서 언
거베라(Gerbera hybrida Hort.)는 국내에서 5대 주요 절화류로서, 재배면적이 54ha에, 생산량이 4,200만 본에 이르며(MAFRA, 2015), 국내 수요의 대부분이 경조사의 대형 화환으로 이용되고 있는 절화이다. 또 한 거베라와 같은 화훼의 종자종묘 산업의 중요성이 커지면서, 시장에 경쟁력이 있고, 국내 환경 여건을 고려한 품종의 육성이 요구되고 있다(NHRI, 2014). 거베라는 국화과 거베라속의 숙근성 화훼작물로서, 남아프리카 트랜스 바알(Transvaal) 지방 원산으로, 서늘하고 다소 건조한 기후가 최적 조건이다(Rogers and Tjia, 1990; Park et al., 2013). 원산지의 기후는 연간 강수량이 400-700mm, 연평균 기온이 4-9월에는 10-18°C, 10-3월에는 20°C 정도가 적정한 것으로 알려져 있다 (RDA, 1998). 국내에서 거베라는 이용형태에 따라 절화와 분화로 나뉘며, 꽃의 크기에 따라 다시 대륜과 소륜으로 구분하고 있으며, 국내에서 유통되는 거베라는 대부분이 대륜계이고 화색이 선명하고 화려한 분홍색계의 품종이 기호도가 높다. 그러 나 최소 5-6가지 화색을 혼합하여 출하하기 때문에 다른 구색을 갖는 품종의 개발도 필요하다(Park et al., 2011; Park et al., 2013).
거베라의 개화습성은 중성식물로서 잎눈과 꽃눈이 혼재되어 영양생장과 생식생장이 같이 이루어지는 영양생식생장형 (VR주기형, vegetative reproductive growth periodicity)으로, 거베라의 꽃눈은 일정기간 영양생장하면서 엽수가 8-10매 정도 확보 되면서 생성되는 것으로 알려져 있으며, 형태는 근출엽형으로 꽃대가 길어진 모양으로, 화서는 여러 개의 꽃이 한 대에 몰려 있는 두상화이다(RDA, 1998).
국내에서 재배되는 많은 거베라 품종이 네덜란드와 같이 여름이 서늘한 해양성 기후대에 속하는 유럽에서 육성되어 도입 된 품종으로, 국내 재배환경에 대한 검정이 미비하고, 재배특성에 대한 정보 등이 생산자에게 제공되지 않고 있다. 따라서 이 로 인한 손해 발생 시 농가가 부담해야 되는 실정이다. 또한 품종보호 제도가 정착되면서, 각국의 유전자원과 권리에 대한 주 장이 커지면서(NHRI, 2001), 재배 품종의 로열티 부담이 커지고 있다. 그러므로 로열티를 절감해 경영 부담을 낮추고 국내 환 경 여건에 맞는 우수한 품종을 개발해 산업화시킴으로 소득원을 창출하는 것이 절실한 실정이다(NHRI, 2005; Kang et al., 2007). 따라서 화훼산업 육성을 위해 국내에 적합한 품종이 지속적으로 개발되어야 한다는 주장이 제기되고 있다(Kang et al., 2007).
이러한 배경 하에서 경상남도농업기술원 화훼연구소에서는 국내 재배환경에 적합하고 재배농가의 다양한 품종선택 폭을 넓히기 위하여 화색이 선명한, 황색의 다수성 품종인 ‘조이풀(Joyful)’을 육성하였다. 본 논문에서는 육종뿐만 아니라 절화의 특성까지 검토하여, 품종육성에서부터 재배특성 및 수확 후까지의 일관된 연구를 수행하고자 하였다. 또한 육성품종의 유전 자적 구별성을 판별하기 위하여 RAPD기법으로 비교하였다. 이러한 품종 개발에 있어서 수확 후 이용까지 검증하는 개념은 앞으로 품종육성에서 고려하여 적용해야 될 것으로 생각된다.
