서 언
식물은 NH4+ 또는 NO3- 형태의 질소를 흡수하고 시비하는 질소의 종류에 따라 식물체 내 질소 축적, 양이온-음이온 균형 및 호흡작용(Bar-Tal et al., 2001; Matsmoto and Tamura, 1981)이 영향을 받는다. 유기질소나 요소의 형태로 시비될 경우 일부는 직접 흡수되고 일부는 토양 미생물에 의해 이온 상태로 변화된 후 식물 뿌리가 이온상태의 질소를 흡수한다. 또한 NO3-나 NH4+를 포함한 화학비료를 물에 용해시켜 관비하는 것은 토양에 이온상태의 질소를 직접 공급하는 방법이다(Lim, 2006).
Marschner (2012)는 식물이 흡수하는 총 양이온과 음이온의 약 80%는 NH4+ 또는 NO3- 의 질소 성분이며, 어떤 형태의 질소가 흡수되느냐에 따라 다른 양이온과 음이온의 흡수량의 차이, 세포내 pH의 변화, 근권부 pH의 변화 등이 유발되고, 결국 작물 생육에 미치는 영향이 달라진다고 하였다. 또한 NH4+ 형태의 질소만을 시비할 경우 식물에 해 작용이 발생하며 이를 ammonium toxicity(NH4+ 독성)이라고 표현하였다. Marschner (2012)는 NH4+ 독성이 발생하는 원인을 흡수과정의 길항작용에 의한 다른 양이온의 흡수량 저하, 양이온인 NH4+에 의해 유발된 세포 내?외의 pH 조절의 어려움, 유기질소로 전환되는 NH4+ 축적 과정에서 당의 과도한 소비 및 탄수화물의 공급 부족 등으로 설명하였다.
작물을 재배하면서 시비하는 총 질소 중 NH4+의 비율이 적절하면 식물생장을 촉진하여 지상부 생장량이 증가하지만, 앞에서 설명한 바와 같이 NH4+의 비율이 과도하게 높아지면 식물에서 독성 증상이 나타난다. 따라서 많은 재배농가에서는 안전한 NO3- 형태의 질소를 시비하려는 경향이 강하다(Britto and Kronzucker, 2002). 그러나 시비되는 N 비료 중 NH4+의 적절한 비율은 작물의 종류에 따라 다르고, 각 식물내에서도 품종에 따라 다르다B(ritto and Kronzucker, 2002; Roosta et al., 2009).
플러그 육묘는 육묘 후 지상부 생장 정도 또는 육묘 방법에 따라 다양한 규격의 플러그 트레이를 사용한다. 플러그 트레이의 미국 표준규격은 가로 56cm × 세로 28cm이며, 표준규격 내에서 18-800 셀을 갖도록 다양하게 제조되고, 숫자가 많을수록 개별 셀의 용적이 적어진다(Styer and Koranski, 1997). 플러그 트레이를 사용한 육묘에서 가장 큰 어려움은 노지 토양에 비해 양이온교환용량이 적은 혼합상토가 이용되며, 셀의 용적이 적어서 개별 식물체를 지주하는 상토의 양이 적고, 이러한 이유로 물리·화학적 완충력이 낮아지는 것이다. 물리?화학적 완충력이 낮을 경우 식물 생장이 시비되는 비료에 큰 영향을 받으며, 시비되는 질소의 NH4+:NO3- 비율에 대하여도 민감하게 반응한다(Garton and Widders, 1990; Styer and Koranski, 1997). 따라서 플러그 육묘용 상토는 NH4+의 비율을 낮추어야 하지만 국내에서는 NH4+ 또는 요소의 비율이 높은 상토가 유통되어 묘 생장이 저해되고, 육묘 농가와 상토 회사가 분쟁에 휘말리는 등 많은 사회적 문제가 유발되고 있다. 피해 발생에 관한 공식적인 통계 자료는 없지만 육묘장을 운영하는 농가들에게 잘 알려진 사실이며, 이는 국산 상토의 불신으로 연결되고 있다.
