서 언
국내에 prohexadione-calcium(Pro-Ca)이 보급된 이후로 Pro-Ca은 사과(Kim et al., 2008; Yoon and Sagong, 2005), 벼(Kim et al., 2007), 체리(Lee et al., 2010), 양배추(Kang et al., 2010), 잔디(Choi et al., 2012) 등 여러 작목에서 사용되고 있다. 특히, Pro-Ca은 국내 사과 농가에서 당년의 신초생장을 효과적으로 줄이면서 당년의 착과와 이듬해 개화 수를 증진시킬 수 있는 생장조절제(Costa et al., 2004; Evans et al., 1997; Greene, 2007)로 소개되면서, Pro-Ca을 사용하는 사과 재배농가가 매년 증가하고 있다.
사과나무의 수세조절을 목적으로 한 Pro-Ca의 적정 살포농도는 대목, 품종, 수세 및 재배환경 등에 따라 다르지만 보통 200mg・L-1 이하를 추천하고 있다(Byers and Yoder, 1999; Greene, 2008; Medjdoub et al., 2004; Schupp et al., 2003; Yoon and Sagong, 2005). 그러나 200mg・L-1 농도에서 신초생장이 과도하게 억제되고 과실비대 및 품질이 감소되었다는 보고(Basak and Rademacher, 2000)가 있는가 하면 250mg・L-1 농도로 살포해도 M.106 및 M.111 대목에 접목한 사과나무에서는 신초생장 억제효과가 없었다는 보고(Miller, 2002)도 있는 등 연구자에 따라 결과의 차이가 크게 보고되고 있다.
Pro-Ca 제조사 및 판매회사에서는 사용지침에 Pro-Ca의 권장농도로 125mg・L-1을 제시하고 있다. 그러나 우리나라에서는 대과 생산을 위해 수세를 다소 강하게 유지하는 경향이 있고, 여름철 잦은 강우로 인해 7월 말 이후로 2차 생장이 심하게 발생하므로(Sagong and Yoon, 2010; Yoon et al., 2005), 125mg・L-1의 농도로는 국내 ‘후지’/M.9 사과나무의 수세를 효과적으로 감소시킬 수 없다(Cho, 2004; Yoon and Sagong, 2005). 이에 국내 재배자들은 권장농도로 2-3회 살포하거나 250mg・L-1 농도로 살포하고 있는 실정이다. 또한 외국에서도 250-450mg・L-1 농도로 1회 살포하거나 혹은 63-125mg・L-1 농도로 2-4회 살포하는 등 Pro-Ca의 살포체계는 아직 확립되지 못한 상태이다(Byers and Yoder, 1999; Elfving et al., 2002; Greene 1999; Greene and Miller, 2005; Privè et al., 2004; Schupp et al., 2003).
Miller(2002)는 수세가 강한 사과나무의 신초 생장을 효과적으로 억제하기 위해서는 Pro-Ca의 누적 살포량(cumulative dose)이 500mg・L-1 이상은 되어야 하고, 125mg・L-1 농도로 7월 말에 추가 살포하면 2차 생장을 효과적으로 억제할 수 있다고 하였다. 그러나 Yoon and Sagong(2005)은 Pro-Ca 2회 살포에 따른 신초생장 억제효과는 단일 살포와 차이가 없기 때문에 신초생장을 보다 강하게 억제하기 위해서는 150mg・L-1 이하의 낮은 농도로 나누어 살포하는 것보다는 300mg・L-1의 고농도로 1회 살포하는 것이 바람직하다고 하였다.
따라서 본 시험은 Pro-Ca 살포에 따른 사과나무의 생육반응과 과실특성을 구명하고자, 성목기 ‘후지’/M.9 사과나무를 대상으로 Pro-Ca을 400mg・L-1까지 살포한 뒤, 신초생장, 광합성속도, 과실 내 GA 함량 및 과실품질을 조사하였다.
재료 및 방법
시험재료 및 처리방법
본 실험은 4년에 걸쳐 실시하였다. 2003년은 경북 군위군 부계면 소재 경북대학교 부속 실습 사과원의 6년생 ‘후지’/M.9 사과나무를 실험재료로 사용하였고, 2005년과 2006년은 대구 소재 경북대학교 부속 실습 사과원의 8, 9년생 ‘후지’/M.9 사과나무를 사용하였다. 2010년에는 경상북도 군위군 소보면 소재 농촌진흥청 국립원예특작과학원 사과시험장의 13년생 ‘후지’/M.9 사과나무를 실험재료로 사용하였다. 토성은 모두 미사질양토였고, 전정은 세장방추형을 목표로 하였다.
