서 언
국내의 공정육묘장들은 물리·화학적 균일성이 낮은 코이어 더스트 대신 피트모스를 혼합상토의 주요 구성재료로 이용하고 있다. 과거에는 주로 캐나다에서 피트모스가 수입되었지만 최근에는 가격이 저렴한 이유로 리투아니아나 라트비아 등 유럽산 의 수입량이 증가하고 있다. 그러나 피트모스는 원산지나 채취 장소에 따라 부숙 정도, 입도 분포, 무기물 함량 등 특성이 다르 며(Choi et al., 2009), 혼합상토를 조제한 후에도 혼합상토의 핵심인 균일성을 확보하는 것이 어려워 동일한 시설환경 조건에 서 작물을 키워도 작물을 재배할 때마다 생장이 달라질 수밖에 없다.
피트모스 등 일부 물질은 단일재료를 용기재배에 이용하는 경우도 있지만 물리·화학성을 조절하기 위해 보편적으로 2-3종 류의 물질을 혼합하여 작물재배에 이용한다. 피트모스는 보수성이 매우 높은 물질이며 이는 물질 내부에 많은 미세공극이 존 재하기 때문이다(Choi et al., 2000). 그러나 플러그 육묘에 이용할 경우 가상지하수(perched water table)의 형성을 통한 가스 확산이 어려워 작물 생육 저조의 문제가 빈번하게 발생하며(Nelson, 2003), 이를 극복하기 위하여 공극률을 높이고 공극의 크 기를 확대시킨다. 공극률 증가 및 공극 크기의 확대를 위해 버미큘라이트나 펄라이트 등 직경이 큰 입자를 혼합하지만 버미큘 라이트는 함수량이 높을 경우 쉽게 부서져 물리성을 유지하기 어려우며 비교적 강도가 높은 펄라이트를 혼합하는 것이 보편적 인 추세이다. 그러나 펄라이트는 원산지별로 화학성의 차이가 있고, 소성 후 생성된 입자의 크기가 다양하여 혼합상토 조제 후 물리·화학성이 달라질 수밖에 없다.
피트모스는 원산지에 따라 차이가 있지만 대부분 강산성 물질이고, 소성 후의 펄라이트는 대부분 중성~약 알칼리성의 화학 적 반응을 보인다(Nelson, 2003; Shin et al., 2012). 피트모스의 비율이 높은 상토는 대부분 산도가 낮고, 이를 개선하기 위하여 상토 조제 과정에서 고토석회 등 석회질 비료를 혼합하여 반응을 교정하며, 혼합상토 조제 후 측정된 pH에 따라 첨가하는 석회 질 비료의 양을 조절한다(Nelson, 2003). 따라서 조제한 혼합상토의 pH와 EC가 정확하게 측정되어야 이를 근거로 기비로 혼 합할 다른 비료의 종류 및 양을 결정할 수 있게 된다.
시설 내부의 공간 활용률이 높고 이식 후 활착이 양호하여 과채류나 화훼류 등에 많이 이용되는 공정육묘는 셀의 높이가 낮 고 용적이 적은 플러그 트레이를 사용하며 셀의 형태상 보수성이 높고 토양 통기성이 불량한 환경이 조성될 수밖에 없다(Choi et al., 1997; Kwon, 2003). 또한 시설하우스 내부의 계절별 온도 차에 따라 식물체 또는 토양 표면으로부터의 증발산량이 달라 진다. 증발산량이 적은 동절기에는 높은 공극률과 함께 보수성이 낮은 상토, 반대로 증발산량이 과다한 하절기에는 보수성이 높은 상토가 육묘용으로 적합하다. 많은 육묘 농가가 이의 중요성을 알고 겨울철에는 펄라이트의 혼합비율을 증가시키고, 여 름철에는 펄라이트의 혼합비율을 낮추고 있다. 그러나 이와 같은 방법은 정확한 물리성 측정에 기초하였다기 보다는 감각적으 로 수행하는 방법이며, 적절하지 못한 펄라이트가 혼합될 경우 물리성이 더 악화될 수도 있다.