플러그 육묘에서 파종 또는 이식된 식물체의 초기 생장 촉진을 위해 상토에 일정량의 기비(pre-planting fertilizer)를 첨가하는 것은 반드시 필요하며(Nelson, 2003; Nelson et al., 1996), 기비로 혼합된 모든 필수원소 중 질소는 묘 생장에 가장 큰 영향을 미친다(Styer and Koranski, 1997). 따라서 기비로 혼합된 질소 중 NH4+와 NO3-의 비율 차이가 배추 플러그묘 생장에 미치는 영향을 구명하고 적절한 비율을 제시하기 위하여 본 연구를 수행하였다.
재료 및 방법
본 실험을 위해 코이어더스트:피트모스:펄라이트(3.5:3.5:3, v/v/v) 혼합 상토를 조제하였으며, 혼합 과정에서 기비를 첨가하였다. 상토를 조제한 후 Choi et al. (1997)의 방법을 따라 물리성을 측정한 결과 공극률, 용기용수량, 기상률 및 가비중이 각각 82.4%, 62.7%, 19.7%, 0.1g·cm-3였고, 상토가 보유한 수분 중 쉽게 이용할 수 있는 수분은 약 46%, 완충수는 약 36%였다 (Wallach et al., 1992).
필수원소의 공급 및 NH4+:NO3-의 비율을 조절하기 위해 기비로 혼합한 비료의 종류는 고토석회, Ca(NO3)2·4H2O, KH2PO4, KNO3, NH4Cl, CaCl2·2H2O, K2HPO4, K2SO4, MgSO4, (NH4)2SO4, NH4NO3, 미량원소복합제(6종류 미량원소 포함, Nutrichem Kombi-F, Belgium)였으며, 혼합량은 Table 1에 나타내었다. 기비로 혼합한 총 질소의 수준은 300mg·kg-1였고, NH4:NO3 비율을 100:0. 73:27, 50:50, 27:73, 0:100으로 조절한 5처리를 만들었다. 기비를 포함한 처리별 상토를 72구 플러그 트레이에 충전하고 ‘불암 3호’ 배추(흥농씨앗, 몬산토코리아㈜, 안성) 종자를 파종하여 실험을 진행하였다.
파종 후 28-29°C로 온도를 조절한 발아실에 치상하였고, 발아 후 유리 온실로 옮겨 재배하였다. 뿌리 생육이 시작된 10일 후부터 13-2-13 및 20-9-20(N-P2O5-K2O, Sunshine Technigro, USA)의 두 종류 비료를 7-10일 간격으로 교대로 추비하였다. 추비시 두 종류 비료는 N 기준 100mg·L-1으로 농도를 조절하여 두상살수 하였고, 추비 중간에 관수가 필요한 시점에는 지하수를 두상관수 하였다.
파종 2주와 4주 후에 플러그 묘 생육조사를 하였다. 3반복으로 만들어진 72공 플러그 트레이에서 무작위로 5개체씩 총 15개체의 식물체를 수확하여 조사하였으며, 조사 방법 및 항목은 Choi et al. (1997)의 방법에 준하였다. 근권부 화학성 변화를 분석하기 위해 육묘중인 묘의 근권부에서 1주일 간격으로 혼합상토를 채취한 후 풍건하였다. 풍건상토와 증류수를 1:10(w/w)의 비율로 혼합하여 반죽을 만들고 2시간 동안 실온에 치상하였고, 거즈로 짜서 용액을 채취하였다. 이 용액의 pH 및 EC를 측정하고 다량 및 미량원소 농도를 분석하였다. 식물체 무기물 함량 분석은 파종 4주 후에 수확한 지상부 식물체 전체를 대상으로 수행하였다. 0.5g의 시료를 삼각플라스크에 정량하고, 혼합분해액(100% H2SO4:60% HClO4:증류수, 1:9:5) 10mL를 첨가한 후 240°C에서 회화시켰다. 분해액을 100mL 메스플라스크에 여과한 후 여과용액의 무기원소 농도를 ICP로 분석하였다. 식물체 및 상토 분석 방법은 농촌진흥청 국립농업과학원 표준법(NIAST, 2000)에 준하였으며, 분석을 위한 ICP의 기종은 Intergra XL(GBC, Austrailia)였다.
