서 언
재료 및 방법
고랭지배추 재배지 환경 및 생육특성 분석
고랭지배추 수량예측을 위한 회귀분석 및 수량산정
결과 및 고찰
고랭지배추 생산성 관련 주요 요인 평가
고랭지배추 생장특성 분석
배추의 생장량 및 GDD에 근거한 구중예측 회귀분석
구중예측회귀식의 보정 및 수량산정
배수성에 따른 생육특성
서 언
고랭지배추는 여름철 신선한 김치원료의 주요 재료이다. 저온성 채소인 고랭지배추는 생육적온이 약 22°C 정도로 여름철 고온기에 평난지에서 재배가 곤란하기 때문에 상대적으로 온도가 낮은 고랭지지역에서 경쟁력을 가진다(HARI, 2000). 그러나 최근 기후 온난화로 인해 점차 온도가 상승하고 빈번한 이상기상으로 인하여 작황이 매우 불안정하다. 재배면적을 보더라도 2,000년에 약 10,000ha에 이르던 것이 최근 약 5,000ha로 급격히 감소하였다(MAFRA, 2014). 그런 배경에는 작황의 불안으로 소득감소로 이어진데다 중국산 배추의 수입이 한몫을 차지했다. 고랭지배추는 연작에다 고온 과습과 토양전염성병의 만연, 가뭄이나 생리장해의 발생으로 수량감소가 커서 이에 대한 대책이 필요한 시점이다. 한편 최근 기후 온난화로 고랭지배추의 안정 생산이 크게 위협을 받고 있다. 특히 우리나라는 김치를 즐겨먹는 전통적인 식문화때문에 여름철에도 김치원료인 고랭지배추의 수급의 불안은 가격변동에 큰 영향을 미친다. 배추의 경우 생산량 변동에 따른 가격편차가 매우 커서 10% 정도의 생산량 변동 만으로 가격은 3배까지 차이날 수도 있다(Lee, 1996). 이러한 측면에서 생산량을 예측하기 위한 노력이 기울여져 왔다. 고랭지배추의 생산량은 재배면적과 단수에 의해 결정되며, 재배면적은 농산물가격에 의해 주로 결정되고(Kim et al., 2013), 재배기술은 농가간 별 차이가 없다(Lee, 1996). 따라서 고랭지배추의 수량 추정을 위해서는 생육 및 품질에 큰 영향을 미치는 기상요소의 분석이 중요하다고 할 수 있다(Hoogenboom, 2000). Kalisz et al.(2012)은 재배지역의 특성을 고려하여 정식시기를 달리하는 연구에서 온도와 일조시수로 표현되는 생장모델식을 제시하였으며, Lee et al.(2012)은 봄배추의 수량을 생육도일에 기반하여 예측하고자 시도하였다. 또한 고랭지배추의 생장과 수량을 기상조건으로부터 예측하고자 Ahn et al.(2014)은 유효적산온도를 독립변수로하는 모형식을 작성하였다. Kim et al.(2006)은 재배면적, 단수함수, 수입함수, 수출함수, 공급함수, 수요함수를 포함한 여러 가지 요인이 포함된 축적된 자료를 엑셀스프레드시트를 활용하여 수급모형을 작성하고자 하였다. Park et al.(2014)은 고랭지배추의 단수변동성이 고랭지배추의 재배면적 감소요인이 되는지 분석하면서 월별기온, 강수량, 저온일수, 고온일수, 태풍횟수 등에 대한 변수를 토대로 단수를 추정하고자 하였다. 또한 Lee et al.(1996)은 생산결정요인 분석을 위하여 단위당 수확량은 농가간 재배기술의 향상으로 재배기술외적인 강우량, 기온, 일조시간 등 기상적인 요인에 의해 결정에 관한 연구를 수행하였고, 이들 기상변수가 생산량 추정에 독립변수로 활용될 수 있음을 밝혔다.
그러나 이들 기상변수와 단수간의 회귀분석에 의한 단수추정은 해에 따른 기상의 이상변동 특성 때문에 생산량을 예측하는데 한계가 있다. 그러나 아직 종합적인 기상요소들의 영향으로 나타나는 작물생장량 척도를 포함하는 생육량 변수를 활용한 수량예측연구는 매우 부족한 상태이다. 이에 본 연구는 수확기에 실시간으로 측정되는 고랭지배추의 생육량과 재배기간 중의 기온, 토양수분 및 실사된 상품률을 기반으로 고랭지배추의 수량 예측과 수량 산정을 위하여 수행되었다.
