서 언
최근 시설 채소의 연중 생산을 위해 채소 묘의 안정적인 공급이 요구됨에 따라 묘를 대량 생산 할 수 있는 공정육묘 기술이 일반화되어 균일하고 규격화된 묘의 생산이 가능해졌다(Lee, 2000). 특히, 토마토는 육묘와 재배가 뚜렷하게 분업화되어 있는 작물이며, 암면을 이용한 수경재배시 펠릿형 암면에 파종하여 육묘 한 후 큐브형 암면에 이식하여 육묘를 마친 뒤 슬라브형 암면에 정식하여 재배하게 된다. 최근, 육묘용 상토와 달리 암면과 같이 형태가 일정한 인공배지의 이용으로 과채류 묘를 단기간 육묘하여 쉽게 이식과 정식을 할 수 있어 육묘 산업에서 인공배지의 이용가능성이 확인되고 있으며, 국내외에서 개발되고 있다. 또한, 국내의 일부 장미와 딸기 농가에서는 인공배지를 삽목용으로 이용하여 제한된 시설면적을 효율적으로 이용하고 있으며, 일부 과채류 공정육묘장에서의 사용도 점차 확산되고 있다. 하지만 육묘 전용 인공배지들의 원료는 대부분 외국에서 수입되어 가공 및 보급되고 있는 실정이며, 이는 재료비를 상승시켜 작물의 생산단가와 농가의 생산비를 증가시키고, 막대한 외환지출 및 농업 자재의 무역 수지 역조에 원인이 되고 있다(Hwang and Jeong, 2002). 현재 육묘 및 재배 분야에서 사용되고 있는 대표적인 인공배지인 암면(Rockwool)이 시설재배 작물에 주로 이용되고 있으나, 가격이 비싸고 연작시 초기 재배 때 보다 작물의 생산량이 낮아지고 품질이 저하되어 농가에서 계속적인 사용을 꺼리고 있다. 또한, 무기배지인 폐암면은 수경 재배를 통해 대량 발생되고 있으나 쉽게 썩지 않는다. 하지만 사용 후 구체적인 처리 방안이 마련되어 있지 않아 온실 주변 환경을 오염시키고 자원 낭비의 원인이 되고 있다(Kim and Jeong, 2003). 그러므로 이러한 문제점들을 유발하는 암면을 대체할 수 있으며, 작물의 생육에 적합한 새로운 인공배지의 개발이 필요하다.
따라서, 기존의 암면을 대체하기 위한 육묘용 배지로써 신개발된 펠릿형태와 큐브형태의 인공배지인 phenolic foam LC와 LC-lite의 토마토 육묘용 배지로서의 적합성과 현장 적용가능성을 확인하기 위하여 본 연구를 수행하였다.
재료 및 방법
식물재료 및 배지 처리
토마토(Solanum lycopersicum L. ‛Madison’) (Syngenta Seed Co. Ltd., Korea)를 4종류의 펠릿형 인공배지인 Grodan rockwool(GRW, Ø 20 × H 27 mm, Grodan Co. Ltd., Denmark), UR Rockwool(URW, Ø 20 × H 27 mm, UR Co. Ltd., Korea), phenolic foam LC 및 phenolic foam LC-lite(LC 및 LC-lite, Ø 22 × H 30 mm, Smithers Oasis Co. Ltd., Korea)에 파종하였다(Fig. 1). 파종 후 버미큘라이트로 복토하여 온도 25 ± 2°C, 상대습도 90 ± 5%로 설정된 암상태의 항온발아챔버(DS-10L-2, Dasol Scientific, Korea)에서 4일간 발아시킨 후 경상대학교 부속농장에 위치한 양지붕형 유리온실에서 육묘하였다. 파종 후 19일째에 4종류의 펠릿형 배지에서 육묘한 묘를 다시 4종류의 큐브형 인공배지인 GRW(W 100 × L 100 × H 65 mm), URW(W 100 × L 100 × H 65 mm), LC(W 100 × L 100 × H 65 mm) 및 LC-lite(W 100 × L 100 × H 65 mm)에 이식하였다(Fig. 2). 총 16처리 3반복 난괴법으로하였다. 양액 공급은 Sonneveld 표준양액(Table 1)을 pH는 5.5, EC는 3.0dS·m-1로 조제하여 하루에 한번씩 오전에 동일한 양으로 두상 관수하였다S(onneveld and Straver, 1992).
