Introduction
Materials and Methods
Fruit Sampling and Preparation of Fruit Extracts
Measurement of Fruit Hardness and Moisture Content
Analysis of Sugars and Organic Acids
Analysis of Phytochemicals
Statistical Analysis
Results and Discussion
Introduction
Strawberry (Fragaria × ananassa Duch.) fruits are consumed in large quantities worldwide, either fresh or in processed forms, including fruit juices, jams, ice creams, milkshakes and yogurts. In South Korea, strawberries are chiefly consumed as dessert, as a digestive aid. Annual production revenues reached 1.3 billion U.S. dollars in South Korea in 2013, indicating that strawberries are one of the most profitable horticultural crops. Recently, South Korean strawberries have begun to be exported to Hong Kong, Singapore, Taiwan, Japan, and Russia, and the ‘Daewang’ variety, developed in Korea several years ago, is now grown in Brazil. The area used for growing the ‘Seolhyang’ cultivar in Korea accounts for more than 85% of the total strawberry acreage. While the cultivar ‘Maehyang’ is largely exported, the cultivars ‘Daewang’ and ‘Ssanta’ have only recently been developed and are currently being distributed to Korean farmers. In 2013, strawberry export revenues totaled 33 million U.S. dollars, the majority of which came from fresh fruit exports. Therefore, the characteristics of the fruit are important factors that influence consumer purchases. Consumers commonly prefer certain fruit characteristics, such as good morphological shape, high concentrations of functional phytochemicals, and sweetness. Fruit hardness is also an important characteristic for lengthening the sale period (Kohyama et al., 2013).
The consumption of fruits and vegetables is associated with reduced rates of cancer, cardiovascular, and neurodegenerative disorders, which are caused by oxidative stress resulting from multiple environmental factors (Halliwell, 1994). Strawberries are reported to have antioxidant, anticancer, and anti-neurodegenerative properties (Hannum, 2004). In addition, the attractive red color of the strawberry is due to high levels of anthocyanin, up to 200 to 600 mg·kg-1 per strawberry in fresh fruits (Cao et al., 2011) and phenolic compounds such as anthocyanins are recognized as having health benefits (Seeram et al., 2006). The ratio of sugar to organic acid is an important factor in determining the flavor and sweetness of the fruit. Variation in the sugars and organic acid content has been reported to depend on the genotype, fruit maturation, and growth conditions of the fruit (Mahmood et al., 2012).
Importantly, there have been no studies comparing the characteristics of the fruit for each strawberry genotype hydroponically cultivated using the high-bench bed system which is drastically increasing among Korean strawberry cultivation methods. The present study compared the characteristics of four strawberry cultivars in terms of hardness, phenolic compound, anthocyanin levels, sugars, and organic acid content.
Materials and Methods
Fruit Sampling and Preparation of Fruit Extracts
This study was carried out at the Protected Horticulture Research Institute, located in Busan, Republic of Korea in 2013. Four strawberry cultivars were used; ‘Daewang’, ‘Maehyang’, ‘Seolhyang’, and ‘Ssanta’. Four each cultivar, 120 plants with bare roots were placed 10 m long high-bench beds within a greenhouse and hydroponically grown using drip irrigation with EC concentrations such as 0.6 dS∙m-1 (initial planting period), 0.9 (budding period), and 1.2 (after blooming period) by using PBG nutrient solution from the Netherlands. The air temperature in the greenhouse was kept above 8°C by supplemental heating. After the strawberry fruits of the second flower cluster were fully mature, the fruits of all 120 plants per cultivar were harvested three times during a single week in February 2013 to provide of three repeats for analysis. These samples were used to measure the hardness of the fruit and for the analysis of sugar, organic acid, and phytochemicals content. For characterization, one kilogram of fruit from each cultivar sample was homogenized, and then a 50 g aliquot was centrifuged at 16,000 g for 30 min at 4°C (64R Centrifuge, Beckman Coulter Inc., CA, USA). The supernatant was then filtered through No. 2 Whatman filter paper and immediately frozen for storage at -70°C.