재료 및 방법
고랭지배추 재배지 환경 및 생육특성 분석
기상청의 기상정보를 활용하여 5-10월중 대관령의 강수량과 고랭지배추 주요재배지의 월별 평균온도의 변화를 살펴 보았다. 고랭지배추의 생육특성을 분석하기 위하여 2012- 2014년에 평창(대관령), 평창 방림, 정선 임계, 태백, 강릉 안반덕과 영월 북면의 농가 25개의 밭을 선정하여 두고, 초고, 엽장, 엽폭, 엽수 등의 배추의 생육을 조사하였으며, 구가 형성된 후에는 구고, 구폭 등을 조사하였다. 토양수분함량은 100mL 부피의 코어로 토양을 채취하여 건조 전후의 중량의 차로 산정하였다. 고랭지배추의 정식시기별 경시적 생장특성을 알아보기 위하여 2012년에 해발 800m의 대관령의 노지포장에서 수행되었다. 고랭지배추 ‘춘광’, ‘수호’ 등 2품종을 각각 6월 21일, 7월 4일 및 7월 18일에 60cm × 35cm 간격으로 정식하였다. 관행에 따라 재배하면서 2주 간격으로 배추의 엽수, 엽장, 엽폭, 초고, 주중, 엽면적(LI-3100, LI-COR Inc., USA)을 조사하였으며, 구가 형성된 후에는 구고, 구폭 및 구중을 조사하였다. 또한 Radford(1967)의 상대생장률 산출 방법을 준용하여 각각의 생체 생육량으로부터 상대생장률을 계산하였다(식 (1)).
상대생장률(RGR) = [(log(A) - log(B)]/생장기간(일) (1)
여기서 A, B는 후기와 전기의 생장량이다. 작물의 생장에 기후요소가 큰 영향을 미치는데(Hoogenboom, 2000), 기후 요소 중 온도인자를 추가하기 위하여 생육도일(growing degree days, GDD)과 배추 생육량과의 관계를 분석하였다. GDD는 작물이 발아부터 성숙까지 생육단계에 따라서 어느 일정량의 열량을 얻어야 비로소 성숙된다는 생각에서 출발한 것으로 작물의 개화시기, 성숙기 등과 같은 생물계절을 예측하기 위해 사용할 수 있는 온도적산값으로, 일평균값과 기준온도와의 차이의 합으로 계산되며 일평균온도가 기준온도보다 낮으면 생장도일은 0으로 계산된다(식 (2)).
GDD(growing degree day, °C・d) = Σ [(Tmax+Tmin)/2 – Tb)] (2)
여기서, Tmax는 일최고온도, Tmin는 일최저온도이고, Tb는 생육최저기준온도를 나타내며, 생육최저기온은 5°C를 기준으로 하였다(Lee et al., 2012).
고랭지배추 수량예측을 위한 회귀분석 및 수량산정
수량예측은 배추의 생장량으로부터 구중을 예측하고 기온, 토양수분의 영향 등 재배지 환경특성을 고려하여 보정하고자 하였다. 한편 실제 재배지에서 양분부족에 의한 수량감소는 없는 것으로 간주하여 양분부족의 영향은 고려하지 않았으며(Lee et al., 2002), 배추는 적기수확되고 일반적으로 생장조정제가 사용되는 것을 전제로 하였다.
먼저 엽폭, 엽장, 초고, 초장, 구폭, 구고, 엽수, 엽면적 등 배추 수확시의 모든 측정가능한 변수들을 가지고 구중추정을 위한 회귀분석을 실시하고, 측정 시간이 다소 소요되는 엽면적과 엽수를 제외하고 비파괴적인 측정이 가능한 엽폭, 엽장, 구폭, 구고 등의 변수들만을 가지고 회귀분석을 실시하여 도출된 구중예측식과 비교하였다. 또한 비파괴 측정 생육량 변수들로부터 도출된 구중예측식을 보완하기 위하여 온도관련 요소인 GDD 변수를 추가하여 회귀분석을 실시하였다. 변수선택 판정은 SAS의 회귀모형 선택방법에 있어서 단계적 선택법과, Cp(Mallow, 1973)를 적용하였으며, 회귀분석은 SAS software(SAS 9.2, SAS Institute Inc., USA)을 이용하였다. GDD를 구중추정에 반영함에 따른 구중예측 오류의 보정은 GDD에 근거하여 추정한 엽폭생장량과 실측값의 비를 산출하여 적용하였으며, 재배기간 중 토양수분에 따른 보정은 토양수분함량에 의해 추정된 엽폭생장량과 주요 수분부족시기의 상대생장률에 근거하여 예측한 엽폭생장량의 비를 적용하여 보정하였다. 생육도일 및 토양수분 영향 등의 계산은 Excel software(MS Office 2007, Microsoft Co. Ltd., USA)를 이용하였다.