생장측정
토마토의 생육을 조사하기 위해 파종 40일 후 초장, 엽수, 엽면적, 지상부와 지하부의 생체중과 건물중, 뿌리 등급을 측정하였다. 엽면적은 지상부 전체의 잎을 엽면적 측정기(LI-3100, LI-COR Inc., USA)를 이용하여 측정하였다. 건물중은 70°C의 드라이 오븐(OF-22GW, Jeio Tech, Korea)에서 72시간 건조한 직후 측정하였다. 뿌리 등급은 뿌리가 큐브 배지를 감싸고 있는 정도에 따라 가장 우수한 1에서 가장 불량한 5로 등급을 매겼다(Fig. 3).
Table 1. Chemicals and their concentrations used as the nutrient solutoin for the cultivation of tomato plug seedlings.
| |
| |
Fig. 3. Standard grades for root formation of tomato plug seedlings. 1, excellent; 2, good; 3, moderate; 4, bad; and 5, poor | |
배지의 화학성 측정
배지의 화학성을 나타내는 pH와 EC를 측정하기 위해 실험에 사용되기 전과 후의 배지를 이용하여 각각 동일한 부피의 배지와 2차 증류수를 1:5(v/v)로 3시간 동안 희석 후 용액을 pH/EC meter(HI 98130, Hanna Instruments Co. Ltd., USA)로 측정하였다(Kim and Jeong, 2003).
배지의 물리성 측정
배지의 물리성인 용기용수량, 기상률, 총 공극, 가비중을 측정하기 위해서 4종류의 배지를 48시간 동안 침지하여 포화된 무게를 측정한 후 상온에서 2시간 동안 배수하여 배지의 무게와 배수된 물의 용적을 측정하였고, 배수시킨 배지를 72시간 동안 완전 건조하여 배지의 무게를 측정하였다. 측정한 값을 Fonteno(1996)와 Choi et al.(1997)이 제시한 공식을 사용하여 용기용 수량(CC, container capacity), 기상률(AS, air space), 총 공극(TP, total porosity), 그리고 가비중(BD, bulk density)을 계산하였다.
용기용수량(CC, container capacity) = [(습윤중량(wet weight)-건조중량(dry weight)]/배지의 용적(volume of sample) × 100
기상률(AS, air space) = 배수된 용적량(volume of water drained)/배지의 용적(volume of sample) × 100
총 공극(TP, total porosity) = CC + AS
가비중(BD, bulk density) = 건조중량(dry weight)/배지의 용적(volume of sample)
통계분석
실험결과는 SAS(Statistical Analysis System, V. 9.1, Cary, NC, USA) 프로그램을 이용하여 Duncan 다중검정으로 통계적 유의성을 검정하였으며, 그래프는 Sigma Plot(10.0, Systat Software, Inc., Chicago, IL, USA) 프로그램을 사용하여 작성하였다.
결과 및 고찰
생육특성
4종류의 펠릿형 인공배지[Grodan rockwool(GRW), UR Rockwool(URW), phenolic foam LC(LC), phenolic foam LClite(LC-lite)]에 토마토를 파종하여 19일 동안 육묘한 후, 다시 4종류의 큐브형 인공배지(GRW, URW, LC, LC-lite)에 각각 이식하여 21일 후에 토마토 묘의 생육을 조사한 결과를 Table 2에 나타내었다.
토마토 묘의 초장, 엽수, 엽면적, 생체중 및 건물중은 펠릿형 LC-lite 인공배지에서 육묘한 후 큐브형 URW 인공배지로 이식한 토마토 묘에서 유의적으로 높은 값을 보였으며, 초장과 엽수를 제외한 엽면적과 지상부와 지하부의 생체중 및 건물중은 펠릿형 URW 인공배지에서 육묘 후 큐브형 LC 인공배지로 이식한 처리에서 생육이 불량한 경향을 보였다. LC-lite 펠릿에서 육묘 후 URW 큐브로 이식한 묘에서 생육이 우수하였음에도 불구하고 LC-lite 펠릿에서 육묘 후 LC-lite 큐브로 이식하거나 URW 펠릿에서 육묘하여 URW 큐브로 이식한 처리에서 토마토의 생육이 불량한 것으로 보아 육묘 시기에 따라 배지에 의한 근권부 환경이 중요한 것으로 판단된다. 이는 Choi et al.(2011)의 연구에서 상추와 청경채가 암면과 우레탄 스펀지에서 각각 육묘되었을 때 배지의 물리성의 차이에 따라 생육이 차이가 난 결과와 유사하다. 그러므로 LC-lite 펠릿을 이용하여 토마토 종자를 발아시켜 일정기간 육묘한 후, URW 큐브로 이식하는 것이 토마토 묘의 생육증진과 건물함량을 높이는데 효과적이었다.
