서 언
재료 및 방법
실험재료
외생 에틸렌 처리 및 온도 처리
과실 품질 분석
결 과
외생 에틸렌 처리 후 저장 온도에 따른 A. deliciosa ‘감록’, ‘헤이워드’의 품질 변화
외생 에틸렌 처리 후 저장 온도에 따른 A. chinensis ‘골드원’, ‘제시골드’의 품질 변화
고 찰
서 언
호흡급등형(Climacteric) 과실은 외생 에틸렌(ethylene) 처리로 후숙이 유도되어 대부분의 과실들은 착색 증진, 경도 저하, 향기 증진 등 긍정적인 품질 변화를 일으키기도 하지만(Prasanna et al., 2007; Lim et al., 2017), 과숙, 부패 촉진 등 부정적인 품질 변화를 가져오기도 한다(Stern et al., 1994; Yamaguchi et al., 1997; Scriven et al., 1989). 이전의 많은 연구에서 키위프루트 과실의 외생 에틸렌 처리는 소비자가 바로 먹을 수 있게 기호도를 높여주고 출하 상품의 균일한 후숙을 위하여 출하 전 처리의 필요성이 보고되었다(Ritenour et al., 1999; Saltveit, 1999; Jabbar and East, 2016; Lim et al., 2017).
수확 후의 저장 온도는 키위프루트 과실의 저장 기간 중 다양한 생화학적 변화와 물리적 변화에 큰 영향을 미친다(Ritenour et al., 1999; Antunes et al., 2000; Antunes and Sfakiotakis, 2000; Murakami et al., 2014; Asiche et al., 2017). 키위프루트에서도 과실 후숙과 온도의 관계에 대해 다양한 연구가 이루어졌으며, 실험 방법과 품종에 따른 다양한 결과가 보고되어 있다(Ritenour et al., 1999; Antunes et al., 2000; Antunes and Sfakiotakis, 2002; Mworia et al., 2012; Asiche et al., 2017). 키위프루트 과실의 장기저장을 위해서는 0∼4°C 범위의 저온이 가장 효과적이라 알려져 있지만(Arpaia et al., 1987; Pranamornkith et al., 2012; Asiche et al., 2017), 과실 후숙을 위해 외생 에틸렌을 처리할 경우 저온(0~2°C)은 과실에 장해를 일으킬 수 있다고 하였다(Jabbar and East, 2016). Antunes et al.(2000)은 에틸렌 유사 물질인 프로필렌(propylene)을 처리한 ‘헤이워드’ 과실의 경우 10°C 이하 온도에서는 호흡과 내생 에틸렌 증가가 이루어지지 않았다고 보고하였다. 한편, 일정 범위의 저온은 과실 후숙을 촉진한다는 결과가 있었는데, 단기간 4°C에 저장 후 외생 에틸렌을 처리한 ‘홍양’ 과실은 25°C에 계속 저장한 과실보다 빠르게 후숙 되었다(Arpaia et al. 1987; Marsh et al. 2004; Murakami et al., 2014). ‘헤이워드’, ‘사누키골드’, ‘레인보우레드’ 3가지 품종의 후숙에 저장 온도가 미치는 영향을 알아본 실험에서도 5~10°C 사이의 온도에서 과실 후숙이 유도되는 현상이 3가지 품종 모두에서 확인되었다(Asiche et al., 2017).
이전의 키위프루트 과실 후숙과 온도 관계에 대한 연구들은 대부분 단순히 후숙에 온도가 미치는 영향을, 그리고 외생 에틸렌 처리 전 또는 처리 시 온도가 과실 후숙에 미치는 영향에 대한 연구가 대부분이었다(Antunes et al., 2000; Marsh et al., 2004; Murakami et al., 2011; Pranamornkith et al., 2012; Murakami et al., 2014; Asiche et al., 2017). 하지만 고품질의 후숙과를 유통하기 위해서는 외생 에틸렌 처리 후 저장 온도에 따라 과실의 식미 가치가 극대화되는 시기를 결정할 필요가 있다. 따라서 본 실험에서는 외생 에틸렌 처리 후 저장 온도에 따른 키위프루트 과실의 후숙 특성을 조사하였다.
