서 언
국내 파프리카(Capsicum annuum L.) 재배 면적은 대일 수출량 및 국내 소비량의 증가로 인해 확대되
었고 수출량도 2010년 41,396톤에서 2015년 72,950톤으로 76.2% 증가하였다(aTkati, 2015). 파프리카의 재배작형은 혹서기를 회피하기 위해 8-9월 정식하여 10월-익년 7월에 수확하는 겨울작형과 저온기를 회피하기 위해 3-5월 정식하여 6-11월 수확하는 여름작형으로 나뉜다. 이러한 작형은 1그룹 착과 후 2, 3그룹 착과를 위해 광 요구도가 증가하는 시기에 동절기와 장마기를 거치게 되기 때문에 작물의 생장 대비 자연광도가 역행하게 되어 국내 파프리카 생산량이 농업 선진국 수준을 기록하지 못하는 요인으로 여겨진다.
파프리카의 최소 광요구도는 230J/cm2/일(첫 착과를 시도하는 작물)부터 2,200J/cm2/일(과실부하가 많은 성숙한 작물)까지 생육단계와 착과부하에 따라 증가하기 때문에 재배 시 광량이 충분하지 못하면 과실의 품질과 수량이 저하된다(Marcelis et al., 2004; Myoung, 2016; Nakarin et al., 2017). 최근에 들어서는 시설과 재배기술이 농업 선진국 수준으로 발전하면서 국내 파프리카 생산량의 한계를 극복하기 위해서 11-12월 정식하고 익년 3-12월까지 수확하는 재배작형이 일부 여름작형 농가를 중심으로 시도되고 있다. 이 작형은 정식 후 작물의 생장 대비 광요구도와 자연광도가 비례하고 수확기간이 길어서 파프리카 재배에 있어 이상적이지만, 정식 초기 관리를 위하여 연중 외부온도가 가장 낮은 시기에 24시간 평균온도를 높게 유지해야 하기 때문에 다른 작형에 비해 난방비 부담이 크다.
Buwalda et al.(2006)과 Markovic et al.(2000)은 육묘기간이 정식 후기의 파프리카 생육과 수량에 미치는 영향이 크다고 하였고, Sato(1986)는 파프리카에서 묘령이 많아지면 꽃 수 감소와 낙화 발생이 많아지며, Dendev(2011)과 Choi et al.(2011)은 정식시기가 빠를수록 생산량이 증대되는 경향을 보이기 때문에 35-45일 이내의 빠른 육묘가 바람직하다고 보고한 바 있다. 반면, Weston(1988)과 Kemble et al.(1994)은 60일 묘를 이용할 경우 정식 후 생육과 초기수량이 현저하게 증가한다고 하였으며, McCraw and Greig(1986)도 묘령이 많을수록 착과수가 증가한다고 하였다. 이와 유사하게 Lee et al.(2001)도 묘령을 60-70일로 늘리는 것이 관리 비용의 절감과 수량의 증대에 있어 효과적이라고 보고한 바 있다. 이와 같이 연구자에 따라서 상반된 결과들이 나타난 원인은 재배 작형 또는 지역의 환경적 차이에 의한 것으로 생각된다. 이러한 결과들은 공통적으로 파프리카에서 적정 육묘기간을 결정하는 것이 정식 후의 초세 안정과 수량 측면에서 중요한 요인이 될 수 있음을 시사하고 있다.
하지만 지금까지의 연구결과들은 겨울·여름작형 또는 광량이 다른 유럽의 조건에서 이루어진 것으로서, 국내에서 11-12월 정식하는 하계작형 농가에서 활용할 수 있는 연구는 전무한 실정이다. 따라서 이 연구는 정식 시기를 앞당긴 여름 작형에서 육묘기간에 따른 생육과 수량의 특성을 분석함으로써 강원도를 중심으로 늘어나고 있는 동계정식 하계작형 농가의 육묘기간 선정 기초자료로 활용하고자 수행되었다.