육성 경위
절화용 거베라 ‘조이풀(Joyful)’은 품종간 교배 후 증식과정과 특성검정을 거치면서 육성하였다. 대륜계통에서 분홍색 위주 의 화색을 탈피하고, 다수성의 거베라 품종을 개발하기 위하여 교배를 통해 2005년부터 2010년까지 화색이 선명하고 다수성 이며, 반겹꽃으로, 꽃대가 강한 ‘조이풀’을 선발하였다. 교배는 2005년 3월에 ‘포커스(Focus)’를 모본으로 하고 ‘초우(Chowoo)’ 를 부본으로 한 교배 조합에서, 품종간 인공교배하여 235개의 종자를 획득하였다. 모본인 ‘포커스’는 화색이 노란색으로 수량 이 많으며, 화형과 화색이 좋고, 색상이 진하나, 외부 설상화의 수가 적고 꽃대가 약하여 다소 생육이 빈약한 면 있이다. 부본인 ‘초우’는 화색이 노란색으로 꽃 크기가 크고 수량이 많으며 꽃대가 강한 특징을 가지고 있다.
4월 하순경에 교배 후 결실된 종자를 수확하여 정선 후, 저장하지 않고 바로 파종하였으며, 파종 1개월 후 발아된 유묘의 본 엽이 4-5매 전개되었을 때 화훼연구소 유리온실 내의 선발포장에 정식하여 재배하였다. 실생 계통에서의 선발과 재배, 검정은 2007년부터 2010년에 실시하였다. 재배는 화훼연구소 유리온실 내의 특성검정 포장에서 실시하였다. 2007년에서 2008년에 생육특성의 평가 및 검정을 통하여, 화색이 선명하고 수량이 많고 우수한 계통 ‘0713-103’을 선발하였다. 선발된 개체는 생장 점 배양에 의한 조직배양을 통하여 개체를 증식 하였다. 2009년에 품종의 고유특성에 변화가 없는 균일성에 대한 재현성을 실 시하여, 우수한 평가를 받아서 ‘경남교G-40호’로 재명명하였다.
품종 육성을 위한 특성 및 조사는 화훼연구소 유리온실에서 농촌진흥청 농업과학기술 연구조사 분석기준(RDA, 2003)을 따라, 화형과 화색이 유사한 ‘초우’를 대조품종으로 하여, 모본의 ‘포커스’와 함께 조사하였다. ‘화색’과 같은 식물체의 색상은 영 국왕립원예학회의 컬라차트(RHS, 2001)를 이용하여 비교하였으며, 그 외의 특성조사는 국립종자원의 신품종 출원 및 심사를 위한 특성조사요령(KSVS, 2008)에 따라 실시하였다. 또한 육성품종평가회와 농가 실증재배를 통해 재배상의 유의점과 기호 도 등을 파악하였다. 실증재배는 경남 밀양지역에서 2011년 5월부터 2012년 4월까지 1년간 PO필름으로 피복한 연동한 비닐 하우스에서 토양재배 조건하에서 하였다. 절화 보존 실험은 국립원예특작과학원의 저장유통 실험실에서 온도는 22.0±1.5°C, 일장 조건은 형광등 10시간 조도는 650-870Lux하의 조명조건 하에서 수행하였으며, 절화 특성 조사는 절화를 보존하면서 꽃 크기 및 생체중 변화, 수분균형, 외관을 조사하였다.
특성평가에 따라 화색 및 수량이 뛰어나고 화형이 안정된 ‘경남교G-40호’는 농촌진흥청 직무 육종품종심의회를 거쳐 ‘조이 풀(Joyful)’로 명명되고 품종으로 등록하였다. 품종의 육성과정은 Fig. 1에 제시하였다.