NH4+:NO3- 시비 비율에 대한 식물의 생장 반응, 식물체 무기물 함량과 상토 분석결과는 Costat 프로그램(Monterey, California,USA)을 사용하여 p≤0.05 수준의 유의차 검정을 하였다. 또한 NH4+:NO3- 비율에 따른 식물의 생장 반응에 대하여 1차 및 2차항 회귀분석을 함으로써 경향을 파악하고자 하였다.
결과 및 고찰
상토 시료를 채취하여 pH와 EC를 1주일 간격으로 측정한 결과를 Fig. 1과 Fig. 2에 나타내었다. 파종 전 상토의 pH는 모든 처리에서 5.53-5.75 범위로 측정되었으며, 배추를 육묘하면서 시간이 경과함에 따라 모든 처리의 pH가 완만하게 상승하는 경향을 나타내었다. pH 상승은 기비로 혼합된 고토석회의 용해가 진행된 것이 원인이라고 판단하였다. Lee et al. (2010)도 pH 조절을 목적으로 피트모스가 혼합된 상토에 고토석회를 기비로 혼합할 경우 파종 4-5주 후 pH가 가장 높아졌다고 본 연구의 pH 상승 패턴과 유사한 보고를 한 바 있다. 그러나 NH4+의 비율이 높았던 처리에서 NO3-의 비율이 높았던 처리 보다 pH가 상대적으로 낮았던 것은 Marschner (2012)가 보고한 바와 같이 양이온인 NH4+가 흡수될 때 식물 세포로부터 동일한 수의 H+가 방출되어 근권부의 pH 상승을 억제하였기 때문이라고 판단하였다.
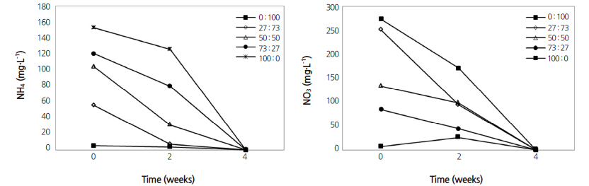
상토를 조제하고 배추 종자를 파종하기 전 측정한 EC는 NH4+:NO3-(0:100) 처리에서 3.44dS·m-1로 가장 낮았고, NH4+:NO3-(100:0) 처리에서 4.68dS·m-1로 가장 높았다. 이는 Table 1에 나타낸 바와 같이 NH4+:NO3- 비율을 조절하는 과정에서 NH4+ 비율을 높이기 위해 첨가한 염의 종류가 많고, NH4+의 상대 이온인 Cl-과 SO4-2의 양이 증가한 것이 주요 원인이라고 판단하였다. 또한 모든 NH4+:NO3- 비율 처리에서 플러그 묘의 생장이 진행됨에 따라 EC가 낮아졌으며, 파종 4주 후에는 모든 처리에서 0.5dS·m-1 이하로 측정되었고 처리간 차이도 없었다. 이와 같이 근권부의 EC가 낮아진 것은 관수 또는 관비 과정에서의 용탈과 식물 생장량 증가를 통한 무기원소 흡수량이 증가한 것이 주요 원인이며 Styer and Koranski (1997)도 유사한 보고를 한 바 있다. NH4+:NO3- 비율이 상토의 NH4+와 NO3- 농도에 미치는 영향을 Fig. 3에 나타내었다. NH4+:NO3-(0:100) 처리에서 NH4+ 농도가 5.4mg·kg-1으로 가장 낮았고, NO3-가 273.4mg·kg-1으로 가장 높았으며, NH4+:NO3-(100:0) 처리에서 NH4+가 152.7mg·kg-1으로 가장 높았고, NO3-가 7.1mg·kg-1으로 가장 낮았다.