Pro-Ca 처리방법에 있어, 2003년에는 재식거리가 4.0 × 1.5m인 사과나무를 대상으로 정단신초가 5-10cm에 달한 5월 9일에 배부식 분무기(5L)를 이용하여 100, 150, 200, 250mg・L-1 농도로 수관전체에 각각 1회 처리한 구(Pro-Ca 100, Pro-Ca 150, Pro-Ca 200, Pro-Ca 250)와 100mg・L-1 농도로 5월 9일에 1차 처리하고 4주 후인 6월 5일에 2차 처리한 구(Pro-Ca 100 + 100), 150mg・L-1 농도로 5월 9일에 1차 처리하고, 6월 5일에 2차 처리한 구(Pro-Ca 150 + 150), 그리고 대조구로 무처리를 두었다. 시험구 배치는 1주를 1반복으로 완전임의배치 4반복이었다.
2005년에는 수세가 강한 나무의 신초생장을 효과적으로 억제할 수 있는 적정농도 및 살포방법을 구명하고자, 재식거리가 3.5 × 1.5m인 사과나무를 대상으로 도장지가 많이 발생하는 수고 2m 이상의 상단부에만 Pro-Ca을 살포하였다. 처리구는 정단신초가 5-6cm에 달한 4월 30일에 배부식 분무기를 이용하여 200, 250, 300mg・L-1 농도로 각각 1회 처리한 구(Pro-Ca 200, Pro-Ca 250, Pro-Ca 300)와 125mg・L-1 농도로 4월 30일에 1차 처리하고 2차 생장이 5cm 내외로 발생된 7월 1일에 2차 처리한 구(Pro-Ca 125 + 125), 1차(4월 30일)에 150mg・L-1, 2차(7월 1일)에 150mg・L-1으로 처리한 구(Pro-Ca 150 + 150), 1차에 200mg・L-1, 2차에 100mg・L-1 농도로 추가 처리한 구(Pro-Ca 200 + 100), 그리고 대조구로 무처리를 두었다. 시험구 배치는 1주를 1반복으로 완전임의배치 4반복이었다.
2006년에는 재식거리가 3.2 × 1.2m인 사과나무를 대상으로 정단신초 길이가 5-10cm에 달한 낙화기(4월 28일)에 배부식 분무기로 수관전체에 200mg・L-1 혹은 400mg・L-1 농도로 살포하였고, 대조구로 무처리를 두었다. 시험구 배치는 1주를 1반복으로 완전임의배치 4반복이었다.
2010년에는 재식거리가 3.5 × 1.5m인 사과나무를 대상으로 정단신초가 5-10cm에 달한 낙화기(5월 13일)에 200mg・L-1 혹은 400mg・L-1 농도로 수관전체에 살포하였고, 대조구로 무처리를 두었다. 시험구 배치는 1주를 1반복으로 한 완전임의배치 5반복이었다.
신초생장
시기별 정단신초 생장은 2003년에 나무당 10개의 정단신초를 선정하여 5월 28일부터 7월 7일까지 2-3주 간격으로 조사한 뒤, 생장이 끝난 11월 2일에 최종적으로 조사하였다.
2003년, 2006년, 2010년의 평균 신초장은 낙엽이 진 후에 수고 2m까지의 길이 3cm 이상인 신초 모두를 대상으로 조사하였다. 2005년에는 수고 2m 이상의 신초 모두를 대상으로 Pro-Ca 처리 한달 뒤인 5월 30일과 낙엽이 진 후인 12월에 각각 조사하였다. 신초의 2차 생장 발생률은 12월에 총 신초수에 대한 2차 생장이 발생한 신초의 수를 조사하여 산출하였다.