The open panel test of the morphological characteristics of the strawberry cultivars was conducted to targeting our institute staffs
Measurement of Fruit Hardness and Moisture Content
The hardness of the fully mature fruit was measured with a fruit hardness tester (FHM-1, Takemura Electric Ltd., Tokyo, Japan). To measure the moisture content, fresh fruits were weighed before being dried in an oven at 70°C for 72 h and reweighted. The moisture content of the fruit was determined by subtracting the dry weight from the fresh weight and calculating this as a percentage of the fresh weight.
Analysis of Sugars and Organic Acids
The homogenized mixtures were filtered through a 0.45 μm syringe filter (Thermo Scientific, MA, USA) and the sugar content was measured. Briefly, diluted extracts were analyzed by HPLC (YL9100, Younglin Co., Anyang, Korea) using a Sugar-Pak (4.6 mm × 250 mm, Supelco, PA, USA) column and RI detector. The separation was conducted at 30°C in the mobile phase of the acetonitrile:water (75:25, v/v) mixture at a flow rate of 1 mL·min-1. The sugars were identified by comparing their retention times to known compounds in a reference solution. The most common carbohydrates, such as fructose, glucose, and sucrose, were quantitatively assayed. The carbohydrate contents of the fruit extracts were calculated by comparison with the known quantities in the reference solution.
Analysis of the organic acids in the fruit extracts was conducted using an ion chromatography system (ICS 5000, Dionex, CA, USA) equipped with an Ion-Pac column (9 mm × 250 mm ICE-AS6, Dionex, NY, USA) and a suppressor (AMMS ICE300, Dionex, NY, USA). Heptaflurobutyric acid (0.4 mM) was used as the mobile phase solvent and the flow rate was adjusted to 1 mL·min-1. Tetrabutyl ammonium hydroxide (5.0 mM) and 5.0 psi of N2 were used as the anion self-regenerating suppressor mixture in recycle mode to reduce the eluent background conductivity. Each acid was identified by comparing its chromatogram to those of the standards. The total organic acid content was calculated by combining the respective amounts of each of the three principal acids in the strawberry fruit extracts; citric, malic, and acetic acid.
Analysis of Phytochemicals
Total phenol compounds present in the fruit extracts were measured according to Slinkard and Singleton (1977) using gallic acid equivalents as the standard. Briefly, 50% Folin-Ciocalteu reagent and Na2CO3 (20%) were added to the extract aliquots sequentially, and the mixture was incubated at 37°C for 45 min. After completion of the reaction, the absorbance of the reaction mixtures was measured using a spectrophotometer, a wavelength of 750 nm, using the reagent as a blank. The content of anthocyanins in the fruit extracts was determined according to Kim et al. (2011) using pelargonidin-3-glucoside as the standard. After the extracts were pretreated with methanol and 1% hydrochloric acid, absorbance of the test solutions at a wavelength of 530 nm was measured using a spectrophotometer. A standard curve was generated using known concentrations of pelargonidin-3-glucoside.
Statistical Analysis
Measurement of the phytochemicals in the fruit extracts was repeated three times. The data obtained from the analyses were statistically analyzed by ANOVA using SAS software (SAS Institute Inc., NC, USA). Values of p < 0.05 were regarded as significant.
Results and Discussion
Data for the morphological characteristics of the four strawberry cultivars are shown in Fig. 1. The ‘Maehyang’ and ‘Daewang’ fruit had elongated and less elongated fusiform shapes respectively, while the ‘Seolhyang’ and ‘Ssanta’ were chubby and shorter in length. All of the fruits in the study had a conical shape except for ‘Ssanta’. When examining the cut surface of the fruit, the red-colored pulp area of ‘Maehyang’, ‘Seolhyang’, and ‘Ssanta’ was larger than that in ‘Daewang’ (Fig. 1). Most of the open panel test staffs preferred the shape of the ‘Daewang’ variety (data not shown).
| |
Fig. 1. A photograph comparing the shape of fruits from four strawberry cultivars. (A) Daewang, (B) Maehyang, (C) Seolhyang, (D) Ssanta. | |
Fruit hardness is a critical characteristic and is important for long-term storage. When we compared the fruit hardness of the four cultivars, ‘Daewang’, ‘Maehyang’ and ‘Ssanta’ were similar in their degree of hardness (Fig. 2). The ripe fruits of these cultivars showed a sufficiently high hardness to resist damage when handled. In contrast, ‘Seolhyang’ had relatively low fruit hardness and the fruit was easily damaged when touched, as indicated by exuding of pulp moisture onto the fruit surface. The decreased hardness of the ‘Seolhyang’ fruit might be due to its high moisture content, which was at least 92% of the fresh weight. Indeed, fruit hardness and moisture content appear to have a negative relationship (Fig. 2). This result is in agreement with Balakrishnan et al. (2011), who indicated that the hardness of cardamom decreased linearly an increase in moisture content.