유전자 분석
Genomic DNA 추출
‘조이풀’과 ‘포커스’, ‘초우’의 잎 200mg을 Tissue Lyser II(Qiagen Co. USA)를 이용하여 마쇄한 것을 DNA의 추출시료로 이 용하였다. DNA의 추출은 농업기술실용화재단에서 확립된 CTAB(cetyl-trimethyl-ammonium bromide) 방법을 사용하였 다. 추출한 DNA는 Nanodrop(Thermo Scientific Co., Wilmington, DE, USA)를 이용하여 정량한 후 분석하였다.
RAPD 및 전기영동
Williams et al.(1990)의 방법을 약간 변형하여 RAPD를 수행하였으며, 품종간 비교를 위하여 양친 및 품종을 구별할 수 있 는 프라이머 OP9(5’-GGGTAACGCC-3’) 및 OP15(5’-TTCCGAACCC-3’)를 선발하여 품종간 비교에 이용하였다. 반응조건은 10ng의 template DNA, 200nM의 임의 primer, 각각 100μM의 dATP, dTTP, dGTP, dCTP, 1x Taq polymerase buffer(10 mM Tris-HCl, pH 8.3, 50mM KCl, 1.5mM MgCl2, 0.001% gelatin)와 0.8unit의 Taq DNA polymerase를 포함한 25μL의 반응액으로 하였다. 증폭은 94°C에서 3분간 주형 DNA를 변성시킨 후, 94°C에서 1분간 변성, 37°C에서 1분간 primer annealing, 72°C에서 2분간 합성(extension)과정을 45회 반복하였다. PCR 산물은 1.5% agarose gel에 전기영동한 후(4 V/cm), ethidium bromide (0.5gmL-1)로 염색 후 UV 상에서 촬영하였다(Hoefer Co., Holliston, MA, USA).
품종의 구별성
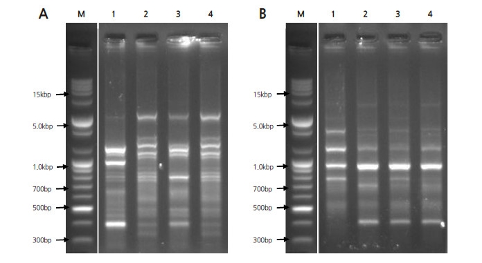
RAPD 분석을 통한 유전자 분석결과, 품종 내 변이가 매우 낮아, 선발한 primer를 이용하여 품종간 비교가 가능하였다(Fig. 2). 모본인 ‘포커스’와 부본 ‘초우’, 육성 품종인 ‘조이풀’, 그리고 대조품종으로 사용한 ‘초우’에 대해 RAPD primer를 이용하여 품종간 밴드 패턴을 비교한 결과, 양친간에 차이를 보이는 두 개의 프라이머 OP9 및 OP15를 통해 품종을 구별하였다. OP9를 이용한 RAPD 분석결과, ‘포커스’에 보이는 2.0kb의 밴드와 ‘초우’에 나타나는 1.5kb, 2.5kb 밴드가 이들의 교배품종인 ‘조이풀’ 에는 모두 나타나서 ‘조이풀’이 양친간 교배에 의해 만들어진 품종임을 확인할 수 있었다. OP15를 이용한 RAPD 분석에서도 ‘ 포커스’에 보이는 0.8kb의 밴드와 ‘초우’에 나타나는 0.4kb 밴드가 이들의 교배품종인 ‘조이풀’에는 모두 나타나서 ‘조이풀’이 양친간 교배에 의해 만들어진 품종임을 확인할 수 있었다 .
‘조이풀’은 외형적으로는 대조품종인 ‘초우’와 유사한 면도지만, RAPD 분석에 의해서는 품종간 구분이 충분히 가능하였다. 모본과 부본의 밴드패턴이 서로 다른 RAPD primer를 이용하여 분석하였을 때 이들간의 교배후대는 양친의 밴드를 대부분 갖 고 있었다. 이러한 분석을 통하여 육성품종이 양친에서 유래하였다는 것을 알 수 있었으며, 다른 품종과의 유전적인 차이를 비 교할 수도 있었다. RAPD 분석을 이용하여, 품종 육성과정에서 얻어진 개체가 자식에 의해 유래한 것인지, 양친간 교잡에 의해 서 나온 계통인지 확인할 수 있었다. 분석에 활용한 분자표지는 품종 육성 시 양친간 잡종강세의 활용뿐만 아니라, 이후 품종의 등록 및 보급 시에도 육성 품종의 구별 등에 다양하게 이용할 수 있을 것으로 판단된다.