재료 및 방법
실험재료
실험은 2015년에는 Actinidia deliciosa ‘감록(Garmrok)’, ‘헤이워드(Hayward)’ 과실을, 2016년에는 A. chinensis ‘골드원(Goldone)’, ‘제시골드(Jecy Gold)’ 등 총 4품종을 이용하였다. 과실은 경남 사천시 소재 과원에서 수확하여 사용하였다. ‘감록’, ‘헤이워드’ 과실은 11월 4일에 수확하였고 ‘골드원’, ‘제시골드’ 과실은 10월 31일 수확하여 건전한 과실만 선별하여 사용하였다.
외생 에틸렌 처리 및 온도 처리
외생 에틸렌 처리는 이전의 실험 결과를 바탕으로 ‘감록’, ‘헤이워드’ 과실은 1,000µL·L-1 농도로, ‘골드원’, ‘제시골드’ 과실은 100µL·L-1 농도로 품종 별로 밀폐용기에 넣어 20°C에서 24시간 처리하였다. 외생 에틸렌을 처리한 뒤 과실은 5, 15, 20°C의 3가지 온도로 설정한 저온 챔버(HB-103-LP Hanbaek science, Korea)에 저장하며 과실의 품질 변화를 조사하였다.
과실 품질 분석
과실 품질 변화 조사는 가용성 고형물 및 산 함량, 경도, 호흡률, 에틸렌 발생량, 감모율을 조사하였다. 가용성 고형물 함량은 10개의 과실을 사용하여 cheese cloth로 감싸 착즙하여 과즙을 디지털 굴절당도계(Pocket Refractometer, PAL-1, Atago, Japan)를 사용하여 측정하였다. 산함량은 과즙 5mL에 증류수 35mL을 혼합하여 0.1N NaOH를 사용하여 pH 8.3까지 중화 적정 후에 구연산으로 환산하였고, 과실은 총 9개를 3개씩 3반복으로 측정하였다.
경도는 10개의 과실을 대상으로 2cm 두께로 횡단면을 잘라낸 후 경도계(RHEO TEX SD-700, Sun Scientific Inc., Japan)를 이용하여 8mm 원형 probe로 깊이 3mm로 과육 2회, 과심 1회를 측정하였고, 최대하중을 Newton(N) 값으로 환산하여 표기하였다.
과실의 호흡률과 에틸렌 발생량은 각 처리별 과실을 680mL 폴리프로플렌 밀폐용기(HPLC851, Locknlock, China)에 넣어 4시간 동안 밀폐시킨 후 상단부에서 가스 표본 1mL을 시험구당 3반복으로 포집한 다음 분석하였다. 에틸렌 가스 분석은 FID가 장착된 gas chromatograph(GC 7890B, Agilent Technologies, USA)를 사용하여 oven 100°C, front inlet 100°C, back inlet 375°C, front det 200°C, back det 150°C로 설정하여 측정하였다. 호흡률 측정을 위한 O2와 CO2 측정은 TCD를 장착한 gas chromatograph(GC 6890, Agilent Technologies, USA)를 이용하여 oven 100°C, front inlet 100°C, back inlet 375°C, front det 150°C, back det 150°C로 설정하여 측정하였다.
감모율은 각 온도별 10개의 과실을 전자저울(MW-1, CAS, Korea)을 이용하여 측정하고 수확 시 측정한 무게와 저장 후 측정한 무게의 차이를 백분율로 나타내었다.
결 과
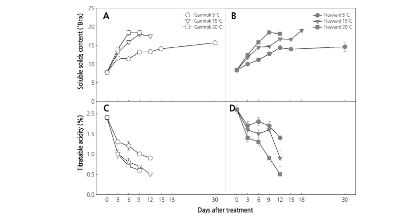
외생 에틸렌 처리 후 저장 온도에 따른 A. deliciosa ‘감록’, ‘헤이워드’의 품질 변화
두 품종의 가용성 고형물 함량은 저장온도가 높을수록 빠르게 증가하였다(Fig. 1A, B). 외생 에틸렌 처리 후 15와 20°C에 저장한 ‘감록’ 과실은 각각 처리 후 6일과 9일에 가용성 고형물 함량이 18°Brix 이상으로 증가하였지만 5°C 저장한 과실의 경우 마지막 조사일까지 15.7°Brix로 15와 20°C에 저장한 과실보다 낮았다. ‘헤이워드’의 경우 ‘감록’보다 전반적으로 가용성 고형물 함량이 낮았으며, 같은 저장 온도에서 ‘감록’ 과실보다 고형물 함량이 늦게 증가하였다. ‘헤이워드’ 역시 15와 20°C의 과실은 두 저장 온도 모두 각각 저장 9일째와 8일째에 고형물 함량이 14°Brix 이상으로 관찰되었으나 5°C 저장 과실의 고형물 함량은 저장 12일째 11.5°Brix까지 증가한 후 저장 30일까지 유지되었다.