재료 및 방법
이 실험은 2013년 12월 5일부터 2014년 9월 30일까지 42주 동안 강원도 인제군에 소재한 플라스틱하우스(80×8×5m)에서 수행되었다. 파프리카(Capsicum annuum L.) 공시 품종은 황색계 ‘Sven’(Rijk Zwaan, The Netherlands)으로 2013년 10월 15일 파종하였다. 시험구는 파종일을 기준으로 45일, 50일, 55일, 60일, 65일 및 70일간 육묘하여 12월 1일부터 암면배지(Expart Grodan Co., 120×12×7.5cm)에 9주씩 3반복으로, 재식밀도가 6.8줄기/m2가 되도록 정식하였다.
정식된 작물들은 복합환경제어 시스템(MAXIMIZER 4.2.0 Bulid 4771 Version, Priva B.V., The Netherlands)을 사용하여 24시간 평균온도가 20-23°C로 유지되도록 관리하였으며, 온실 내 이산화탄소 농도는 400-700ppm으로 유지될 수 있도록 액화탄산(Sundo Chemical, Korea)을 시비하여 조절하였다. 배양액은 네덜란드 PBG양액(비순환식)을 사용하여 전 생육기간 동안 공급하였으며, 공급 EC는 2.1-2.8dS·m-1 사이에서 공급하였다. 또한, 공급량은 배지 내 EC와 함수율을 각각 3.5-5.0dS·m-1와 55-65% 범위에서 유지될 수 있도록 1일 공급량을 조절하였고, 병해충은 천적과 친환경 농약을 사용하여 IPM 방식으로 관리하였다.
생육조사는 70일 묘를 정식한 이후부터 40주 동안 전 생육기간을 8주씩 나누어 총 다섯 구간(Period 1: 2013년 51주차-2014년 6주차, Period 2: 7-15주차, Period 3: 16-24주차, Period 4: 25-31주차, Period 5: 32-39주차)로 구분하여, 초장, 개화 위치, 경경, 엽장, 엽폭, 엽면적지수, 마디수, 절간장, 착과 여부, 낙과 여부, 수확 여부, 평균과중, 착색기간을 매주 조사하였다. 초장은 지재부부터 경정(shoot tip)까지의 길이, 개화 위치는 생장점부터 완전히 개화된 꽃까지의 길이, 엽장과 엽폭은 개화 위치를 결정하는 마디의 잎을, 경경은 1주 전의 생장점의 높이를 기준으로 측정하였고 엽면적지수와 상대적 초장 증가율은 다음 식을 이용하여 산정하였다.
엽면적지수 = 엽장(cm) × 엽폭(cm) × 0.6 × 재식밀도(stem/m2) × [주지의 엽수 + (측지엽수 × 0.7)]
상대적 초장 증가율(%) = [초장 증가량(cm) / 각 구간의 평균 초장 증가량(cm)] × 100
단, 초장 증가량(cm) = 현재 구간의 초장(cm) – 이전 구간의 초장(cm)
착과 특성은 임의로 선발한 10줄기 마디의 상태를 매주 조사하여 분석하였다. 착과는 과장이 1cm 이상인 과실, 낙과는 착과 후 생리장해, 자연낙과 등의 이유로 제거된 과실, 수확과는 90% 이상 착색되어 정상 수확된 과실을 기준으로 하였다. 추가적으로 착과를 기준으로 수확까지의 기간을 수확소요기간, 낙과까지의 기간을 낙과소요기간으로 측정하였고, 착과율, 낙과율, 수확률은 다음 식을 이용하여 산정하였다.
착과율(%) = (착과된 마디수 / 총 마디수) × 100
낙과율(%) = (낙과된 마디수 / 착과된 마디수) × 100
수확률(%) = (수확된 마디수 / 착과된 마디수) × 100
이 실험에서 측정된 양적 수치들은 SPSS(Ver. 22, IBM, USA) 프로그램을 이용하여 평균과 표준오차로 표시하였고, 시험구별 유의성은 각 생육시기별로 Duncan’s multiple rage test를 활용하여 5% 수준에서 검정하였다.