종류별 펠릿형 및 큐브형 인공배지 각각이 토마토 육묘에 미치는 영향을 알아보고자 Table 2에서 나타난 결과를 이용하여, 펠릿형 인공배지에 따른 결과를 Table 3에, 큐브형 인공배지에 따른 결과를 Table 4에 나타냈다. 펠릿형 인공배지에 따른 토마토의 생육은 LC-lite 펠릿에서 육묘하였을 때 생육이 우수한 경향을 나타냈으며, URW 펠릿에서 육묘하였을 때 생육이 가장 불량하였다(Table 3). 큐브형 인공배지에 따른 토마토의 생육은 URW 큐브로 이식하였을 때 생육이 우수한 경향을 나타냈으며, LC 큐브로 이식되었을 때 생육이 가장 불량하였다(Table 4). 이러한 결과는 Table 2의 F-test에서 나타난 통계적 분석결과와 동일한 경향을 나타내어 토마토 육묘시L C-lite 펠릿과 URW 큐브의 이용가능성을 확인할 수 있었다.
인공배지에 따른 뿌리 등급을 나타내기 위해 뿌리가 큐브 배지를 감싸고 있는 정도에 따라 가장 우수한 1점에서 가장 불량한 5점으로 등급화 하였다(Table 5). 뿌리 등급은 LC 펠릿에서 육묘 후 LC 혹은 LC-lite 큐브로 이식한 처리에서 가장 우수하게 나타났으며, GRW 펠릿에서 육묘 후 GRW 큐브로 이식한 처리와 URW 펠릿에서 육묘 후 URW 큐브로 이식한 처리에서 가장 불량하게 나타났다. 이는 Fig. 4에 나타난 암면과 phenolic foam을 실체현미경으로 관찰한 결과와 같이 phenolic foam이 암면보다 공극의 크기가 상대적으로 더 커서 LC와 LC-lite에서 토마토 묘의 뿌리가 쉽게 발달할 수 있었으며, GRW과 URW 인공배지는 공극이 상대적으로 작아 뿌리의 발달이 억제된 것으로 판단된다. 또한, 토마토를 펠릿형 암면과 phenolic foam 인공배지에서 육묘하였을 때 뿌리 등급은 배지에 따른 유의적인 차이가 없었다는 No et al.(2012)의 결과와 같이 뿌리의 발달에 있어서 부피가 작은 펠릿형 배지 보다 부피가 큰 큐브형 배지에 더 영향을 받는다는 것을 알 수 있다. 그러므로, 묘를 이식한 후 빠른 뿌리 활착을 위해서는 신개발 배지인 phenolic foam 큐브를 이용하는 것이 바람직하다.
육묘 전ㆍ후 재배 배지의 화학적 특성(pH와 EC)을 Table 6에 나타냈다. pH는 배지의 산성도를 가늠하는 척도로서 수소이온 (H+) 농도의 역수에 상용로그를 취한 값이다(Kim et al., 1997). 육묘에 사용되기 전 배지의 pH는 모든 처리구에서 pH 7.34-7.42의 범위로 중성으로 나타났으며, 배지 간의 유의적인 차이가 없었다. 육묘 후에도 pH 7.20-7.41로 사용 전과 유사한 범위로 나타났지만 GRW와 LC 배지가 URW와 LC-lite에 비하여 유의적으로 낮게 나타났다. 배지의 pH가 토마토 재배시 적정 토양 산도인 pH 6.2-6.4의 범위를 벗어났기 때문에(Lee, 2013) 양액 제조 후 Nelson(1991)이 제시한 염기성 비료나 산성 비료를 양액에 첨가하여 재배 작물의 생육에 적합한 범위의 pH로 조절하여 작물에 공급해야 할 것으로 판단된다. 본 실험에서는 양액을 pH 5.5로 조절하여 공급하였기 때문에 재배 중에 무기원소의 결핍증상이나 독성증상이 관찰되지는 않았다. 전기전도도 (EC)는 용액 속에 해리된 이온에 전기가 통하는 원리를 이용하여 전기가 전도되는 정도로 용존한 염류의 농도를 알 수 있는 지표이다(Brady and Weil, 2008). 각 배지의 육묘 전 EC는 0.01-0.06dS·m-1의 범위로 나타났으며, LC 배지에서 0.06dS·m-1로 유의적으로 높게 나타났다. 육묘 후에는 0.16-0.21dS·m-1의 범위로 육묘 전보다 증가한 것으로 볼 수 있었으며, 각 처리구에서 유의적인 차이는 나타나지 않았다. EC가 높으면 배지 중의 염류의 함량이 높아 여러 이온들의 흡수가 억제되고(Yamaguchi, 1989), 작물에 수분 스트레스를 유도하여 생리대사에 영향을 주며(Boyer, 1970), 기공전도도를 낮추고, 광합성속도를 감소시킨다(Park et al., 1999). 본 실험에서 사용된 배지의 EC는 Nelson(1991)이 제시한 1.50dS·m-1 이하의 안정적인 범위에 포함되었으며, 신개발 배지인 phenolic foam이 기존 인공배지인 암면과 비교하였을 때 화학적 특성에서 큰 차이가 없어 암면을 대체하는 인공배지로 이용 가능한 것으로 판단된다 .
