서 언
블랙베리(blackberry, Rubus allegheniensis Porter)는 장미과(Rosaceae) 나무딸기속(Rubus)에 속하는 소과류의 관목성 식물(Clark and Finn, 2011)로 20세기 이후 유럽과 북미 등에서 재배가 시작되었으며, 주요 생산지로는 북아메리카 동부와 태평양 연안이다. 블랙베리의 줄기는 1-2m까지 자라고 직경은
15cm까지 굵어지며, 잎은 보통 3-5장의 타원형으로 이루지는 데 엽장은 10-15cm, 엽폭은 15-20cm로 뒷면 잎 가장자리에 톱니가 있다. 개화시기는 5월이며 꽃은 하얀색 또는 분홍색으로 줄기 끝에 무리를 지어 핀다. 수확기는 6월 말-7월 중순이며 수확량은 10a당 2,000-3,000kg 내외이다.
최근 기능성 베리류에 대한 소비자의 관심이 높아지면서 블랙베리를 이용한 주스, 잼, 파이 등(Ono et al., 2003)의 가공품이 활발하게 생산되고 있다. 블랙베리에는 다량의 엽산, 철, 칼륨, 비타민 A, C, E 등의 수용성 물질(Wang, 2007)과 항산화물질인 anthocyanin(Pantelidis et al., 2007), 생리활성 물질인 β-carotene, ellagic acid 등의 성분이 풍부하게 함유되어 있어 항산화 작용, 심장병 예방, 고혈압, 동맥경화, 간 기능 개선 등의 효과가 있다고 보고되었다(Wang, 2007). 베리류의 주산지인 전북의 블랙베리 재배면적은 완주 54ha, 정읍 28ha, 임실 3ha로 전국 생산량의 약 60%를 차지하며, 국내에서 가장 많이 재배되고 있는 블랙베리 주요 품종으로는 ‘슈퍼’, ‘V3’, ‘메이플’ 등이 있다(전북농업기술원, 미발표 자료). 이에 따라, 농가에서는 신 소득 작물로 소비자에게는 건강기능성 및 다이어트 식·의약품 소재로도 널리 활용될 수 있을 것으로 기대를 모으고 있지만 블랙베리는 소핵과 속에 씨가 있어 생과로 이용할 때 식감을 낮추고 가공용으로 이용할 경우에는 이를 제거해야 하는 등 여러 가지 불편함이 있다.
따라서 본 연구는 이러한 문제를 해결하기 위하여 국내에서 가장 많이 재배되고 있는 품종인 ‘슈퍼’를 대상으로 포도 무핵과 유기에 널리 사용하고 있는 GA3(Cainn et al., 1983; Emershad and Ramming, 1984; Gray et al., 1990; Jung et al., 2016; Weinberger and Harmon, 1964)와 GA3 와 혼용할 경우 무핵과 유기 효과가 크다고 보고되어있는 streptomycin (Fukunaga and Kurooka, 1987; Ishikawa et al., 2001; Kimura et al., 1996; Lee et al., 2003)을 복합처리하여 무핵화 가능성을 살피고 처리시기와 농도에 따른 과실품질의 차이를 구명하고자 수행하였다.
재료 및 방법
시험재료 및 시험포 관리
전라북도 익산시 월성동에 소재한 전북농업기술원 블랙베리 시험포장에 2.5m × 60cm로 재식되어 있는 5년생 ‘슈퍼’ 블랙베리를 이용하여 2016년에 수행하였다. 시험포의 토양 표면은 흑색부직포로 피복하고 관수는 점적호스 2조를 설치하여 발아기부터 과실 성숙기까지 토양수분함량이 30%가 유지 되도록 관리하였다. 기비는 3월에 한 주당 복합비료(N-P-K: 21-17-17) 20g을 시비하였고 같은 양으로 추비는 5월 중순과 8월 상순에 2회 실시하여 수관 하부에 고루 살포하였다
생장조절제 처리
무핵화를 유기시키기 위해 GA3 3.1% 수용제(지베렐린 수용제, 경농)와 streptomycin(SM, 아그렙토 20% 수화제, 경농)을 1회처리구(단용처리구)는 블랙베리 개화기에 화방당 꽃이 30% 개화되었을 때(30% full blooming(FB), 5월 13일)와 50% 개화되었을 때(50% FB, 5월 17일), 그리고 중복처리구(2회처리구)는 30%일 때와 50%일 때 2회 처리한 처리구를 두었다. 처리 농도는 Jung et al.(2015)의 생장조절제 처리 방법을 변형하여 수세가 비슷한 나무를 선정하고 GA3 12.5, 25.0, 50.0, 100mg·L-1 처리 약액에 Streptomycin 200mg·L-1을 각각 혼합하여 가정용 분무기로 반복당 10화방을 3반복씩 분무처리(화방 당 10mL)하였다.