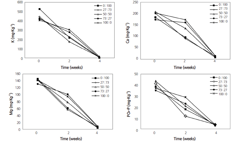
배추 생육기간 동안 NH4+:NO3- 비율에 영향을 받은 근권부의 다량원소 농도 변화를 Fig. 4에 나타내었다. 파종 전 기비를 포함한 상태의 상토를 분석한 결과 NH4+:NO3- 비율에 따른 처리간 K, Ca 및 Mg 농도 차이가 뚜렷하지 않았다. 그러나 파종 2주 후 분석한 결과는 NH4+:NO3-(100:0)이나 NH4+:NO3-(73:27) 등 NH4+ 비율이 높았던 처리에서 NH4+:NO3-(0:100)이나 NH4+:NO3-(27:73) 등 NO3- 비율이 높았던 처리들 보다 K, Ca 및 Mg 농도가 높았다. 이는 Marschner (2012)가 보고한 바와 같이 무기원소 흡수과정에서 양이온 간 길항작용으로 인한 결과라고 판단하였다. Marschner (2012)에 의하면 특정 양이온의 시비량을 증가시켜 그 원소의 흡수량이 증가하면 다른 양이온의 흡수량이 감소하며, 식물체가 흡수하는 총 양이온의 수는 유사하게 유지된다고 하였다. 따라서 본 연구에서도 양이온인 NH4+의 비율이 증가할 경우 K, Ca 및 Mg의 흡수량이 감소하고 흡수되지 못한 채 토양용액에 남아있는 양이 증가하여 상토 농도가 높았다고 판단하였다. 그러나 파종 4주 후에는 모든 처리의 상토 K, Ca 및 Mg 농도가 낮아졌고 처리간 차이도 없었는데 이는 앞에서 설명한 바와 같이 관수 및 관비시 용탈과 식물 생장량 증가에 따른 흡수량 증가가 원인이라고 판단하였다.
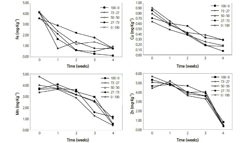
육묘기간 중 상토의 Fe, Cu, Mn 및 Zn 농도를 분석한 결과는 Fig. 5와 같다. Fe는 3.31-4.46mg·kg-1, Cu는 0.64-0.90mg·kg-1, Mn은 3.35-4.75mg·kg-1 그리고 Zn은 4.42-5.68mg·kg-1의 범위로 분석되었으며, NH4+:NO3- 비율에 따른 뚜렷한 경향을 발견할 수 없었다. 그러나 4종류 미량원소 모두 작물의 생육이 진행됨에 따라 농도가 낮아졌고 앞에서 설명한 용탈과 작물에 의한 흡수가 주 원인이라고 판단하였다.
배추 종자를 파종하고 2주와 4주 후 플러그 묘의 지상부 생장 조사를 한 결과를 Table 3 및 4 그리고 Fig. 6에 나타내었다. 파종 2주 후의 배추 유묘는 NH4+:NO3- 비율을 27:73으로 조절한 처리에서 초장 5.35cm, 엽폭 3.68cm, 엽수 4.07, 지상부 생체중 0.89g, 건물중 0.07g 으로 조사되었고, 생장이 가장 우수하였다. NH4+:NO3- 비율을 100:0으로 조절한 처리는 발아 후 잎이 황화되면서 고사하는 것을 확인할 수 있었으며(Fig. 7), 발아 후 생존율이 19%로 조사되었다(data not shown).
파종 4주 후 배추 유묘의 생장을 조사한 결과, NH4+:NO3- 비율을 50:50으로 조절한 처리가 가장 우수하였으며, NH4+:NO3- 비율을 100:0으로 조절한 처리에서 생존한 식물체의 생장이 가장 저조하였다. SPAD 값은 100:0(NH4+:NO3-) 처리에서 29.1로 가장 높았고, 0:100(NH4+:NO3-) 처리에서 26.03으로 가장 낮았다. 50:50과 100:0(NH4+:NO3-) 처리의 지상부 생체중은 각각 8.62g 및 4.92g 으로 약 2배의 생장량 차이를 보였으며, 그 차이가 통계적으로 유의하였다. 이상의 결과는 기비로 혼합된 질소 중 NH4+ 비율을 50% 이하로 유지하여야 배추 플러그 묘에서 발생하는 피해를 줄일 수 있음을 나타낸다 .