따라서 국내의 공정 육묘장에서 상토 구성 재료로 가장 많이 이용되는 피트모스와 펄라이트의 종류와 혼합비율에 영향을 받 은 토양 물리·화학성을 구명하여 공정육묘를 위한 기초자료를 확보하고자 본 연구를 수행하였다. 본 연구의 결과는 계절별 온 도 변화를 고려한 적정 상토 선정 그리고 이를 통한 플러그 묘의 안정 생산에 기초 자료로 활용될 수 있을 것이다.
재료 및 방법
상토재료
실험을 위해 외국에서 수입되어 국내에서 유통되는 피트모스를 수집하여 실험에 이용하였으며 수집된 피트모스는 다음과 같다: 동부한농(Dongbu Hannong Co., Ltd. Daejeon, Korea)에서 수입한 Blonde Golden(imported from Canada), Sfagnumi Turvas(imported from Estonia), White Peat 250(imported from Estonia), Orange 0-10mm(imported from Canada), Green(imported from Canada)의 5종류 피트모스와 신성미네랄(Shinsung Mineral Co., Ltd. Jincheon, Korea)이 라트비아에 서 수입한 Latagro 0-10mm, Latagro 7-20mm, Latagro 20-40mm의 3종류를 포함한 총 8종류였다(Fig. 1). 펄라이트는 신성 미네랄(Shinsung Mineral Co., Ltd. Jincheon, Korea)이 중국에서 수입한 원석을 국내에서 소성하여 유통하고 <1mm, 1-2mm, 2-5mm, >5mm의 유통규격을 갖는 4종류였다(Fig. 1). 본 논문에서 피트모스는 Blonde Golden(BG), Sfagnumi Turvas(ST), White Peat 250(WP), Latagro 0-10mm(L1), Latagro 7-20mm(L2), Latagro 20-40mm(L3), Orange 0-10mm(O), Green(G) 의 약어로 나타내었고, 펄라이트는 입경에 따라 <1mm(PE1), 1-2mm(PE2), 2-5mm(PE3), >5mm(PE4)로 나타내었다. 혼합 상토는 피트모스와 펄라이트의 용적을 기준으로 7:3의 비율로 혼합하였다.

Fig. 1
The eight types of peatmoss and 4 types of perlite commonly used as rooting medium components in Korea (A: Blonde Golden, B: Sfagnumi Turvas, C: White Peat 250, D: Latagro 0-10 mm, E: Latagro 7-20 mm, F: Latagro 20-40 mm, G: Orange 0-10 mm, H: Green, I: Perlite < 1 mm, J: Perlite 1-2 mm, K: Perlite 2-5 mm, L: Perlite > 5 mm).
입경분포
수집된 피트모스와 펄라이트의 입경분포는 미국 표준규격(American standard) 번호 3½(직경 5.6mm), 7(2.8mm),14(1.4mm), 25(710μm), 45(355μm), 100(150μm) 및 140(106μm)의 체(sieve)를 사용하여 분석하였으며, Choi et al.(1999)의 방법을 따라 4반복으로 수행하였다.
삼상비율
혼합상토의 공극률(total porosity, TP), 용기용수량(container capacity, CC), 기상률(air filled porosity, AFP) 및 가비중(bulk density, BD)의 측정 및 계산은 Choi et al.(1997)의 방법을 따랐고, 347.5mL의 알루미늄 실린더(직경 7.6cm, 높이 7.6cm)를 사 용하여 3반복으로 측정하였다
유효 수분 비율
각각의 상토 재료 또는 이들을 혼합한 상토가 보유할 수 있는 수분 중 4.9kPa 이하의 장력 하에 존재하는 수분으로써 식물이 쉽게 흡수할 수 있는 수분(easily available water, EAW)과 4.9kPa-9.8kPa 장력 하에 존재하는 완충수분(buffering water, BW) 의 비율은 sand box(Model pF 0-2.0, Eijkelkamp Agrisearch Equipment, The Netherlands)를 사용하여 측정하였다. 측정 및 계산의 전반적인 과정은 Milks et al.(1989)과 Wallach et al.(1992)의 방법을 따랐다.
pH와 EC
상토 재료의 pH 및 EC는 포화반죽법(saturated paste method, Warncke, 1986)으로 측정하였고, 시료를 일정한 용기에 담 은 뒤 증류수로 반죽을 만들고 실온에 2시간 치상한 다음 화학평형상태에 도달한 후 추출하여 측정하였으며, 3반복으로 수행 하였다.