Cheong et al.(2012)은 안개꽃에서 RAPD 분석으로 육성 품종과 대조 품종만을 비교하여 유전적 차별성을 확인하였으나, 모·부본간의 유연관계는 검정하지 못하였다. 본 연구에서는 육성 품종과 대조 품종뿐만 아니라, 모·부본도 비교하여 품종의 차 별성과 근연 관계 여부도 검토하였다.
주요 특성
‘조이풀’은 선명한 황색의 절화용 대륜화로서(Fig. 3), 화형은 모본인 ‘포커스’나 부본인 ‘초우’와 같은 반겹꽃 화형이다. ‘조이 풀’의 화색은 황색(RHS, 12A)이고 화심은 갈색(RHS, 177A)으로, 모부본과 비교하면 부본인 ‘포커스’는 설상화가 다소 엷은 노란색(RHS, 7A)이고 화심은 ‘포커스’는 갈색에 자주빛 톤(greyed purple, N187-A)이고, 모본인 ‘초우’는 오렌지색 톤이 섞인 황색(RHS, 16A)이었으며 화심은 짙은 갈색(RHS, 166A)이었다. ‘포커스’의 엽색은 녹색(RHS, 137A)이고, 화경은 연녹색 (RHS, 144C)으로, 엽색이 화경의 녹색보다 진한 것으로 나타났다(Table 1). ‘조이풀’의 엽색과 화경색은 ‘포커스’보다는 ‘초우’ 에 가까웠다.
Table 1. Morphological characteristics of a new gerbera cultivar ‘Joyful’ and its two parental cultivars, ‘Chowoo’ and ‘Focus’.
![]() | |
| zThe Royal Horticultural Society (RHS) color chart number code. | |
‘조이풀’의 수확 시 꽃크기(화경)은 12.8cm, 화심(flower center)은 2.3cm이며, 설상화 길이가 5.9c, 폭은 1.0cm이었다(Table 2). 부본인 ‘포커스’는 화경이 12.3cm, 화심이 2.3cm이고, 설상화 길이와 폭은 각각5.5cm, 1.3cm이었다. 모본인 ‘초우’의 화경은 11.4cm, 화심은 2.2cm이고, 설상화의 길이와 폭이 4.9cm, 1.0cm이었다. 꽃송이 무게에 있어서, ‘조이풀’은 14.2g으로 ‘포커스’ 의 18.5g보다 가볍고, ‘초우’의 13.2g보다 무거웠다. ‘조이풀’은 꽃크기가 다른 품종보다 컸는데, 이는 설상화가 길어서이며, 설 상화 폭이 다소 좁은 특징을 가지며, 꽃송이 무게는 중간 정도에 속하는 것으로 나타났다.
‘조이풀’은 꽃대 길이(화경장)가 긴 특성을 가졌다. 꽃대 길이에 있어서 ‘조이풀’은 59.6cm으로, 모·부본인 ‘포커스’의 41.8cm 와 ‘초우’의 42.3cm보다 17.3-17.8cm 정도 긴 것으로 나타났다(Table 2). 꽃대(화경)의 굵기는 ‘조이풀’의 상부가 0.5cm, 하부 가 0.7cm으로, ‘포커스’의 0.6cm와 0.7cm, ‘초우’의 0.5cm와 0.6cm보다 화경이 길고, 꽃목은 기부에 비해 상대적으로 얇은 것 으로 나타났다.
