). 그러나 토양의 SAR은 배추 재배 전 56에 비해 배추 재배 후 16-18의 범위로 크게 감소하였다. 시용한 퇴비로부터 공급된 침출성 양이온의 양은 적지만, 이 양이 토양용액에 존재하는 자유이온의 조성에 끼치는 영향은 크다는 것을 보여준다(Lee et al., 2015). 또한 토양용액은 식물의 생육과 밀접한 관련이 있는데, SAR의 감소는 배추생육에 긍정적 효과를 주었을 것으로 판단된다(Kim and Hyun, 2011; Rasouli et al., 2013). 본 연구에서 배추 건물중이 SAR과 높은 상관성(r2 = 0.91, p < 0.05)을 가진다는 것이 이를 잘 반영해 주고 있다(Fig. 2D and 2H).
배추 생육에 대한 염류 조성의 영향은 2014년에 더욱 뚜렷하였다. 2014년 배추 건물중이 2013년에 비해 크게 증가하였다(Fig. 1). 2014년 토양 EC는 2013년과 비슷하였지만, ESP는 145-210%로 크게 감소하였을 뿐만 아니라 SAR도 8-14로 크게 낮아졌다(Table 3). 이와 같은 결과는 토양 염도가 높더라도 개량제를 처리하여 토양 중 특정 이온, 즉 나트륨의 비율을 낮춤으로써 작물 스트레스 및 독성을 줄여 작물의 생장량을 증대시킬 수 있다는 것을 보여준다. 그림 1에서 2013년과 2014년을 종합하여 배추 건물중(Fig. 1)과 토양 화학성 인자들에 대해 상관성 분석을 한 결과, 배추 건물중 변화는 ESP(y = -0.20x + 84.6, r2 = 0.952, p < 0.001, n = 10)뿐만 아니라 SAR(y = -4.42x + 96.8, r2 = 0.863, p < 0.001, n = 10)과 유의적인 상관성을 가졌지만, EC와의 상관성(y = 15.2x − 40.4, r2 = 0.147, p > 0.05, n = 10)은 유의적이지 않았다. 이와 같은 결과는 간척지 토양의 높은 나트륨 비율을 낮춤으로써 작물 수확량을 증대시킬 수 있음을 시사해 준다.
배추 생육에 미치는 토양 개량제의 영향
배추 생육에 미치는 토양 개량제의 효과는 2013년과 2014년 모두 석고 또는 석고-인산을 처리하였을 때 높았다. 석고(CaSO4·2H2O)는 화합물의 조성에서 알 수 있듯이 Ca2+과 SO42- 이온이 토양 전기전도도를 증가시켰다(Table 3). 토양 전기전 도도의 증가로 배추생육이 낮아질 수 있지만, 전기전도도가 증가한 석고 처리구에서 오히려 배추생육이 증가하였다. 또한 2014년에 배추 건물중이 EC와 유의적인 정의 상관성을 보여 예상과 다른 결과를 보였다(Fig. 2F). 이와 같은 결과에 대해 석고에서 공급된 Ca2+의 긍정적 영향을 고려해 볼 수 있다. Ca2+의 공급은 Na+의 상대적 비율을 낮추어 식물에 대한 Na+ 스트레스를 줄일 수 있다(Kim and Hyun, 2011). 배추 건물중과 토양 SAR이 유의적인 부의 상관성이 있다는 것이 이를 반영해 준다(Fig. 2D and 2H). 일반 토양에서 재배한 배추의 무기성분 함량과 비교하였을 때(Yun and Shin, 2001), 본 연구의 배추 내 Ca, Mg, K 함량은 낮았지만 Na 함량은 평균 9배에 달하여 Na이 식물체에 과다하게 축적되어 있음을 알 수 있다(Table 2). 그러나 석고를 시용하였을 때 식물체 중 Na의 농도가 일반 조건의 7배 수준으로 감소하였고 식물체의 양이온 중 Na의 비율도 낮았다. 2014년 상추 건물중(y)이 Na 비율(x)과 유의적인 부의 상관성을 보여주어(y = -75.2x + 78.9, r2 = 0.953, p < 0.01, n = 5), 석고 영향으로 나트륨 독성이 줄었을 것으로 판단된다( Rasouli et al., 2013).
퇴비의 추가 시용으로 토양 화학성이 개선되었고, 이에 의한 간척지 토양의 투수성과 수분 보유에 대한 긍정적 효과도 기대되었다(Lee and Yun, 2014). 이와 같은 퇴비의 긍정적 효과에도 불구하고 2014년 퇴비 추가 처리구에서는 배추 건물중의 증가가 유의적이지 않았다. 퇴비는 미생물에 의한 무기화 작용으로 토양에 암모늄태 질소를 방출하고, 시비량이 증가할수록 방출되는 질소의 양은 증가되는 것으로 알려져 있다(Yun and Ro, 2009). 생성된 암모늄태 질소는 산화 작용에 의해 최종 질산태 질소로 전환될 수 있지만(Yun et al., 2011; Yun and Ro, 2014), 염도가 높은 간척지 토양에서는 암모늄태 질소의 산화가 비교적 느리게 일어나기 때문에(Choi, 2007), 식물에 독성이 있는 암모늄태 질소가 축적될 수 있다.
결론적으로 간척지 토양에 석고를 처리하였을 경우 배추의 건물중이 유의적으로(p < 0.05) 증가하였다. 석고 시용으로 토양염도가 증가하였음에도 불구하고 이와 같은 결과가 나타난 것은, 석고 시용에 의한 염도 증가의 부정적 영향 보다는 석고에 의해 공급된 칼슘이 토양 내 나트륨의 비율을 낮추는 긍정적인 효과가 배추의 생육 증가에 더 큰 영향을 주었음을 보여주었다. 따라서 본 연구는 간척지에서 밭작물을 재배하기 위해 토양의 염도 개선도 필요하겠지만 우선적으로 토양 내 나트륨의 비율을 낮추는 것이 고려되어야 함을 제시해 준다.