한편 수시변동으로 인하여 통계적 예측이 곤란한 항목은 현장실측값을 대입하여 수량예측 산정하기 위하여 Excel spreadsheet model을 작성하였다. 이 모형은 엽폭, 초고, 구고, 구폭 등의 생육조사data 시트, GDD 산정을 위한 재배기간 중 일평균온도data 시트, 재배기간 중 토양수분함량data 시트, 그리고 생육량과 GDD에 의해 도출된 모형방정식에 의한 구중추정값을 보정하고 재배면적, 재식주수 및 상품률을 입력하여 수량을 시물레이션할 수 있는 수량예측산정 시트 등 4개의 시트로 구성되었다.
결과 및 고찰
고랭지배추 생산성 관련 주요 요인 평가
고랭지배추 생산에 영향을 미치는 기상요소 중 강수량과 기온의 변화를 알아보고자 고랭지배추 재배시기인 5월에서 10월 중의 대관령지역의 최근 강수량과 고랭지배추 주요지역의 기온의 월별 변이를 알아 보았다(Fig. 1). 대관령지역의 5-10월 중의 연속 무강우 일수가 매년 약 50일에 이르렀으며, 강수량은 2002년 이후부터 지속적으로 감소하는 경향을 보이고 있다. 전에는 해마다 여름철 집중호우가 작황에 많은 영향을 미쳤으나 최근에는 가뭄 피해가 매년 나타나고 있는 추세이다. 2012-2014년의 고랭지배추 주요 재배지역의 월평균 온도 변이는 강릉 안반덕에서는 연차간 및 월간 변이가 가장 크게 나타났으며, 태백 준고랭지, 태백 고랭지, 태백 귀네미, 대관령, 강릉 안반덕 등 주요 고랭지배추 재배지의 월평균 온도의 변이는 7월이나 9월은 크지 않았으나 8월에는 모두 큰 편이었다. 따라서 고온기인 8월을 경과하여 재배되는 지역의 작황변동이 해마다 심하게 나타날 수 있다고 판단된다. 고랭지배추는 고온기에 대부분 노지에서 재배되어 기상요소 중 강수량이나 고온의 영향이 크기 때문에 수량예측에 이들 요인에 의한 영향이 우선 고려되어야 할 것으로 판단된다. 한편 고랭지배추는 60-70일 정도면 수확이 가능하며, 강원 고랭지를 중심으로 표고나 위치에 따라 온도 등 재배환경의 차이로 5월에서 10월까지 세분화되어 재배되고 있으며, 그에 따라 생육반응이 다르게 나타난다. 이에 봄, 가을로 2회에 걸쳐 재배된 고랭지배추의 재배시기와 해에 따른 생육의 차이를 살펴 보았다(Table 1). 구고는 연도와 재배시기에 따른 차이가 크지 않은 반면, 구폭은 해 또는 시기에 따라 차이가 나타났다. 또한 엽장은 해에 따른 차이를 보였으나 재배시기에 따른 차이는 없었다. 엽폭은 해와 재배시기에 따라서 차이를 보여, 엽장이나 구고와 달리 엽폭과 구폭이 서로 유사한 생육반응을 나타냈다. 해에 따른 변이는 온도, 광량, 토양수분 등의 환경요인에 의한 차이가 반영된 것이므로 엽장이나 구고의 변이도 엽폭이나 구폭에서 나타난 변이와 유사한 경향을 보였어야 하지만 그렇지 않았던 것은 기상환경요인에 의한 차이보다는 인위적인 영향 즉, 재배 중 사용된 생장조정제의 불균등한 생육반응 때문이 아닌가 생각된다. 또한 위의 결과로 볼 때, 생장조정제가 엽폭보다는 엽장에 더 강하게 작용한 것으로 보인다(MAFF, 2003).