Table 2. Ornamental characteristics of the new gerbera cultivar, ‘Joyful’, and its two parental cultivars, ‘Chowoo’ and ‘Focus’.
![]() | |
| zMean ± standard deviations (n = 30). | |
‘조이풀’은 조기 개화뿐만 아니라 수량이 늘어나는 경향을 보였다(Table 3). ‘조이풀’이 주당 채화수가 49.2개로 ‘포커스’의 48.9개나 ‘초우’의 48.3개보다 0.3-0.9개보다 다소 수량이 많아지는 경향을 보였다. 첫꽃 개화소요일수에 있어서 ‘조이풀’이 88.7일로 ‘포커스’의 93.7일이나 ‘초우’의 90.1일보다 1.3-5.0일 빨랐다. 또한 개화 시 필요한 엽수가 ‘조이풀’이 9.2개로 ‘포커스’ 의 9.9개나 ‘초우’의 9.5개보다 잎을 적게 확보하여도 개화가 가능하였다. 이는 ‘조이풀’은 다른 대조 품종보다 상대적으로 엽수 가 적어도 영양생장에서 생식생장으로 전환이 빨라, 조기 개화가 되고, 따라서 절화 생산이 빠르게 지속적으로 이루어져, 상대 적으로 높은 수량을 보인 것으로 판단된다.
‘조이풀’은 절화수명도 대조품종보다 길며, 기호도도 비교적 좋은 품종으로 나타났다. 절화수명이 ‘조이풀’은 12.8일로 ‘포커 스’의 9.2일이나 ‘초우’의 10.2일보다 2.6-3.6일 더 감상할 수 있었으며, 기호도에 있어서도 ‘조이풀’이 4.1로 ‘포커스’의 3.9나 ‘ 초우’의 3.8보다 다소 우수한 것으로 나타났다(Table 3). 기호도 평가 시 화형과 화색, 화심색이 잘 조화된 절화 품종으로 평가 받았다(자료 미제시).
절화 보존 시 절화특성
절화는 꽃자루 또는 꽃대, 가지를 관상 목적으로 절단한 화훼를 말한다(Anderson, 2006; Kim, 2013; Lang, 1952). 절화의 품 질 판단은 절화수명과 외관 등의 품질변화로 대별되어 있다(RDA, 1992). 그러나 국내외에서 육성된 품종들의 형태적 또는 재 배적 특성은 시험재배나 평가회, 홍보 등을 통해 알 수 있지만, 국내에서 육성된 품종에 대해 농민이나 소비자에게 절화수명 특 성까지는 알리기 어려운 점이 많아(Kim et al., 2004) 연구를 통해 알려주는 것이 필요하다. 거베라의 절화수명 연장을 위해 생장조정제 등을 이용하지만(Danaee et al., 2011), 본 논문에서는 품종 육성과 함께 수확 후 특성에 대한 정보를 함께 제공하여 화 훼 품종 보급에 기여할 수 있을 것으로 기대하였다 .
절화 보존 시 ‘조이풀’은 외관에서 외형이나 화색 변화가 대조품종보다 적어, 절화로서 높은 관상가치를 가진다. 육성한 ‘조 이풀’의 절화특성을 보면 수확 시 꽃크기가 다소 크고, 절화수명이 모부본보다 긴 것으로 나타났다(Table 3). 또한 절화 보존 시 생체중의 증가 정도가 크지 않을 뿐만 아니라, 생체중 감소 정도도 적었다. 그러나 수분 균형에서는 다른 품종과의 변화시점이 동일하여, 차이가 없어 보인다.