파종 2주와 4주 후 최대 생장을 보인 NH4+:NO3- 비율이 다른 것은 Styer and Koranski (1997)의 보고내용에 근거하여 판단 할 수 있다. 그들은 상토에 기비로 포함된 비료가 대략 발아 10일 후까지 작물 생육에 영향을 미치며 그 이후에는 추비의 영향을 크게 받는다고 하였다. 또한 유근의 발생, 자엽의 완전한 전개 시기, 자엽 전개부터 본엽 2매 발생시기, 그리고 본엽 2매 이후 시기를 각각 plug stage 1, 2, 3, 및 4로 구분하고 stage 1, 2, 및 3단계에서는 식물이 너무 어려 NH4+ 독성이 매우 심하게 발생할 수 있으며, 총 질소 중 NH4+ 비율을 최저로 낮추어야 한다고 하였다. 그러나 stage 4에서는 식물 생장과 함께 NH4+ 에 대한 내성이 증가하고 근권부 미생물에 의해 NH4+가 NO3- 로 전환되므로 NH4+의 시비 비율을 높이는 것이 가능하다고 하였다. 따라서 Marschner (2012) 및 Styer and Koranski (1997)가 보고한 바와 같이 시비하는 총 질소 중 NO3-를 단독으로 시비하는 경우 보다 적절한 비율로 NH4+가 존재할 때 작물 생육이 촉진되므로 식물의 생육 단계를 고려하여 NH4+:NO3- 비율을 조절하는 것이 바람직하다고 판단하였다.
Styer and Koranski (1997)는 다양한 작물을 플러그 육묘할 때 각 생육 단계별 적정 시비 수준과 NH4+:NO3- 비율을 비교하여 보고하였다. 비록 배추에 대하여 추천한 내용이 없지만 플러그 육묘시 작물 별 그리고 생육단계 별로 적절한 시비 수준 및 NH4+:NO3- 비율을 제시하였다. 다양한 작물 별로 시비농도를 다르게 추천한 것은 배추를 대상으로 한 본 실험의 시비방법을 다른 작물을 플러그 육묘할 때 동일하게 적용하기 어렵다는 것을 의미한다고 판단하며 작물 별로 적정 시비수준 및 NH4+:NO3- 비율에 대한 연구결과가 도출되어야 한다고 생각한다.
| |
Fig. 7. Injury symptoms of Chinese cabbage 'Bool-am No.3' sown in 72-plug trays as influenced by ratio of NH4+:NO3- (100:0). | |
배추 파종 4주 후에 수확한 식물체의 지상부 무기원소 함량을 Table 5에 나타내었다. 배추의 T-N 함량은 NH4+:NO3-(50:50) 처리에서 3.75%로 가장 높았고, NH4+:NO3-(0:100)에서 3.04%로 가장 낮았다. K 함량은 NH4+:NO3-(50:50) 처리에서 7.16%로 가장 높았고, NH4+:NO3-(0:100) 처리에서 5.59%로 가장 낮았다. 그러나 식물체내 T-N과 K 함량은 NH4+:NO3- 비율에 따른 처리간 통계적인 차이가 인정되지 않았다. P은 0.28-0.33%, Ca은 1.39-1.61%, Mg은 0.45-0.59%, Na는 0.53-0.85%의 범위를 나타내었으며, Na 함량을 제외한 모든 필수 다량원소 함량에서 처리간 p≤0.05 수준의 통계적인 차이가 인정되지 않았다.
미량원소인 Fe 함량은 NH4+:NO3-(73:27) 처리구에서 163.6mg·kg-1로 가장 높게 분석되었다. Mn과 Zn은 NH4+:NO3-(27:73) 처리구에서 각각 93.4mg·kg-1, 135.8mg·kg-1으로 모든 처리구 중 가장 높은 식물체내 함량을 보였으며, Cu는 NH4+:NO3-(50:50) 처리구에서 8.4mg·kg-1로 가장 높게 분석되었다. NH4+:NO3-(100:0) 처리구에서는 3종류 미량원소 모두 가장 낮은 함량으로 분석되었다. Mn을 제외한 Fe, Cu 및 Zn 함량에서 NH4+:NO3- 비율에 따른 통계적인 차이가 인정되지 않았다.
이상의 결과를 요약하면 다음과 같다. 기비로 혼합된 질소의 NH4+:NO3- 비율이 배추 플러그묘 생장에 미치는 영향을 조 사한 결과 파종 2주 후에는 NH4+:NO3-(27:73) 그리고 파종 4주 후에는 NH4+:NO3-(50:50) 처리에서 생장이 가장 우수하였으며, 상토에 기비로 혼합된 NH4+ 비율을 50% 이하로 조절하여야 NH4+ 독성 피해를 방지할 수 있다고 판단하였다.