양이온 교환용량
Hendershot et al.(1993)이 보고한 Ammonium acetate(pH 7.0) 방법에 준하여 분석하였다. 또한 양이온교환용량 분석을 위 해 NH4OAC로 치환시킨 용액 속에 존재하는 양이온을 원자흡광분석계(atomic absorption/flame emission spectrophotometer, Model 680, Shimazu, Japan)로 분석하여 치환성 양이온 함량으로 삼았다.
통계분석
물리·화학성을 분석한 후 Costat 프로그램(Monterey, California, USA)을 사용하여 p ≤0.05 수준의 처리간 평균 비교를 하 였다. 또한 F-검정을 통해 피트모스와 펄라이트 상토별 물리성과 화학성을 비교하였다.
결과 및 고찰
피트모스 또는 피트모스 + 펄라이트 혼합상토의 입도분포
캐나다, 에스토니아 및 라트비아에서 수입되어 국내에서 유통되고 있는 피트모스의 입도분포를 조사한 결과 710μm 이상의 직경을 갖는 입자의 비율은 63.2-91.4% 이었다(Fig. 2). 710μm 이상의 입경을 갖는 입자의 비율에서 ST, BG 및 L1이 각각 63.2, 71.5, 73.2%였고, O 및 G는 각각 79.7 및 77.6%였다. WP, L2 및 L3가 각각 91.4, 88.8 그리고 89.8%였으며, 710μm 이상 의 입자 비율이 가장 적은 것은 ST였고, 가장 많은 것은 WP 피트모스였다. WP, L2 및 L3의 경우 직경이 710μm 이상인 입자 의 비율이 다른 피트모스에 비해 높아 토양통기성이 우수할 것으로 판단되었고, Bunt(1988)가 보고한 바와 같이 작물을 재배할 때 통기성의 불량문제로 인한 작물 생육의 저조현상은 발생하지 않을 것으로 예상하였다. WP, L2 및 L3 피트모스의 경우 >5.6mm의 직경을 갖는 입자의 비율이 높았지만 다른 5종류의 피트모스는 1.4-2.8mm의 입자의 비율이 높았으며 원산지별 차이가 크다는 것을 알 수 있었다 .
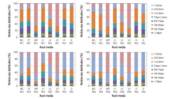
피트모스와 입경이 다른 4종류의 펄라이트를 혼합한 상토의 입도분포를 조사한 결과, 1mm 이하의 펄라이트를 혼합한 상토 는 단일 피트모스와 비슷한 경향을 보였다(Fig. 3). 그러나 직경이 1-2, 2-5, 및 > 5mm의 규격으로 유통되는 펄라이트를 혼합한 상토의 경우 펄라이트 유통규격의 입자 크기에 해당하는 각 구간의 입자 비율이 높아졌을 뿐만 아니라 710μm 이상의 직경 을 갖는 입자의 비율이 크게 증가하여 토양통기성이 우수한 반면 보수성이 불량할 것으로 예상되었다. 그러므로 직경이 2-5mm와 5mm 이상인 펄라이트를 혼합한 경우 동절기 육묘용 상토의 조건인 토양 통기성 문제는 개선할 수 있지만, 5mm 이 상의 입자가 혼합된 상토의 경우 보수성이 과도하게 불량하여 작물 육묘를 위해 적합하지 않다고 판단하였다.