꽃 크기의 변화
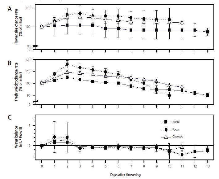
‘조이풀’은 절화 보존 동안 꽃 크기 변화가 다른 품종가 다소 다른 패턴을 보였다(Fig. 4A). 거베라의 꽃 크기의 변화를 Fig. 4A에서 보면, 절화 보존 동안에 ‘조이풀’을 비롯한 ‘포커스’와 ‘초우’는 2-3일째에서 최대 크기였으나, 이후 절화 보존 종료 시 까지 지속적으로 감소하는 것으로 나타났다. ‘조이풀’은 수확 시 가장 화경이 컸으나(Table 2), 절화 보존 중에 화경 변화에 있어 서는 다른 품종보다 증가폭이 크지 않은 것으로 나타났으며, 감소 변화도 적어, 큰 변화 없이 그대로 유지하는 것으로 나타났다. 꽃크기 변화율에서 ‘조이풀’은 절화 보존 2일째에 100.9%로 소폭으로 증가하였으며, 10일째에는 최대 크기에서 2.7% 감소 하는 것으로 나타났다(Fig. 4A). 절화 보존 시 비교 품종이면서 모·부 본인 ‘포커스’와 ‘초우’에서 ‘포커스’는 3일째 107.1%로 커 진 후에 10일째에는 3.3% 감소하였고, ‘초우’는 105.2% 증가 후, ‘초우’가 10일째에 2.8% 감소 하면서 절화수명을 다하는 것으 로 나타났다(Fig. 4A). 절화 보존 시 화경 변화에 있어서 ‘조이풀’의 화경 증가는 다른 품종보다 적으며, 변화 정도가 적은 것으 로 나타났는데, 이는 수확 시 꽃 크기가 다른 품종보다 다소 커서 상대적인 변화가 크지 않은 것으로 생각된다.

Fig. 4
Characteristic changes of the gerbera, ‘Joyful’, ‘Chowoo’, and ‘Focus’, during cut flower preservation. (A) rate of change in the flower size of gerbera cultivars, (B) rate of change in the fresh weight of gerbera cultivars, and (C) change in water balance of gerbera cultivars. The fresh cut flowers were maintained at2 2°C and irradiated by fluorescent lamps for 10 hours a day. Bras represent the mean ± SE of four replicates.
생체중 변화
‘조이풀’의 절화 보존 시 생체중 변화 시점은 다른 거베라와 유사하지만, 변화 정도는 차이를 보이는 것처럼 나타났다(Fig. 4B). 거베라 절화의 수확 후 보존 중의 생체중은 ‘조이풀’ 등에서 2일째에 최대중량을 보인 후 감소하는데, 감소 정도에서 다소 차이를 나타냈다. ‘조이풀’의 절화 보존 중에 생체중은 2일째까지 104.9%로 증가하였으나, 이후 감소하여 10일째에는 최대중 량에서 8.4%가 감소하였고, 절화수명이 종료하는 12일에는 10.7% 감소하였다. ‘포커스’는 2일째에 115.9%까지 최대 증가하 였고, 절화수명이 종료하는 10일에 최대중량으로부터 26.2%가 감소하였으며, ‘초우’는 2일째에 109.3%로 더 증가하였고, 10 일째에 11.2%가 감소하였다. 거베라의 생체중 증가 패턴은 2일째에 최대를 보였고, 이후 절화 수명종료 시까지 감소하는 것으 로 나타났으며, 품종에 따른 생체 증감폭은 ‘포커스’에서 가장 컸으며, ‘초우’, ‘조이풀’ 순이었다.
Kim et al.(2004)은 다른 거베라에서도 생체중이 2일 정도까지 증가하는 것으로 나타난다고 하였으며, 절화에서 생체중 변 화는 수분흡수와 증산의 영향으로 변하며, 생체중의 감소가 큰 품종이 절화수명이 짧다고 하였다. 본 연구에서도 생체중 감소 가 큰 ‘초우’에서 절화수명이 짧아, Kim et al.(2004)과 유사한 결과를 나타냈다.
육성 품종인 ‘조이풀’의 생체중 증가 양상을 보면 다른 거베라 품종과 같이 2일 정도에서 최대 생체중량을 가졌다. 그러나 생 체중의 증가 정도가 크지 않았으며, 무게 감소 정도도 ‘포커스’나 ‘초우’보다 작은 것으로 나타났다 .