결과 및 고찰
파종 70일 후의 초장과 엽면적지수는 육묘기간이 길수록 초장은 짧아지고 엽면적지수는 작아지는 경향을 보였다(Table 1). 특히 70일 묘의 초장은 16.5cm, 엽면적지수는 10.16로 각각 45일 묘의 84%, 58%에 불과하였는데, 이는 동일 생육온도에서 저장기간이 길어질수록 오이와 토마토의 엽면적이 감소하였다는 Kwack et al.(2016)의 연구결과와 일치하였다. 이러한 결과는 육묘기간이 동일할 경우 육묘용기가 클수록 오이(Yu et al., 2002), 토마토(Kim et al., 1999), 파프리카(Lee et al., 2001) 묘의 생육이 좋았다는 기존의 연구결과를 보아, 육묘기간이 길어질수록 큐브 내에서 근권부의 발달이 제한되어 영양생장을 위한 양분의 공급이 충분하지 않았던 것의 영향으로 생각된다.
Period 1의 초장은 45일 묘가 75cm, 70일 묘가 53.7cm로 육묘기간이 길어질수록 초장이 짧아지는 경향이 두드러졌고, 이러한 경향은 Period 2와 Period 3까지 유지되었다(Fig. 1). 하지만 시험구간의 차이는 21.3cm, 17.3cm와 4.2cm로 생육이 진전될수록 감소하여 Period 5에서는 70일 묘의 초장이 316.3cm, 45일 묘의 초장이 314.2cm로 역전되었는데, 이러한 결과는 생육이 진전됨에 따라서 시험구간 사이의 편차가 작아진다는 Lee et al.(2001)의 보고와 일치하였다. 이것으로 보아 육묘 시 사용한 큐브의 용량이 적정 육묘기간을 초과함으로 인해서 묘의 생육이 불량해졌다고 하더라도 생육기간이 긴 장기 작형의 경우 충분한 환경관리, 지상부 생육과 양수분 관리 조절 등으로 육묘기간에 의한 묘소질과 초기 생육의 차이를 극복할 수 있게 되는 것으로 판단되었다(Kim et al., 1999).

Fig.1. The effect of transplant ages on plant height by growth period in winter-planted and summer- cultivated paprika ‘Sven’. Total plant height is accumulation length of plant height of each growth period. Each growth period was divided into eight weeks after transplant. Error bars indicate the standard deviation of the sample means (n = 80).
상대적 초장 증가율은 70일 묘가 전 생육기간 동안 108% 이상을 유지하며 다른 시험구에 비해 꾸준히 높았고 45일 묘가 생육 단계에 따른 편차가 가장 적었던 것으로 보아 70일 묘는 다른 시험구에 비해 영양생장의 형태를 보이며 영양기관의 발달이 강하게 이루어진 것으로 판단된다(Fig. 2). 파프리카는 영양생장과 생식생장의 균형에 민감한 과채류이기에 생육 진전 및 착과가 작물의 균형에 미치는 영향이 크고, 이러한 작물의 균형을 판단하는 지표 중 하나로 개화위치가 사용된다(Lee, 2014).

Fig. 2. Relative increases in the rate of plant height according to the plant growth period, calculated as (plant height at the present growth period – plant height at the previous growth period) / the average increases in plant height with each growth period × 100 (%)’. Each growth period was divided into eight weeks after transplant. Error bars indicate the standard deviation of the sample means (n = 80).
Period 1의 개화위치는 70일 묘 12.2cm, 45일 묘가 2.5cm로 약 4.8배의 차이를 보였는데, 이는 전 생육기간 중 가장 큰 차이였다. Period 2와 Period 3는 70일 묘의 개화위치가 45일 묘에 비해 약 1.6배, 2.3배로 Period 1와 비슷한 경향을 꾸준히 유지하였다(Fig. 3). 이와 같이 Period 1부터 Period 3까지의 개화위치가 육묘기간이 길수록 길었던 것으로 보아, 영양기관의 발달이 미숙한 묘일수록 정식 후 영양생장의 형태로 생육하는 것으로 판단되었다. Period 2와 3의 70일 묘를 제외한 시험구들의 개화위치는 4.9-6.2cm로 2그룹 착과로 인해 착과량이 급격히 증가했음에도 불구하고 생육의 균형이 잘 유지되었는데, 이는 작물생장에 순행하는 충분한 자연광이 파프리카에 투과되는 덕분에 광합성과 전류가 원활하게 이루어짐으로써 적절한 생육 균형을 유지할 수 있었던 것으로 생각되었다(Table 2). Period 4(장마기)를 거친 생육 중후반기부터는 모든 시험구의 개화위치가 2.8-5.0cm로 약한 생식생장의 형태를 보이기 시작하였고, 70일 묘도 5.0cm로 더 이상 영양생장의 형태를 보이지 않았다. Period 5에서는 모든 시험구의 개화위치가 2.3-3.2cm로 강한 생식생장의 형태를 보이며 시험구간의 차이가 미미하여졌는데, 이는 작물의 광요구도를 충족시키지 못하는 환경으로 인해서 과실과 영양기관간의 경합이 발생하여 나타난 현상으로 생각되었다(Aloni et al., 1997; Marcelis et al., 2004).