Fig. 3
Particle size distribution of the root media blends of various types of peatmoss and perlite with the ratio of 7:3 (v/v) (BG: Blonde Golden, ST: Sfagnumi Turvas, WP: White Peat 250, L1: Latagro 0-10 mm, L2: Latagro 7-20 mm, L3: Latagro 20-40 mm, O: Orange 0-10 mm, G: Green. PE1: < 1 mm, PE2: 1-2 mm, PE3: 2-5 mm, PE4: > 5 mm).
피트모스 또는 피트모스 + 펄라이트 혼합상토의 물리성
다양한 원산지로부터 수입한 피트모스의 물리성을 측정한 결과 공극률은 WP, L2 및 L3가 각각 78.9, 75.5, 및 85.8%로 약간 낮은 반면, 다른 5 종류는 90% 이상이었다(Table 1). 용기용수량은 WP, L2 및 L3가 각각 45.6, 62.5 및 63.6%, 그리고 다른 5 종 류는 83-87%의 범위로 측정되었다. 기상률은 WP, L2 및 L3에서 33.2, 13.0, 22.3%, 다른 종류의 피트모스에서 7.7-9.6% 이 었다. WP, L2 및 L3 피트모스는 공극률과 용기용수량이 낮지만 기상률이 상대적으로 높아서 동절기용 혼합상토에 적합한 조 건을 가지고 있다고 판단하였다. 가비중은 모두 0.1-0.17g·cm-3 범위에 포함되었는데, L3가 0.1g·cm-3로 가장 가볍고, L1 및 L2 상토가 가장 무거운 것으로 조사되었다.
Table 1. The physical properties of various types of peatmoss commonly used as rooting medium components in Korea.
![]() | |
| zLeast significant difference at p ≤0.05. | |
피트모스에 직경 1mm 이하의 규격의 펄라이트를 7:3(v/v)의 비율로 혼합하고 이들 상토의 공극률, 용기용수량, 기상률 및 가비중을 측정하였다(Table 2). 그 결과 단일 피트모스에 비해 공극률이 약간 감소하였고, 용기용수량은 상토별로 일정한 경향 을 찾을 수 없었다. 기상률은 모든 혼합상토에서 감소하는 경향을 보였으며, 특히 WP 및 L3 등 입경이 큰 피트모스를 이용하 여 조제된 상토의 기상률이 크게 감소하였다. 이는 피트모스 입자 사이에 형성된 비교적 큰 공극을 직경이 작은 펄라이트가 점 유하므로써 보수성이 증가하고 기상률이 낮아진 원인이 되었다고 생각한다. Verdonck and Penninck(1986)도 > 2mm 이상, 1-2mm, 0.5-1mm, < 0.5mm 그리고 이들을 모두 혼합한 5종류 피트모스의 물리성을 측정한 결과 기상률이 각각, 68.6, 64.4, 56.5, 17.0 및 7.4%였다고 보고하였으며, 본 연구에서 다양한 입자 크기를 갖는 상토의 기상률이 낮아진 것에 대하여 이론적인 뒷받침을 하고 있다
피트모스에 입경이 다른 네 종류 펄라이트[<1mm(PE1), 1-2mm(PE2), 2-5mm(PE3) 및 > 5mm(PE4)]를 혼합하고 물리 성을 측정한 결과 BG, ST, WP, L1 및 L2 피트모스는 혼합된 펄라이트의 입경이 커질수록 공극률이 감소하는 경향이었다. L3 피트모스는 PE1 보다 PE2가 혼합될 때 공극률이 낮아졌지만 PE3와 PE4가 혼합될 때 PE2가 혼합된 상토 보다 공극률이 높아 졌다. O 및 G 피트모스는 1mm 이하의 펄라이트와 혼합하면 공극률이 낮았지만 PE2, PE3 및 PE4 펄라이트가 혼합된 처리들 간에는 유사한 공극률을 갖는 것으로 측정되었다. 다양한 피트모스에 직경이 작은 PE1을 혼합할 경우 피트모스 단용으로 한상토와 유사한 용기용수량을 보였지만 펄라이트의 입경이 커질수록 뚜렷하게 낮아지는 경향이었다. 각종 피트모스에 1mm 이 하 규격(PE1)의 펄라이트를 혼합하면 기상률이 감소하였지만, 혼합된 펄라이트의 입경이 커질수록 증가하는 경향이었다. 이 상과 같이 다양한 종류의 피트모스 입경 또는 혼합되는 펄라이트 입경의 차이에 따라 물리성이 큰 차이를 나타내며, 입경이 작 은 피트모스는 큰 입자의 펄라이트를 그리고 입경이 큰 피트모스는 작은 입자의 펄라이트를 혼합하였을 때 토양통기성과 보수 성 등 작물 생육에 적합한 물리성을 보유한다고 판단하였다.