한편 고랭재배추의 수량예측에 사용될 각각의 변수들이 수량요소인 구중과 어떤 관계가 있는지를 알아보기 위하여 고랭지배추 주요 재배지에서 조사된 생육량을 가지고 구중과의 상관을 분석하였다(Table 2). 내엽수가 적으면서 외엽수가 많을 경우, 내엽수는 구중과 고도로 유의한 정상관을 보였으며, 대체로 외엽수는 부의 관계를 나타냈다. 생장조정제를 사용하는 일반재배와 달리 사용하지 않은 재배에서는 엽장이 구중과 부의 상관을 보였는데, 이는 엽장이 도장하여 엽장이 클수록 구가 작아진 결과로 생각된다. 여러 변수 중에서 구고와 구폭이 대체로 구중과 통계적으로 유의한 결과를 나타냈다. 위와 같은 결과로 볼 때, 고랭지배추 수량예측을 위한 회귀분석 시에 단순히 몇가지 기상요인만을 고려하면 생장조정제 등의 생육에 미친 영향이 누락될 수 있으므로 재배시기 또는 재배지역간의 차이를 고려하여 재배지 권역별 실측 생육량을 포함하여 설명변수로 사용하는 것이 좋을 것으로 판단되었다.
다른 한편으로는 고랭지배추의 생산량에 영향을 미치는 가장 큰 요인은 병 또는 생리장해의 발생이다(Table 3). 토양전염성 균에 의해 발생하는 뿌리혹병은 저항성 품종 및 적극적인 약제방제로 점차 감소하고 있으나, 아직도 여러 곳에서 뿌리혹병 피해가 나타나고 있으며, 조사필지별로는 100%까지 발생하여 전혀 수확하지 못하는 경우가 발생하기도 하였다. 무름병은 필지별로 최고 20%수준까지 발생하였으며, 일부지역에서는 흑반병이 발생하기도 하였으나 상품성에 영향을 미치지는 못하였다. 또한 최근 그루썩음병이 급격히 증가되고 있다. 다만 주기적인 약제방제로 해충에 의한 피해는 없었으나 가뭄이나 적기 물관리 미흡으로 수분부족에 따른 칼슘결핍증 등 생리장해 발생이 많아져 피해가 나타나고 있다. 이와 같이 품질이나 수량에 직접적으로 영향을 미치면서도 상황에 따라 급변하는 병해충발생, 생리장해 등 수확률에 관여하는 요인들은 예측의 신뢰도가 낮으므로 현장의 자료를 실시간으로 조사하여 생산량 산정에 활용하는 것이 좋을 것으로 생각된다.
고랭지배추 생장특성 분석
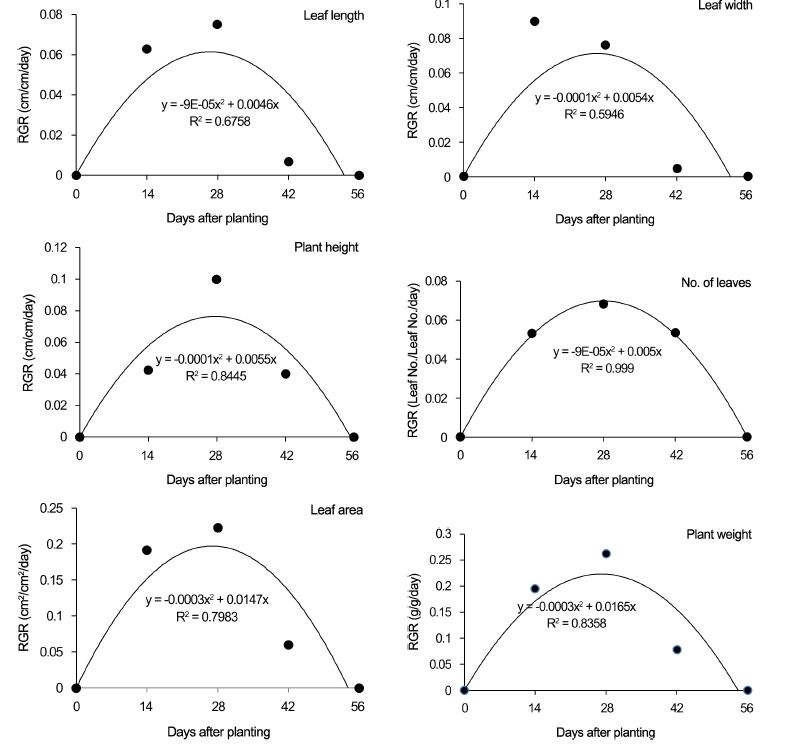
배추의 상대생장률을 살펴보면(Fig. 2), 배추의 상대생장률은 점점 증가하여 정식 후 21일에서 28일 사이에 peak를 보였고 그 이후 점점 낮아져 대체로 정식 후 8주 경에는 0 가까이에 이르렀다. 특히 주중의 상대생장률이 최고 0.25g/g/day정도로 가장 높았는데, 주중의 증가는 엽수의 증가뿐 아니라 엽장, 엽폭 및 각각의 엽육 두께의 증가가 중첩되어 나타났기 때문으로 생각된다. 