과실의 산함량 변화는 가용성 고형물 함량이 증가하는 순으로 감소하였다(Fig. 1C, D). 외생 에틸렌 처리 후 15와 20°C에 저장한 ‘감록’ 과실은 처리 후 저장 3일째에, 5°C에 저장한 과실은 저장 9일째에 1% 이하로 감소하였다. ‘헤이워드’는 20°C에 저장한 과실의 경우 점차적으로 감소하여 저장 9일째에 0.9%, 15°C에 저장한 과실은 저장 12일째에 0.9%로 감소하였다. 5°C 저장 과실의 경우 저장 12일까지도 1.4% 이상으로 높은 산 함량을 보였다.
과실의 경도 변화를 보면, 전반적으로 ‘헤이워드’ 과실이 ‘감록’ 과실보다 높게 유지되었다(Fig. 2). ‘감록’ 과실의 경도 변화는 15와 20°C에 저장한 과실의 경우 처리 3일후에 수확 당일 경도와 비교할 때 과육은 80%, 과심은 75%로 급격하게 감소하였다. 5°C에 저장한 과실은 처리 후 30일에 과육은 6.7N으로 식용 가능한 경도(10N 이하, 8mm diameter probe)에 도달하였지만 과심은 13.2N으로 먹기에는 아직 단단한 상태를 보였다. ‘헤이워드’ 과실의 경우 15와 20°C에 저장한 과실은 처리 후 3일까지 유사하게 감소하다가 20°C의 과실이 먼저 급격히 감소하여 9일째에 먹기에 좋도록 연화되었고, 15°C 저장 과실은 18일에 식용 가능한 경도에 도달하였다. 5°C 과실의 경우 과육과 과심 모두 마지막 30일까지 10N 이상으로 조사되어 조직이 단단한 상태를 유지하고 있었다.
‘감록’의 호흡률 변화는 5와 15°C에 저장한 과실은 서서히 증가한 다음 감소하였고, 20°C에 저장한 과실은 6일까지 완만한 증가를 보이다가(Fig. 3A, B) 9일째에 급격히 호흡이 증가하였다. 반면 ‘헤이워드’의 경우 3가지 온도 처리 모두 수확 당일과 유사한 수준으로 유지되었다.
에틸렌 발생은 ‘감록’의 경우 20°C에 저장한 과실은 처리 후 9일에 98.6µL·kg-1·h-1로 급증하였고, 15°C에 저장한 과실은 9.8µL·kg-1·h-1로 미미하지만 9일째에 약간 증가하였다(Fig. 3C). ‘헤이워드’ 역시 20°C에 저장한 과실에서 가장 먼저 에틸렌 발생량이 증가하는 현상이 관찰되었고(Fig. 3D), ‘감록’에 비하여 발생 시기가 늦었으며 발생량도 저장 12일에 26µL·kg-1·h-1로 상대적으로 낮았다.
과실의 감모율은 두 품종 모두 5°C에 저장한 과실은 마지막 30일까지 2% 이하로 조사되었다(자료 미제시). 반면 두 품종 모두 15, 20°C에 저장한 과실은 점차적으로 감모율이 증가하였으며, 두 품종 모두 15°C보다 20°C 저장한 과실이 조금 더 높은 감모율을 보였다.
‘감록’과 ‘헤이워드’ 과실에 대한 외생 에틸렌 처리 후 저장 온도에 따른 후숙 과정 중의 고형물 함량 및 산 함량, 경도, 그리고 과육색의 변화(Fig. 7)를 종합해 보면, 외생 에틸렌 1,000µL·L-1 처리 후 ‘감록’은 20°C 저장 시 3일째에, 15°C 저장 시 9일째에 식용 가능한 수준에 도달하였고, ‘헤이워드’는 20°C 저장 시 9일째에 식용 가능한 수준이 되었다. 외생 에틸렌 처리 후 5°C에 저장한 ‘감록’과 ‘헤이워드’ 과실은 30일까지 식용 가능한 수준에 도달하지 못하였다.