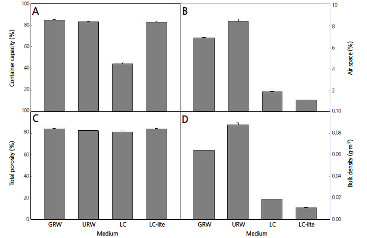
배지의 물리적 특성(용기용수량, 기상률, 총 공극, 가비중)은 Fig. 5에 나타나있다. 식물생장을 위한 최적 근권 환경을 조성하기 위해서는 고상, 기상, 액상의 적절한 균형이 필요하다(Bunt, 1984). 용기용수량은 배지의 함수율을 나타내며, 배지가 양수분을 많이 포함할 수 있으면 근권의 함수율이 급격히 낮아지지 않아 양수분의 이용효율이 증대되고 관수횟수를 줄일 수 있다(Aljibury and May, 1970; Martin et al., 1970). 본 연구에서 각 배지의 용기용수량은 LC를 제외한 GRW, URW, LC-lite에서 각각 84.7, 83.2, 82.6%로 80% 이상의 값을 보였으며, LC는 약 44.4%로 유의적으로 낮게 나타났다. 배지가 포수된 후에 중력 수가 배출되면서 근권부에 중요한 산소가 들어 갈 수 있는 공간이 생기는데, 배지에서 이 공간의 비율을 기상률이라고 한다(Lemaire, 1994; Soffer and Burger, 1989). 각 배지의 기상률은 LC와 LC-lite에서 각각 1.9%와 1.1%로 암면배지보다 유의적으로 값이 낮게 나타났으며, URW에서는 8.4%로 가장 높았다. 건조한 배지에서 공극의 비율을 나타내는 총 공극은 모든 배지에서 80% 이상의 공극률을 가지고 있었으며, 유의적인 차이는 없었다. 가비중은 기상률과 유사한 경향을 보였으며, LC와 LClite에서 0.02g·m-3와 0.01g·m-3로 암면배지보다 유의적으로 값이 낮게 나타났고, 0.09g·m-3로 URW에서 가장 높았다. 배지는 가비중이 너무 낮으면 식물체를 지지할 수 없으므로 식물체를 지지할 만큼 적당히 가비중을 가져야 한다(Choi et al., 1997). 식물 생육에 적합한 물리성에 대한 기존의 연구결과는 공극률이 75-90%, 액상 65-70%, 기상 20%, 유효수분은 10-30%, 완충 수분은 4-10%로 보고되고 있다(Cattivello, 1990; Fonteno and Nelson, 1990). 이러한 결과는 본 실험에서 관찰된 4종류의 배지의 물리성과는 다소 차이가 있으나, 토마토의 생육이 URW 큐브에서 우수한 결과를 나타낸 것은 용기용수량과 총 공극이 높아 수분을 많이 보유할 수 있고, 또한 기상률도 높아 근권에 충분한 산소를 공급해 줄 수 있었기 때문이라고 판단된다.
본 실험에서 토마토 육묘 시 기존에 사용하고 있는 GRW와 URW의 가공 단가와 폐기 방법에 관한 문제점을 해결 할 수 있는 대체 배지로써 초기 육묘와 뿌리 발달을 위한 phenolic foam LC-lite배지의 이용 가능성을 입증하였다고 사료되며, 향후 다양한 과채류의 육묘실험에 적용할 수 있도록 보완실험이 진행되어야 할 것으로 판단된다.