보편적인 원예용 상토의 삼상비율은 공극률 85-95%, 용기용수량 70-80%, 그리고 기상률 10-20%의 범위로 보고되고 있 다(Argo, 1998; Bunt, 1988; Cattivello, 1991; Nelson, 2003). 본 연구에서는 농가에서 관행적으로 계절에 따라 상토의 물리성 변화를 시도함을 고려하여 피트모스와 펄라이트를 혼합하여 조제한 상토들 중 이상의 범위에 포함되고 계절별 기상환경의 특 성을 반영할 수 있는 상토를 선발하여 Table 3에 나타내었다. 하절기 육묘용은 부숙도가 가장 높으며 소립자인 피트모스를 포 함하여 공극률 및 액상률이 높은 혼합상토가 바람직하며 BG + PE1과 L1 + PE2의 혼합상토는 공극률이 각각 90.9와 89.8%, 용기용수량이 81.3과 80.8%로 공극률과 액상률이 높아 하절기용으로 적합하다고 판단하였다. 동절기용은 부숙도가 낮고 대 립인 피트모스를 포함하여 삼상비율 중 기상률이 높은 혼합상토가 바람직하다. ST + PE2 및 L3 + PE2 혼합상토는 공극률이 86.7과 79.9%이고, 용기용수량이 74.9 및 60.4%로 낮지만, 기상률이 11.8과 19.6%로 높으며 동절기 육묘용으로 적합하다고 판단하였다. 봄과 가을철 육묘용으로는 공극률과 용기용수량이 하절기용과 동절기용의 중간 범위에 포함된 BG + PE3 및 O + PE3 혼합상토가 적합하다고 판단하였다. 계절별 육묘에 적합한 물리성을 보유하였다고 판단하여 선발한 혼합상토의 쉽게 이 용할 수 있는 수분(EAW)은 18.0-28.6% 범위였으며, L3+PE2 혼합상토가 18.0%로 가장 낮았다. 완충수분(BW)은 5.8-9.2% 범위에 포함되었다.
피트모스 또는 피트모스 + 펄라이트 혼합상토의 pH 및 EC
피트모스의 pH를 측정한 결과 2.96-3.81의 강산성을 띠었고, EC는 0.08-0.47dS·m-1의 범위에 포함되었다(Table 4). 강산성 의 피트모스와 펄라이트를 7:3(v/v)으로 혼합한 상토의 pH는 피트모스에 비해 높아졌으며, 동일한 피트모스에 펄라이트를 혼합할 경우 입경이 커질수록 pH가 낮아지는 경향을 보였다(Table 5). 펄라이트 혼합으로 pH가 상승하는 것은 펄라이트의 pH가 약알칼리인 7.2를 띠고 있기 때문(data not shown)이라고 판단되며 입경이 커질수록 pH가 다시 낮아진 것은 펄라이트 입경에 따라 표면적 차이가 발생하고 이를 통해 반응 정도가 달라졌기 때문이라고 판단한다. Martinez et al.(1988)은 상토를 입경별로 구분하여 일정한 수준으로 pH를 높이기 위해 필요한 고토석회의 양에 대하여 보고하였으며, 입경이 작은 물질은 큰 직경을 갖 는 물질에 비하여 동일한 부피일 때 표면적이 급격히 증가하고 결국 필요한 석회석의 양이 많아진다고 하였다. 본 연구에서도 입경이 작은 펄라이트가 혼합될 경우 반응 표면적이 급격히 증가하고 결국 큰 직경을 갖는 펄라이트 보다 pH에 미치는 영향이 컸다고 판단하였다. EC는 입자 크기에 관계없이 펄라이트의 혼합으로 인해 다소 낮아지는 경향이었다. 전반적으로 피트모스 에 무기물인 펄라이트가 혼합됨에 따라 피트모스 단독일 때 보다 pH는 상승하고 EC는 약간 낮아지는 경향이었으나 그 정도는 크지 않았다.