과실품질
과중 및 과실품질은 10월 말부터 11월 초 사이에 수확하여 조사하였다. 2003년에는 주당 과실수를 모두 조사한 뒤 주당 20개를 무작위로 수확하여 평균과중을 조사하였다. 과실품질은 20개 중 5개를 임의로 취하여 조사하였다. 착색 정도는 색차계(Chroma meter CR-400, Konica minolta, Japan)를 사용하여 각각의 과실을 3부분(양광면, 음광면, 중간부분)의 평균값을 Hunter a value로 표시하였다. 가용성 고형물 함량은 주당 5개 과실을 모두 분쇄하여 착즙한 후 거름종이로 걸러 디지털당도계(PR-100, Atago, Japan)로 측정하였고, 산 함량은 과즙 5mL를 증류수 20mL로 희석한 후 0.1N NaOH로 적정하여 pH 8.1이 되는 점의 적정치를 사과산으로 환산하였다.
2005년 수관 상단부 처리는 수고 2m 위에 위치한 과실만을 전량 수확하여 평균과중을 조사하였다. 과실품질은 상단부 과실을 5개씩 선정하여 2003년과 동일하게 조사하였다.
2006년과 2010년에는 과실을 전량 수확하여 평균과중을 측정하였다. 과실품질은 주당 5개씩 임의로 취하여 2003년과 동일하게 조사하였다.
잎의 특성과 광합성속도
2003년에는 7월 7일에 정단신초 중간 부위의 성엽을 주당 30매씩 채취하여 휴대용 엽면적 측정기(LI-3000A, LI-COR, USA)를 이용하여 개별 엽면적을 조사하고, 85oC 건조기에 이틀간 건조한 후 주당 30매의 총 건물중을 총 엽면적으로 나누어 비엽중(specific leaf weight)을 산출하였다.
2010년에는 7월 19일에 나무 별로 과대지 중간부위 잎을 2매(총 10매)씩 선정하여 광합성속도를 조사한 뒤, SPAD 미터(SPAD-502, Minolta, Japan)를 이용하여 잎의 녹색 정도를 조사하였다. 광합성속도는 광합성 측정기(LI-6400, LI-COR, USA)로 1시간 간격으로 3회(11:00-14:00) 조사하였다. 광합성속도 측정 시간대의 광량은 1,800-2,000μmol・m-2・s-1, 기온은 30.5-32.7oC, 대기 중 이산화탄소 농도는 380-390μmol・mol-1 범위에 있었다.
결과 및 고찰
신초생장
2003년 정단신초는 Pro-Ca 살포 2주 후인 5월 23일에 생장의 차이가 뚜렷하게 나타났다. Pro-Ca의 처리농도가 높을수록 생장억제 효과가 높아 150mg・L-1, 200mg・L-1, 250mg・L-1 처리구에서 현저하게 신초생장이 억제되었으나 100mg・L-1은 효과가 떨어졌고, 100 + 100mg・L-1 처리구 역시 생장억제 효과가 낮았다. Pro-Ca 150 + 150mg・L-1 처리구는 무처리보다 신초생장이 억제되었지만 150mg・L-1, 200mg・L-1, 250 mg・L-1 처리구와는 차이가 없었다(Fig. 1). 또한, 무처리에 비해 Pro-Ca 처리는 농도나 회수에 관계없이 7월 이후에 2차 생장이 많았는데(Fig. 1), 이는 Pro-Ca을 250mg・L-1 농도로 살포한 사과나무의 도장지는 7-8월에 2차 생장을 하였다는 보고(Guak, 2013)와 비슷하였다.
수고 2m 이하의 평균 신초장은 2003년의 경우 Pro-Ca의 누적 살포량이 높을수록 낮아지는 경향을 보였고, 신초의 2차 생장 발생률(2차 발생률)은 Pro-Ca 처리구가 무처리보다 높은 경향이 있었다. 이러한 현상은 2005년에 수고 상단부(수고 2m 이상) 조사에서도 유사하게 나타났다. 그러나 Pro-Ca 300mg・L-1 처리구의 신초생장 억제효과는 Pro-Ca 200mg・L-1 처리구 및 2회 처리구(Pro-Ca 150 + 150mg・L-1, Pro-Ca 200 + 100mg・L-1)와 유의한 차이가 없었다(Table 1). 이는 신초생장을 보다 강하게 억제하고자 하면 150mg・L-1 이하의 농도로 2회 살포하는 것보다는 300mg・L-1 농도로 1회 처리하는 것이 바람직하였다는 보고(Yoon and Sagong, 2005)와는 달랐다. 2005년 Pro-Ca 300mg・L-1 처리구의 생장억제 효과가 생각보다 낮았던 것(Table 1)은 앞선 보고(Yoon and Sagong, 2005)는 3년생 유목을 대상으로 하였던 반면, 본 시험은 도장지가 많이 발생하는 8년생 성목 상단부를 대상으로 하여 300mg・L-1의 살포농도가 수세에 비해 상대적으로 낮았기 때문으로 추정되었다. 따라서 2006년과 2010년에는 수세가 강한 성목의 신초생장을 더욱 강하게 억제시키고자 Pro-Ca의 살포농도를 400mg・L-1까지 높였다.