외생 에틸렌 처리 후 저장 온도에 따른 A. chinensis ‘골드원’, ‘제시골드’의 품질 변화
‘골드원’과 ‘제시골드’의 가용성 고형물 함량의 변화는 두 품종 모두 20°C에 저장한 과실에서 가장 빠르게 증가하였다(Fig. 4A, B). ‘골드원’의 경우 수확 당일 7.4°Brix에서 14.1°Brix까지 증가하였고, ‘제시골드’의 경우 수확 당일 7.4°Brix에서 12.2°Brix까지 증가하였다. 두 품종 모두 5°C에 저장한 과실은 처리 후 30일까지 15°C나 20°C에 저장한 과실과 비교하여 비교적 낮은 수준으로 조사되었다.
산함량의 변화는 ‘골드원’의 경우 처리 후 6일까지 모든 저장 온도에서 유사하게 감소하다가 9일 이후에는 온도에 따라 차이를 보여 20°C에 저장한 과실이 9일째에 0.8%까지 감소하였다(Fig. 4C, D). 하지만 5°C에 저장한 과실의 경우에는 30일까지도 1% 이상으로 산함량이 유지되었다. ‘제시골드’는 ‘골드원’보다 3일 늦은 9일째까지 모든 처리 온도에서 유사하게 감소하다가 12일째부터 15와 20°C, 두 온도의 과실만 급격히 감소하여 1% 미만으로 산함량이 감소하였다. 반면에 5°C에 저장한 ‘제시골드’ 과실은 30일까지 높은 산함량을 유지하였다.
과실의 경도 변화는 전반적으로 ‘골드원’이 ‘제시골드’에 비해서 저장 온도에 따른 차이가 뚜렷하였다(Fig. 5). ‘골드원’의 경우 20°C에 저장한 과실이 9일후에 과육, 과심 모두 식용 가능한 상태로 연화되었고, 이어 15°C에 저장한 과실은 12일후에 식용 가능한 수준에 도달하였다. 5°C에 저장한 과실의 경우는 30일후에 과육은 10N 이하로 연화가 되었지만 과심은 연화가 덜 진행되어 식용하기에 부적합하였다. 20°C에 저장한 ‘제시골드’ 과실의 경우 빠르게 연화되어 12일후에 식용 가능한 수준에 도달하였으며 5°C에 저장한 과실의 경우 ‘골드원’과 동일하게 30일후까지 비교적 높은 경도를 유지하였다.
과실의 호흡률 변화는 ‘골드원’의 경우 15, 20°C 두 온도에서는 12일후까지 계속 상승하였고, 5°C에 저장한 과실의 경우 6일까지 증가한 후 30일까지 감소하였다(Fig. 6A, B). ‘제시골드’의 경우는 처리 온도 간 차이가 크지 않았다.
에틸렌 발생량은 두 품종 모두 20°C에 저장한 과실에서 빠르게 증가하였고, 이후에 15°C 과실에서도 발생하였지만 5°C 과실에서는 에틸렌 발생량 증가가 관찰되지 않았다(Fig. 6C, D). ‘골드원’의 경우 20°C에서 저장한 과실은 9일후에 89.5µL·kg-1·h-1, 15°C에 저장한 과실은 12일째에 99.2µL·kg-1·h-1로 에틸렌 발생량이 측정되었다. ‘제시골드’의 경우 20°C에 저장한 과실은 12일후에 30.2µL·kg-1·h-1, 15°C에 저장한 과실은 15일후에 10.9µL·kg-1·h-1로 ‘골드원’에 비해 에틸렌 발생이 늦게 관찰되었고 발생량도 낮았다. 과실의 감모율은 두 품종 모두 15, 20°C에 저장한 과실에서 빠르게 증가하였으나 5°C에 저장한 과실은 처리 후 30일까지도 감모율이 1% 이하로 유지되었다(자료 미제시).
‘골드원’과 ‘제시골드’ 과실에 대한 외생에틸렌 처리 후 저장 온도에 따른 후숙 과정 중의 고형물 함량 및 산함량, 경도, 그리고 과육색의 변화(Fig. 8)를 종합해 보면, ‘골드원’은 외생 에틸렌 100µL·L-1 처리 후 20°C에서는 저장 9일째에, 15°C는 12일째에 식용 가능한 수준에 도달하였고, ‘제시골드’는 ‘골드원’에 비해 각각 3일씩 늦게 식용 가능한 수준에 도달하였다. 외생 에틸렌 처리 후 5°C에 저장한 ‘골드원’과 ‘제시골드’ 과실은 30일까지 식용 가능한 수준에 도달하지 못하였다.