한편 주중, 엽면적, 엽수의 상대생장률이 정식 후 8주경에도 다소 높게 지속되는 것과는 달리 엽장과 엽폭의 상대생장률은 6주 경에 이르러 생장이 둔화되는 결과를 보였는데, 이는 배추의 엽장과 엽폭의 측정은 외부엽 중 가장 큰 잎의 길이를 측정한 것으로, 대체로 생장조정제의 영향을 직접적으로 더 많이 받았기 때문으로 생각된다. 그런데 엽폭과 엽장의 상대생장률을 살펴보면 엽장보다는 엽폭의 최고상대생장률이 높으며 엽폭 상대생장률 추세식의 결정계수가 더 높았는데, 엽폭이 엽장보다 생장조정제의 영향을 덜 받았기 때문으로 해석된다. Fig. 3은 주중의 상대생장률과 엽면적 등 기타 생장량의 상대생장률의 관계를 나타낸 것이다. 엽면적과 주중 상대생장률 간 관계식의 기울기가 가장 높았으며, 나머지는 엽면적 1/3-1/4수준으로 낮은 값을 나타냈는데 다른 생육량과는 달리 주중의 증가속도와 엽면적의 증가 속도가 거의 유사하다는 것을 확인할 수 있었다. 한편 수확 시의 생육량과 구중의 상관분석의 결과는 Table 4와 같다. 앞의 결과에서 나타났듯이 구중과의 상관계수가 엽면적이 가장 높았으며, 그 다음이 내엽수, 초고, 외엽수, 구고 순으로 통계적으로 유의한 정의 상관을 보였고, 엽장과 엽폭은 부의 상관을 보였다. 이와 같은 결과는 앞서 밝힌 바와 같이 생장조정제의 영향으로 판단된다. 생장조정제로 사용되는 디니코나졸은 triazole계 물질로 GA의 생합성을 억제하여 배추의 웃자람을 방지하고 배추의 엽수를 약 10매 정도 증가시키는 것을 밝혀져(MAFF, 2003) 고랭지배추 재배에 일반적으로 사용되고 있는데, 디니코나졸에 의한 외엽생장의 억제가 오히려 구를 완성시키는데 효과를 나타내므로, 단지 엽장이나 엽폭 등 외엽생장량만을 가지고 구중을 예측하는 것은 다소 한계가 있다고 판단된다. 수량에 영향을 미치는 요인으로 종자, 재배기술, 병충해, 일조시간, 강우량 및 기온 등 여러요인이 있는데, 이 중 어느 특정요인을 수량예측식에 동원한다고 해서 항상 회귀식의 설명력이 향상되는 것은 아니며, 이는 각각의 많은 여러 요인들이 복잡하게 작용하기 때문이다(Choi et al., 2014). 이에 본 연구에서는 위의 여러 요인들 중에서 재배기술은 평준화되어 있고, 기온의 영향이 가장 높으므로(Lee, 1996), 결정계수가 다소 낮았던 비파괴 생육량에 의한 구중추정식에 유효적산온도인 GDD를 포함시켜 보완할 목적으로 배추의 생장과 GDD와의 관계를 파악하였다. GDD에 따른 배추의 생장량은 정식기에 따라 다소 차이는 있었지만 Ahn et al.(2014)결과와 유사하게 시그모이드 커브를 나타냈는데(Fig. 5), GDD증가함에 따라 생육량이 증가하다가 어느 수준에 이르면 더 이상 증가하지 않는 결과를 보였다.