수분 균형
수분 균형(수분 수지)은 절화의 수분 흡수와 증산에 대한 균형과 수분 보유 상태의 지표로서(Kim et al., 2004), ‘조이풀’의 수 분 균형(water balance) 변화는 다른 거베라 품종과 비교하여 품종 별로 진폭의 차이는 있었지만, 음(-)의 값을 보이는 변화 시 점이 동일하여, 품종에 따른 거베라 절화 보존 시 수분 균형에 차이를 말하기 어려운 것으로 보인다(Fig. 4C). 흡수량에 있어서 ‘조이풀’을 비롯한 ‘포커스’와 ‘초우’ 모두 절화 보존 시 1일째에는 최대치를 보였으며, 절화 보존 3일에 음(-) 값에 이르러, 3일로 생각된다. 거베라의 생체중 증가와 수분 균형을 비교하면, 생체중은 절화 보존 2일에 최대로 증가하다가, 3일째에 감소하며, 수분 균형도 이를 기점으로 음(-)의 값을 보여, 수분 흡수보다는 증산으로 인해 거베라 내의 수분함량이 감소하면서 수분 균형 값이 음(-)의 값을 보이는 것으로 생각된다. ‘조이풀’은 수분 대사와 관련 있는 수분 균형에서 품종간 변화 시점에 차이가 없어, 다른 품종과의 차이를 언급하기는 어려워 보인다.
외관 변화
절화 보존 시 ‘포커스’는 화심부의 통상화의 개화가 더디어, 화심이 절화 보존 종료 시까지 비교적 뚜렷이 유지되어, 외관적 품위가 높은 것으로 판단된다(Fig. 5).
거베라의 수확은 외부 설상화가 충분히 전개되었을 때 이루어지는데, Fig. 5에서 보면 거베라는 절화 보존 시 외관은 수확 시 의 화형을 그대로 유지하고 있으나, 형태적으로 화심의 통상화가 개화되면서 화심의 크기가 줄어들고, 절화 보존 종료 시에 꽃 잎이 뒤로 젖혀지고, 모양이 뒤틀리는 것으로 나타났다. 품종별 거베라 절화 보존 시의 특징은 육성된 ‘조이풀’은 화심의 수꽃이 더디게 피어, 화심 부위의 크기 감소가 ‘초우’나 ‘포커스’보다 더딘 것으로 나타났으며, 화색의 변화도 적었다. 또한 절화 보존 종료 시 설상화의 뒤틀림이나 변형도 다른 비교품종보다 적어서, 관상가치도 좋은 것으로 생각된다.
재배상 유의점
실증농가에서 ‘조이풀(Joyfull)’ 에 대해 재배를 일반적인 재배방법에 따라 재배하였는데(RDA, 1988), 여름 고온기에 다소 수량이 감소하며 습해에 약하다고 평하여, 배수가 잘되는 토양에 정식하여야 한다. 하절기의 고온 다습한 환경에서는 차광 (50%)이 필요한데, 경남일대의 남부지방에서 차광처리기간은 6월 상순에서 9월 하순까지 실시하는 것이 좋은 것으로 판단된 다. 농가실증 결과, 겨울철에 5°C 부근에서 생리적인 영점현상을 보이며, 정상적인 절화상품의 수확을 위하여 16°C 이상으로 가온이 필요하다고 판단된다. ‘조이풀’의 성엽은 25-30매로 유지하면서 재배하였으며, 화색이 계절에 상관없이 사계절 일정하 며 농가 포장에 어느 위치에서 재배하여도 생육이 균일하다고 평하였다. ‘조이풀’의 생육 최적기는 3-5월, 9-11월이며, 생리장 해 현상인 대화현상이 없고, 꽃대가 길고 단단한 것으로 밝혔다.