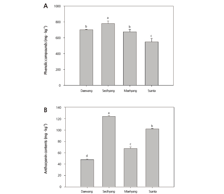
Plant growth is adversely affected by reactive oxygen species (ROS) that are generated in response to external factors, such as UV light and heavy metals (Diáz et al., 2001). During stress, plants can synthesize antioxidants including phenolic compounds (Michalak, 2006), which provide an effective defense against ROS in plants and can reduce diseases in humans (Seeram et al., 2006; Verstraeten et al., 2003). Therefore, we compared the amount of phenolic compounds in each of four cultivars (Fig. 3) and found that ‘Seolhyang’ contained the highest amount of phenolic compounds, whereas ‘Ssanta’ had the least.
The sugar content measured in the fruits from the four strawberry cultivars is shown in Table 1. ‘Maehyang’ had the highest amount of sucrose and total sugars compared to the other varieties. ‘Seolhyang’ had a particularly high level of glucose and fructose but the lowest amount of sucrose compared to the other cultivars. For all of the cultivars except for ‘Seolhyang’, the amount of sucrose was higher than each of the other sugars. In the ‘Daewang’ and ‘Maehyang’ varieties, more than 50% of the total sugar amount was sucrose, whereas in ‘Seolhyang’ sucrose comprised less than 30% of the total sugars (Table 1 and Fig. 4). Strawberry cultivars commonly grown in Europe have been reported to have substantially higher levels of fructose and glucose than sucrose (Kallio et al., 2000). Blackberry fruits have also been reported to contain 10 times more fructose than sucrose (Kafkas et al., 2006), indicating that there are significant differences between the sugars generated in strawberries versus blackberries.
Table 2 shows the concentrations of organic acids measured in the fruit of the four strawberry cultivars. ‘Seolhyang’ and ‘Maehyang’ were found to contain significantly higher total acid amounts compared to ‘Daewang’ and ‘Ssanta’. For all of the strawberry cultivars tested, the amount of citric acid was by far highest of the organic acids, accounting for more than 70% of the total organic acids in the fruit (Table 2 and Fig. 4). European strawberry varieties also contain high levels of citric acid and malic acid. The levels of citric acid have been shown to be high in the ‘Honeoye’, ‘Korona’, ‘Polka’, and ‘Senga’ of European cultivars as well as in the ‘Flamenco’ and ‘Goha’ Korean cultivars (Kallio et al., 2000; Ruan et al., 2013).
The ratio of sugars to acids contributes to the unique flavor of the strawberry. When the sugar content is low and the acid content high, the fruit tastes sour; conversely when the ratio of sugar to acid is high because of acid degradation, the fruit tastes sweet. Figure 5 shows the ratio of total sugar to total acid for each of the strawberry cultivars tested. ‘Daewang’ and ‘Maehyang’ showed relatively high ratios compared to the other cultivars whereas ‘Seolhyang’ had the lowest value. Based on these observations, we expect that ‘Daewang’ and ‘Maehyang’ would have the sweetest flavor to consumers.
In summary, the present study focused on the analysis of various characteristics of strawberries including their content of phytochemicals, anthocyanins, sugars, and organic acids across four cultivars common to South Korea. ‘Seolhyang’ fruit contained the greatest concentration of naturally occurring phenolic compounds and anthocyanins, but this cultivar had the lowest sugar contents compared to the other cultivars tested. In general, the percentage of sucrose was greatest among the sugars examined. The predominant organic acid in the fruit was citric acid for all of the cultivars tested. ‘Daewang’ and ‘Maehyang’ had the highest sugar:acid ratio and are expected to be preferred by consumers.