2006년과 2010년 수고 2m 이하의 평균 신초장은 2년 모두 무처리에 비해 Pro-Ca 처리구가 감소하였으나, 2006년도는 Pro-Ca 200mg・L-1 처리구만이 무처리에 비해 유의한 차이가 있었다(Table 1). 2차 발생률은 2년 모두 Pro-Ca 400mg・L-1 처리구가 가장 높았고, Pro-Ca 200mg・L-1 처리구는 무처리구와 차이가 없었다.
Pro-Ca 처리에 따른 사과나무의 신초 내 GAs 함량 변화를 조사하기 위하여 2004년에 Pro-Ca을 150, 200, 250, 300 mg・L-1 농도로 처리한 후 처리 2주 후와 4주 후에 정단신초를 채취해 GA1 함량을 조사하였다. 그 결과 Pro-Ca 살포 농도가 높을수록 GA1 함량은 감소하다가 처리 4주 후에 회복되는 결과를 보인 바 있다(자료 미제시).
이러한 2004년 정단신초 내 GA1 함량 결과를 미루어 보아, 본 시험에서 Pro-Ca 처리구의 2차 발생률이 무처리보다 높았던 것(Fig. 1 and Table 1)은 Pro-Ca를 살포하면 생리적으로 비활성을 나타내는 GA20에서 고도로 생리적 활성이 뛰어난 GA1으로의 전환과정을 차단하면서 세포신장을 감소시켜 처리 후 3-4주 동안 신초생장을 억제하지만(Evans et al., 1997; 1999; Rademacher, 1995; Schupp et al., 2003), 그 이후에는 Pro-Ca의 GA 합성 억제효과가 떨어지고 생장에 적합한 환경에 놓이게 되면 일단 생장을 멈추었던 신초가 다시 자람을 시작하였기 때문으로 생각되었다(Basak and Rademacher, 2000; Elfving et al., 2002; Medjdoub et al., 2004; Winkler, 1997; Yoon and Sagong, 2005). 또한, 2006년과 2010년 Pro-Ca 처리 간에 평균 신초장의 차이가 없었던 것은 Pro-Ca의 처리농도가 높을수록 2차 생장 정도가 심해졌다는 보고(Yoon and Sagong, 2005)처럼, Pro-Ca 400mg・L-1 처리구의 2차 발생률이 Pro-Ca 200mg・L-1 처리구보다 높았기 때문으로 생각되었다(Table 1). 즉, 유목기에는 Pro-Ca의 1회 살포농도가 높을수록 최종 신초생장 억제효과가 높아지는 경향이 있었으나(Yoon and Sagong, 2005), 성목기에는 Pro-Ca의 1회 살포농도가 300mg・L-1 이상으로 높아지면 신초의 2차 생장이 왕성해져 최종 신초생장 억제효과가 Pro-Ca 200mg・L-1 1회 처리구와 비슷해졌다(Table 1).
과실품질
2003년과 2005년 과중은 처리 간에 일정한 경향이 없었고, 과실품질은 차이가 없었다. 그러나 2006년과 2010년 과중은 Pro-Ca 400mg・L-1 처리구만 무처리구보다 낮았다. 가용성 고형물 함량은 2006년과 2010년 모두 Pro-Ca 200mg・L-1 처리구만 무처리구보다 높았고, 산 함량은 2006년만 Pro-Ca 처리구들이 무처리보다 유의하게 높았다. 착색 정도는 2006년과 2010년 모두 Pro-Ca 처리구들이 무처리구보다 유의하게 높았다(Table 2).