조사 항목
생육반응을 보기 위하여 1차 생장정지기인 7월 하순에 각 처리별로 신초수, 신초장, 신초경, 엽장 및 엽폭을 조사하였고, 엽장과 엽폭은 반복당 5개의 잎을 대상으로 측정하였다. GA3+SM 복합처리에 따른 과실의 생장 반응을 조사하기 위해 반복 당 5개의 과방을 선정하여 착과율, 과실의 성숙 진행과정 및 기형과율을 조사하였다. 착과율은 6월 26일에 조사하였고, 과실의 성숙 진행과정과 기형과율은 착과기 이후부터 수확기 전까지 조사하였으며, 처리에 따른 기형과 발생정도는 GA3 단독처리, GA3+SM 복합처리를 무처리와 비교하여 관찰하였다(Fig. 2).
생장조절제 처리별 무핵소과율과의 관계를 알아보기 위하여 수확된 과실 중 반복 당 6개의 과방을 무작위로 채취하여 유핵소과와 무핵소과의 개수를 조사하여 무핵소과율을 계산하였다. 수확한 과실 특성을 알아보기 위하여 반복 당 10개의 과방을 임의로 정하여 과방중, 횡경, 종경 및 경도를 측정하였다. 경도는 물성 측정기(SD-700, Sun Scientific Co., Japan)로 직경 3mm의 어댑터를 사용하여 측정하였다. 당도는 디지털당도계(PR-100, Atogo Co., Ltd., Japan)를 이용하여 측정하였으며, 산 함량은 과즙 5mL를 증류수 20mL에 희석한 후 0.1N NaOH로 pH 8.2가 될 때까지 적정하고 구연산 값으로 환산하였다.
생장조절제 처리별 블랙베리 종자의 백립중은 종피가 파괴된 종자, 분할된 종자, 이물질 등을 제거하고 선별한 건전립 100립을 취하여 3반복으로 무게를 측정하였다. 종자의 종경, 횡경 및 경도는 20립을 취하여 3반복으로 측정하였으며, 관능검사는 10명을 선정하여 씹힘성(chewiness)을 평가하였으며 측정방법은 7점 채점법으로 실시하였다(Seong et al., 2008). 평가방법은 대단히 나쁘다: 1점, 매우 나쁘다: 2점, 조금 나쁘다: 3점, 보통이다: 4점, 조금 좋다: 5점, 매우 좋다: 6점, 대단히 좋다: 7점으로 숫자가 클수록 선호도가 높은 것으로 나타내었다.
통계분석
GA3+SM 복합 처리시기 및 처리농도별 유의성 검정은 window용 SAS system, release 8.01 (SAS Institute Inc, Cary, N.C., U.S.A)을 이용하여 분석을 수행하였으며, 실험결과의 통계분석은 5% 유의수준에서 분산분석하고 유의성이 있는 조사항목은 Duncan’s multiple range test를 실시하였다.
결과 및 고찰
GA3+SM 복합처리 후 7월 중순에 신초수, 신초장, 신초경, 엽장 및 엽폭을 조사한 결과, 무처리구의 신초수 83개, 신초장 36.4cm, 신초경 4.94mm, 엽장 10.46cm, 엽폭 13.72cm에 비해 처리구의 신초 생장량이 통계적으로 유의한 차이를 보이지 않아 화기에 처리된 생장조절제 처리는 영양생장량에 따라 신초 생장량에 영향을 주지 않는 것으로 나타났다(자료 미제시).
Fukunanga and Kurooka(1987)는 포도에서 GA3+SM 복합처리 과실은 무처리구보다 8-10일정도 착색이 빨라진다고 보고되었는데, 본 연구에서 과실의 성숙 진행 과정과 수확시기를 조사한 결과, 첫 수확 시는 무처리구(6월 29일)에 비해 GA3+SM 혼합 30% FB 1회 처리는 6월 27-28일, 50% FB 1회 처리는 6월 26-27일, 30+ 50% FB 중복처리는 6월 25-27일로 나타났으며, GA3처리 농도별로는 12.5mg·L-1에서 대체적으로 빨라지는 경향을 보였다. 특히 GA3 12.5mg·L-1 처리의 50% FB 1회 처리와 30+50% FB 중복처리가 2-3일 빨라져 생장조절제 처리에 의한 수확기 변화를 확인할 수 있었다(Fig. 1).