Table 4. pH and EC of various types of peatmoss commonly used as rooting substrate components in Korea.
![]() | |
| yLeast significant difference at p ≤0.05 | |
피트모스 또는 피트모스 + 펄라이트 혼합상토의 양이온치환용량(CEC) 및 무기물 함량
수집된 피트모스의 CEC를 분석한 결과 107-148meq·100g-1 범위에 포함되었다(Table 6). L3이 107meq·100g-1로 가장 낮 고, L1, O 및 G가 각각 148, 145, 140meq·100g-1로 높았다. 모든 피트모스의 K 함량은 3.30-4.22meq·100g-1의 범위, Ca 함량은 6.13-16.40meq·100g-1의 범위, Mg 함량은 3.94-24.50meq·100g-1의 범위였으며, Na 함량은 0.82-6.58meq·100g-1의 범위로 분석되었다.
Table 6. Cation exchange capacity and exchangeable cation content of various types of peatmoss commonly used as rooting substrate
components in Korea.
![]() | |
| zLeast significant difference at p ≤0.05. | |
피트모스의 양이온치환용량을 분석한 결과 부숙이 많이 진행된 피트모스에서 높았던 반면, 부숙이 덜 된 피트모스에서 낮았다. 또한 각 무기이온의 양을 분석한 결과도 유사한 경향을 보였다. 그러나 전반적으로 조사된 각종 피트모스의 양이온치환용 량은 코이어 더스트 등 다른 상토 재료 보다 매우 높았으며 혼합상토 구성재료로 이용하기에 문제가 없다고 판단하였다(Choi et al., 2000). 또한 각종 무기이온의 농도는 매우 낮은 수준이었는데 이는 피트모스의 전형적인 특징이라고 판단된다(Nelson, 2003).
피트모스와 펄라이트를 혼합한 상토는 피트모스 자체 보다 CEC가 낮아졌고, 혼합된 펄라이트의 입경이 커질수록 CEC가 증가하는 경향을 보였다(Table 7). 또한 입경이 작은 피트모스를 포함한 하절기용 육묘용 상토는 직경이 큰 피트모스를 포함한 동절기 육묘용 상토 보다 양이온치환용량이 높았다. Bunt(1988)나 Nelson(2003)이 보고한 바와 같이 펄라이트는 양이온치환 용량이 매우 낮은 물질이며 펄라이트 혼합으로 피트모스 단용인 경우 보다 CEC가 낮아졌다고 생각한다. 또한 보편적으로 직 경이 큰 입자들 사이에는 큰 공극이 형성되고, 형성된 공극을 직경이 작은 입자들이 점유한다. 따라서 입경이 큰 펄라이트가 혼 합될수록 직경 30-300μM 크기의 입자간 공극(interaggregate pores, Verdonck and Penninck, 1986)의 비율이 많아지고 이 공 극을 점유하는 작은 입자의 비율이 늘어나C EC가 증가하였다고 판단하였다.
이들 상토 중 각 계절별 육묘에 적합하다고 판단한 6종류 상토의 평균 CEC는 97-119meq·100g-1였고, 무기원소 중 K 함량 3.55-4.09meq·100g-1, Ca 함량은 2.55-8.88meq·100g-1, Mg 함량 2.42-7.47meq·100g-1, 그리고 Na 함량은 2.06-3.21meq·100g-1 범위로 분석되었다.