Pro-Ca 처리는 과중 및 품질에 영향을 미치지 않는다는 보고(Awad and Jager, 2002; Byers and Yoder, 1999; Guak, 2013; Mayr and Schröder, 2002; Privè et al., 2004)가 있는가 하면 과중 및 가용성 고형물 함량이 감소되었다는 보고(Basak and Rademacher, 2000; Greene, 2008; McArtney et al., 2006; Medjdoub et al., 2004; Schupp et al., 2003) 혹은 착색 및 가용성 고형물 함량이 증진되었다는 보고(Costa et al., 2004; Evans et al., 1997; Greene, 1999)도 있다. 본 시험에서는 2003년과 2005년의 경우 Pro-Ca 처리구들의 과실품질은 무처리와 차이가 없었지만, 2006년과 2010년에는 Pro-Ca 400 mg・L-1 처리구의 과중은 무처리보다 감소되었고, Pro-Ca 처리구의 가용성 고형물 함량과 착색 정도는 무처리보다 증가되는 경향이 있었다(Table 2).
과실비대에 영향을 주는 GAs 중에서 가장 중요한 역할을 하는 것은 GA1과 GA4이다(Tromp, 2005). 이에 본 시험에서는 2006년에 Pro-Ca 살포 11일 후(5월 초) 과실 내 GA1과 GA4 함량을 조사해 본 결과, Pro-Ca 살포 농도가 높을수록 GA1과 GA4 함량이 낮아지는 경향이 있었고(자료 미제시), 이는 양배추에 Pro-Ca을 400mg・L-1 농도로 처리했을 때 처리 5일 후 잎 내 GA1 및 GA4 함량이 무처리구보다 현저하게 감소되었다는 보고(Kang et al., 2010)와 동일하였다. 한편 가지가 2차 생장을 하면 나무 전체의 절대 광합성량은 많아지지만, 이들의 생장을 위한 동화산물의 소비도 그만큼 많아져서 과실의 생장에 필요한 탄수화물이 부족해지거나 분배가 지연되어 과실의 발육이 나쁘고 숙기가 지연되는 등 역효과를 가져온다고 알려져 있다(Kim et al., 2006). 본 시험에서도 Pro-Ca 400mg・L-1 처리구의 2차 발생률은 무처리보다 유의하게 높았고, 과중은 반대로 무처리보다 적었다(Tables 1 and 2).
따라서 본 시험에서 Pro-Ca 400mg・L-1 처리구의 과중이 무처리구보다 낮아졌던 것(Table 2)은 Pro-Ca 처리에 따른 신초의 2차 생장(Table 1)에 의해 과실로 전류될 동화산물이 2차 생장부위로 전류되었기 때문(Kim et al., 2006)이거나 혹은 과실의 세포분열 및 신장에 영향을 주는 수정된 배주의 GA 합성(Tromp, 2005)을 Pro-Ca이 직접적으로 억제하였기 때문으로 추정되었다(Greene, 1999; 2008).
한편, Pro-Ca 처리에 의한 착색 증진 효과가 2006년과 2010년에만 발생했던 것(Table 2)은 재식밀도가 높을수록 수관이 복잡해져 수관 내 광투과율이 감소된다는 보고(Eccher and Granelli, 2006; Granger et al., 1986)를 미루어 보아, 2003년에는 재식거리가 4.0 × 1.5m이고, 2005년에는 광 환경이 좋은 수관 상단부를 대상으로 하여 대조구의 착색 정도가 16.9-17.9(hunter a value) 정도였던 반면, 2006년과 2010년의 재식밀도는 3.2-3.5 × 1.2-1.5m로, 대조구의 착색 정도가 14.9-15.4(hunter a value) 정도로 낮았기 때문에 Pro-Ca에 의한 생장 억제효과가 착색 증진으로 이어진 것으로 생각되었다(Tables 1 and 2). 또한, 앞선 보고(Yoon and Sagong, 2005)에서 Pro-Ca 처리에 따른 착색 증진 효과가 없었던 것은 시험재료가 3년생 유목으로 시험 당시 시험수들의 수폭이 서로 겹칠 정도로 수관이 완성되지 않았기 때문인 것으로 추정되었다.
잎의 SPAD값과 광합성속도
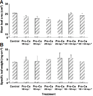
2003년 7월경 Pro-Ca 처리구들의 평균 엽면적은 21.8- 24.1cm2 범위로 무처리의 25.4cm2보다 작은 경향이 있었고(Fig. 2A), 비엽중(specific leaf weight)은 Pro-Ca 처리가 8.8-9.1mg・cm-2 범위로 무처리의 8.7mg・cm-2보다 높은 경향이 있었다(Fig. 2B).