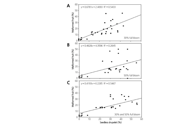
Table 1은 GA3+SM 복합처리 후 2차 생리적 낙과가 끝난 만개 40일 후인 6월 26일에 착과율 및 기형과율과 만개 45일 후인 7월 1일에 무핵소과율을 조사한 결과로, GA3+SM 복합처리가 전체 착과율에는 영향을 주지 않았으며, 기형과율은 무처리구 2.9%에 비해 30% FB 1회처리시 13.4-35.3%, 50% FB 1회 처리 시 15.7-29.5%, 30+50% FB 중복처리 시 15.7-34.4%로 처리시기가 늦어질수록 증가하는 경향을 보였다. 수확 후 무핵소과율은 GA3+SM 복합처리에서 22-57%로 증가되었으며, 30% FB 1회 처리, 50% FB 1회 처리, 30+50% FB 중복처리 모두 GA3 25mg·L-1+SM에서 높게 나타났다. 30+50% FB 중복처리 중 GA3 25mg·L-1+SM는 56.7%의 무핵소과가 발생되어 GA3+SM 혼용이 무핵화 유기에 효과적인 것을 알 수 있었다. 특히 GA3 단독처리보다는 GA3+SM 복합처리에서 기형과 발생이 증가하였다(Fig. 2). 무핵소과율은 기형과율과 유의한 정의 상관관계를 보이는데(Fig. 3), 이러한 이유는 어느 시점인지 알 수 없으나 배 발생의 억제로 소핵과의 성장이 빠르게 멈추어 무핵소과가 유기되기 때문으로 보인다(Naito, R. and T. Hayashi. 1976). GA3+SM처리에 의하여 유핵소과와 무핵소과가 혼재된 과실이 생산되는데, 유핵소과는 무핵소과에 비하여 가늘고 긴 타원형의 형태로 소과가 발달하였다(Fig. 4).

Fig. 4. Longitudinal sections of ‘Super’ blackberry fruits treated with GA3 100 mg·L-1 (B) and combined treatment with 25 mg·L-1 GA3 +200 mg·L-1 SM (C) compared to the control (A). Fruits were sampled 12 days after blooming. GA3 and SM were applied to flowers twice at 30% and 50% full bloom. Arrows indicate drupelets lacking seeds.
종자의 백립중, 종경, 횡경, 경도를 조사한 결과(Table 2), GA3+SM 복합처리에서 GA3 농도가 증가할수록 종자의 백립중과 종경은 감소하는 경향을 나타냈지만 경도는 반대로 증가하였다. 이러한 결과로 씹힘성에 대한 관능검사에서 50% FB 1회 처리 시 무처리 1.0에 비해 4.0으로 더 높은 평가를 얻어 가공식품 및 의약품 원료 생산을 위하여 다양하게 활용될 수 있을 것으로 기대된다.
GA3+SM 복합처리 시 수확기 과실품질을 조사한 결과(Table 3), 과중은 30% FB 1회 처리 시 평균 7g, 50% FB 1회 처리 시 7g, 30+50% FB 중복처리 시 6g으로 30+50% FB 중복처리에서 과중이 감소하였고, 고농도 처리일수록 과중이 감소되었다. 종경은 무처리구에 비해 GA3+SM 복합처리에서 높게 나타났고 경도에서는 통계적으로 유의한 차이를 볼 수 없었다. 당도는 GA3+SM 복합처리에서 통계적인 유의적인 차이가 나타나지 않았지만, 산도에서는 GA3 농도가 증가할수록 높아졌다. 포도 ‘거봉’에 대한 GA3 처리에서는 처리시기에 관계없이 산도가 무처리구와 비슷한 수준으로 조사되었다고 보고(Jeong et al., 1998)하였는데 이와 같은 결과는 작물에 따라 GA3 반응성이 다르게 나타난다는 것을 시사한다.
이러한 결과를 종합해 보았을 때, GA3+SM 복합처리는 과실의 외형 변화에는 영향을 주지만(Kishi and Tasaki, 1960) 일부 과실 내부 품질에는 영향을 주지 않는 것으로 나타났다. 그러나 과실의 기형과 발생 및 무핵소과립과 무핵률이 낮은 한계점이 나타나 생장조절제 처리시기의 조정, 침지처리의 방법, SM 처리농도, 처리 후 적립효과 등에 대한 추가적인 연구가 필요하다고 생각된다.