Fig. 3. The effect of transplant age on flower positon by growth period in winter-planted and summer-cultivated paprika ‘Sven’. Flower position was calculated as length from the Shoot tip to a fully opened flower. Each growth period was divided into eight weeks after transplant. Error bars indicate the standard deviation of the sample means (n = 80).

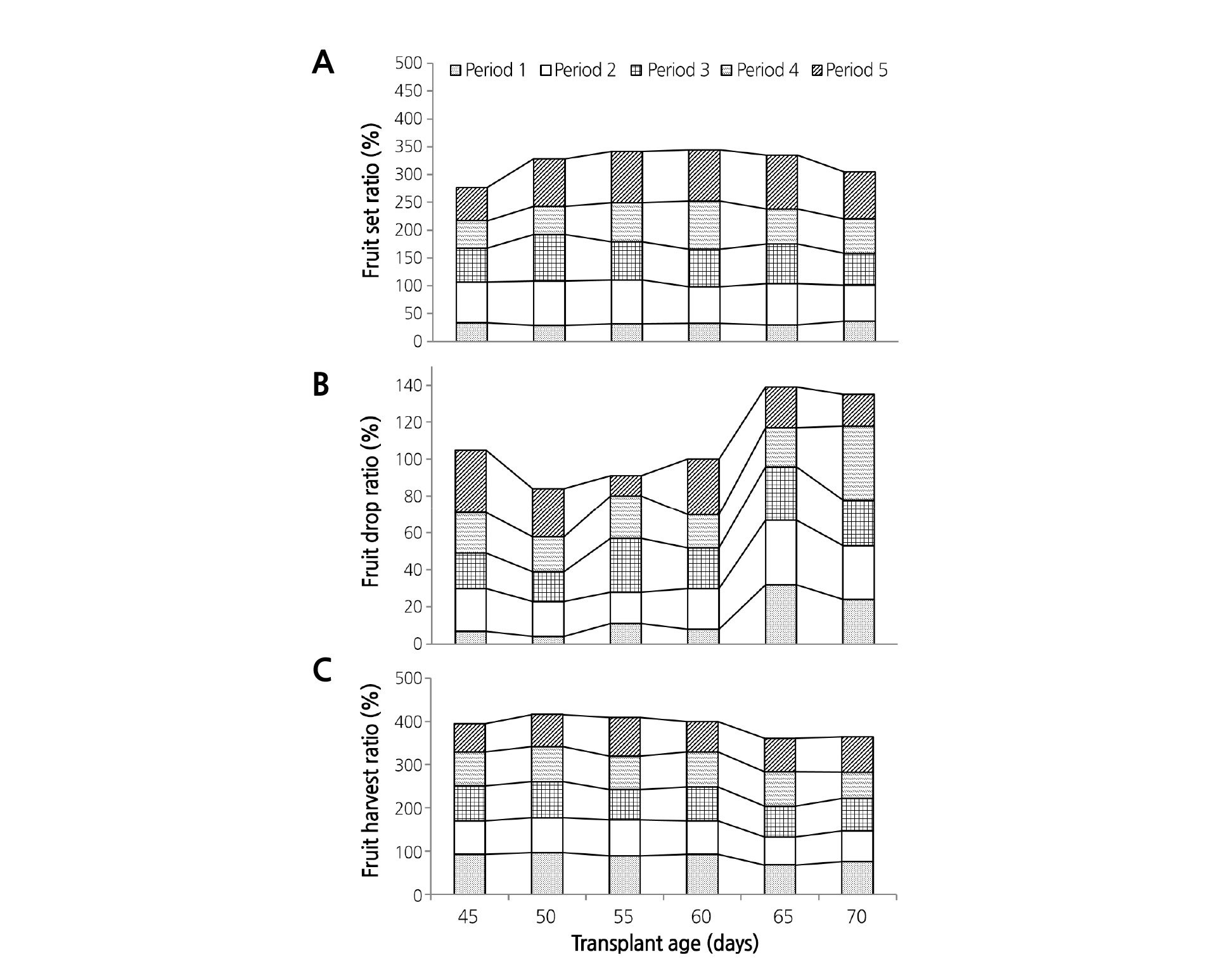
Fig. 4. The effect of transplant age on the ratio of fruit set, drop, and harvest by growth period in winter-planted paprika ‘Sven’. The fruit set ratio was calculated as (number of set fruits / number of nodes) × 100’ (A). The fruit drop ratio by growth period was calculated as the (number of dropped fruits / number of nodes) × 100’ (B). The fruit harvest ratio by growth period was calculated as (the number of harvested fruits / number of nodes) × 100’ (C). Accumulated columns in this figure were used to compare fruit set characteristics between transplant age and growth stages. Each growth period was divided into eight weeks after transplant.