2010년 7월경 과대지 중간 잎의 녹색 정도와 광합성속도는 Pro-Ca 처리구가 무처리보다 높은 경향이 있었고, Pro-Ca 400mg・L-1 처리구가 가장 높았다. 기공전도도와 증산속도 역시 Pro-Ca 400mg・L-1 처리구가 가장 높았다(Table 3).
본 시험의 결과(Fig. 2 and Table 3)와 같이 Yoon and Sagong (2005)과 Lee et al.(2010)은 Pro-Ca를 살포하면,잎의 면적은 무처리보다 적어졌지만 잎의 두께와 엽록소 함량은 반대로 높아져 Pro-Ca 처리구의 광합성능력이 무처리구보다 높아졌을 것이라고 추정하였고, Guak et al.(2001)은 잎의 면적은 Pro-Ca에 영향을 받지 않지만, 125-250mg・L-1 범위에서 비엽중은 살포농도가 높을수록 증가한다고 하였다. 또한, Glenn and Miller(2005)는 유목기 사과나무에 Pro-Ca을 450 mg・L-1 농도로 살포하면 수관 전체 잎의 면적은 줄어들었으나 수관 전체의 광합성량은 감소된 잎의 면적에 영향을 받지 않았다고 하였는데, 이 역시 Pro-Ca에 의해 개별 잎의 광합성능력이 증가하였기 때문으로 생각된다.
따라서 본 시험에서 Pro-Ca 처리구의 가용성 고형물 함량 및 착색이 무처리구보다 높은 경향이 있었던 것(Table 2)은 Pro-Ca 처리에 의해 신초생장이 억제되면서(Table 1), 수관 내 광 투과율이 높아지고(Glenn and Miller, 2005; Privè et al., 2004), 비엽중이 증가되어(Fig. 2B), 광합성속도가 증가하였기 때문(Table 3)으로 생각되었다. 또한 2006년과 2010년에 Pro-Ca 200mg・L-1 처리구의 과중이 무처리와 차이가 없었던 것(Table 2)은 Pro-Ca에 의해 활성 GA의 합성이 억제되어 신초생장 억제뿐 아니라 유과기 과실비대도 무처리에 비해 떨어져 있다가 신초생장이 조기에 정지되어 과실로의 동화양분전류가 개선되면서(Tables 1, 2, and 3), 생육 후기 과실비대가 촉진되었기 때문으로 판단되었다(Yoon and Sagong, 2005).
이상의 결과 및 보고를 종합해보면, 유목기 ‘후지’/M.9의 경우 Pro-Ca의 살포농도가 높을수록 신초생장 및 과중이 감소되었으나, 신초생장 억제에 따른 가용성 고형물 함량 및 착색의 증가는 없었고, 신초생장을 강하게 억제하고자 하면 낮은 농도로 나누어 살포하는 것보다는 살포농도를 300mg・L-1로 높게 1회 살포하는 것이 바람직하였다(Yoon and Sagong, 2005). 그러나 성목기에는 Pro-Ca의 살포농도가 1회 살포 시에는 150mg・L-1 이상, 2회 살포 시에는 누적 살포량이 250mg・L-1 이상이 되면 신초생장 억제효과가 나타났으며, 2차 발생률은 살포 농도 및 횟수에 상관없이 Pro-Ca 처리구가 무처리보다 높았고, Pro-Ca을 400mg・L-1의 농도로 살포하면 2차 발생률이 높아져 최종적 신초억제 효과는 Pro-Ca 200mg・L-1와 비슷해졌다(Table 1). 한편, Pro-Ca 처리에 따른 성목기의 과실품질은 재식밀도에 따라 달랐는데, 재식밀도가 높을수록 Pro-Ca에 의한 신초생장 억제효과가 광 환경 개선 효과로 이어지면서 가용성 고형물 함량 및 착색이 증진되었으나, 처리농도가 400mg・L-1이 되면 과중이 감소되었다(Table 2). 따라서, Pro-Ca의 살포농도 및 방법은 여러 가지 조건(기상환경, 재식밀도, 수세, 수령 등)을 신중하게 검토한 뒤에 결정해야 한다고 판단되었다.