고 찰
실험에 사용된 키위프루트 4품종 모두 저장 온도에 따른 가용성 고형물 함량은 저장 온도가 높을수록 빠르게 증가하였다. 에틸렌 유사물질인, 프로필렌을 처리한 ‘헤이워드’ 역시 20°C의 과실이 10°C 과실보다 높은 가용성 고형물 함량을 보였다(Antunes et al,. 2000). 반면 4°C와 25°C에 단기간 저장한 ‘홍양’ 과실에 외생 에틸렌을 처리한 실험에서는 4°C에 저장한 과실이 25°C 저장한 과실보다 빠르게 가용성 고형물 함량이 증가하였다(Murakami et al., 2014). Asiche et al.(2017)의 연구에 따르면, 외생 에틸렌을 처리하지 않은 ‘홍양’과 ‘헤이워드’는 본 연구결과와 유사하게 20°C에 저장한 과실이 가장 빠르게 가용성 고형물 함량이 증가하였다. 하지만 ‘사누키골드’ 과실은 5와 15°C에 저장한 과실이 20°C에 저장한 과실보다 가용성 고형물 함량이 빠르게 증가하였다.
과실의 산함량 역시 가용성 고형물 함량의 변화와 마찬가지로 저장 온도가 높을수록 빠르게 변화하였다. Antunes et al.(2000)의 연구에서도 10°C에 저장한 과실보다 20°C에서 저장한 과실에서 산함량이 낮았다. 외생 에틸렌 처리를 하지 않은, 즉 에틸렌 비의존성 후숙 시의 키위프루트는 20°C에 저장한 과실보다 5와 10C°의 온도로 저장한 과실이 빠르게 산함량이 감소한다고 보고되었으며(Asiche et al., 2017), ‘사누키골드’와 ‘홍양’에 대한 저온 저장 실험에서도 유사한 결과가 보고되었다(Murakami et al., 2014).
외생 에틸렌 처리 후 저장 온도에 따른 과실의 경도 변화는 4품종 모두 과육과 과심의 경도가 저장 온도가 높을수록 빠르게 감소하였다. 반면 에틸렌 처리를 하지 않은 경우는 A. chinensis ‘사누키골드’, ‘홍양’은 5, 10, 15°C에 저장한 과실이 0, 20°C에 저장한 과실보다 연화 속도가 빨랐고, 같은 조건에서의 ‘헤이워드’ 품종은 5, 10°C에서 저장한 과실이 0, 20°C에 저장한 과실보다 연화가 빨리 진행되었다(Asiche et al., 2017). 키위프루트의 후숙 시 발생하는 연화현상은 과실에 대한 에틸렌의 관여 유무에 따라 모두 진행되며, 에틸렌의 영향이 없는 경우는 품종별 저온처리 정도에 따라서 연화가 촉진되거나 지연될 수 있고, 이러한 온도별 감수성은 품종의 수확기 온도에 크게 의존하는 것으로 보고되었다(Asiche et al., 2017).
본 연구에서 에틸렌 처리 후 저장 온도에 따른 키위프루트의 에틸렌 발생은 A. deliciosa 종들은 20°C, A. chinensis 종은 15, 20°C 온도에서 에틸렌 발생이 증가한 것이 확인되었다. ‘헤이워드’ 품종을 이용한 이전의 연구에서도 에틸렌 유사물질을 과실에 처리하더라도 10°C 이하의 온도에서는 내생 에틸렌이 발생되지 않았고, 저온에서는 에틸렌 생합성과 관련하여 ACS와 ACO 등의 유전자 활성이 억제된다고 보고되었다(Antunes et al., 2000). 또한 본 실험에 사용된 A. deliciosa, A. chinensis 두 종 모두 5°C에 저장한 과실의 경우 내생 에틸렌 증가를 확인할 수 없었다. 5°C에 저장한 과실의 경우 15, 20°C에 저장한 과실보다 관련 유전자의 발현이 억제된 것으로 생각된다.
외생 에틸렌 처리 후 5°C에 저장 시 4품종 모두 30일까지 식용 가능한 수준에 도달하지 못하였다. 이상의 결과를 토대로 국내에서 육성된 키위프루트 품종에 대해 소비자 기호도가 높은 후숙 과실 생산 및 유통과정을 확립하고, 후숙 과실에 대한 신선도 유지를 위한 온도관리 방안에 대한 추가 연구가 필요할 것으로 판단된다.