Period 1의 착과수와 착과율은 각각 2.9-3.2개, 30-36%로 시험구간의 유의적인 차이를 보이지는 않았고 Period 2에서 50일 묘가 79%, 70일 묘가 65%로 육묘기간이 길수록 감소하는 경향을 보였다(Table 2, Fig. 4). 하지만 Period 4 이후부터는 육묘기간이 길어질수록 착과수와 착과율이 높아졌는데, 이는 육묘 기간이 길었던 시험구들의 경우 초기생육 기간 동안 과실 생산을 위한 부담이 적었기 때문으로 상대적으로 후기 생장이 왕성해진 것의 영향으로 생각된다.
Period 1의 낙과수는 65일과 70일 묘가 0.8개 이상으로 0.1-0.3개인 60일 이하의 묘들에 비해 상대적으로 많았고, 낙과율 역시 20% 이상의 큰 차이를 보이며 육묘기간이 길어질수록 낙과수가 증가하는 경향을 보였는데, 이는 Marcelis et al.(2004)의 육묘기간이 길어져서 생육의 불균형이 일어나는 식물이 저온・약광기에 유묘기를 지나게 될 경우 동화산물이 영양기관 발달에 보다 많이 사용되게 됨으로써 낙과의 증가를 유도하였다는 보고와 일치하였다. 육묘기간이 길수록 낙과수가 증가하는 경향은 Period 4까지 유지되었으며 Period 5에 들어서야 약해지는 경향을 보였는데, 이는 육묘기간이 짧은 시험구들의 세력이 착과수의 감소뿐 아니라 낙과를 촉진시킬 정도로 약해졌음을 시사하는 것으로 판단되었다.
생육 초기의 수확량은 Sato(1986)의 연구결과와 유사하게 육묘기간이 짧을수록 많았는데, 생육 중기 이후는 45일 묘의 착과 불량, 65 및 70일 묘의 낙과수 증가로 인하여 50-60일 묘에 비해서 45, 60과 70일 묘의 수확량이 적었다. 이는 육묘기간에 의한 생육 차이가 극복된 것으로 보아 생육 불균형을 극복하기 위해 생식기관보다 영양기관의 발달을 촉진시킨 것이 착과력에는 영향을 미치지 않으나 과실을 비대 및 착색에는 불리한 영향을 미치는 것을 시사하였다. 따라서 65 및 70일 묘는 세력의 불균형으로 인해서 전 생육기간 동안 세력의 조절이 어려울 뿐 아니라 낙과수가 많아서 장기육묘를 통한 경영성과를 기대하기 어렵고, 45일 묘는 생육 중・후반기 이후 수확량이 급격히 감소하기 때문에 장기 재배 시 불리할 것으로 생각되었다. 따라서 파프리카 겨울 정식 하계작형을 위한 육묘일 수는 50-60일 정도로 조절하는 것이 파프리카의 안정적인 생육과 생산 수량 확보에 있어서 유리할 것으로 판단된다.