|
Fig. 3. Relationship between relative growth rate of plant weight and other variables of Kimchi cabbage cultivated in Daegwallyeong during summer season, 2012. |
배추의 생장량 및 GDD에 근거한 구중예측 회귀분석
수확 시에 측정한 모든 생장량과 비파괴 측정량 등 2그룹으로 나누어 구중추정을 위한 회귀분석을 실시하였다(Table 5). 측정된 모든 생장량에 의한 모형식은 엽면적, 구폭, 외엽수, 엽장 등 4개의 변수가 선택되었으며, 결정계수는 0.954, Cp는 1.5912로서 수확기의 생육측정변수로 구중을 충분히 예측할 수 있었다. 그런데 구중 추정을 위해 중회귀모형을 적용할 경우, 종속변수에 영향을 미치는 변수 중에서 가능한 모든 변수를 설명변수로 선택할 경우 비효율적이므로(Kim, 1992), 엽면적이 구중과 가장 높은 상관관계를 갖고 있기는 하지만(Table 4), 측정하는데 시간과 측정장비가 소요되는 엽수나 엽면적 등의 생장량을 제외하고, 엽장, 엽폭, 구고, 구폭 등 비파괴적으로 손쉽게 측정할 수 있는 생장량들만을 가지고 회귀분석한 결과, 구중추정식의 결정계수가 0.676으로 상대적으로 다소 낮았으나 구중을 어느 정도 예측할 수 있었으며, 여기에 생장량 이외의 다른 관련변수를 포함시켜 예측의 정도를 향상시킬 필요가 있는 것으로 판단되었다(Fig. 4).
GDD는 적산온도이므로 배추의 생장에 미치는 영향은 2가지 측면에서 고려되어야 할 것으로 생각된다. 하나는 정식 후 시간이 경과함에 따른 GDD의 누적의 영향으로 정상적인 생장온도범위에서는 GDD가 높아질수록 생장량이 많아지지만(Sammis and Wu, 1989), 다른 한편으로는 배추는 저온성 작물이기 때문에 여름철 재배에서 GDD가 높다고 항상 생육이 좋은 것은 아니며, 이런 경우에는 오히려 고온 스트레스로 생육이 지연 될 수 있기 때문이다. 실제로 2012년부터 2014년까지 조사한 고랭지배추 재배지에서 수확 시에 조사된 구중과 GDD는 부의 상관을 보였다(Table 6). 이와 같은 결과는 고온에 의한 생장지연(Moon et al., 2014) 뿐 아니라 폭염 등에 의한 피해와 토양수분 부족의 효과가 중첩되어 나타날 수 있으며, 또한 적기가 지나서 수확하기 때문으로 풀이된다.
생육량이 기상환경의 영향을 종합적으로 나타낸 결과라 하더라도 비파괴 측정생육량만을 가지고 작성된 구중 추정식의 한계를 극복하기 위하여 기상요소인 GDD를 포함하는 구중추정식을 작성한 결과, 다음의 식으로 나타낼 수 있었으며(식 (3)), 이 모형회귀식에 의해 추정된 값과 실측치를 비교한 결과, 결정계수 0.92로서 비교적 실측값에 유사하게 추정되었음을 확인할 수 있었다(Fig. 6).
|
Fig. 6. Model testing showing the relationship between estimated and measured head weight of highland Kimchi cabbage investigated at farmers’ fields from 2012 to 2014. |
구중(g) y=6897.5-3.57×GDD-136×LW+116×PH+155×HH-423×HW+0.28HH×HW×HW (r2=0.989) (3)
여기서, GDD: 생육도일, LW: 엽폭, PH: 초고, HH: 구고, HW: 구폭이다. Ahn et al.(2014)도 유효적산온도와 엽면적과의 관계로부터 고랭지배추 구중 추정식을 도출하고 실측치와 비교하였을 때 결정계수 0.89~0.94범위로 나타나 생육정도의 모의가 비교적 실측값에 유사하다고 밝힌 바 있으며, 봄배추의 경우 GDD만으로 생산량을 추정할 수 있다고 하였다(Lee et al., 2012). 따라서 여름배추의 경우에서도 배추 비파괴 측정 생장량에 GDD를 포함함으로써 구중의 예측 정도가 더 향상되었을 것으로 판단된다.
구중예측회귀식의 보정 및 수량산정
구중 추정에 여러 기상요소 중 온도의 영향을 포함시키기 위해 GDD변수를 추가하였지만, 다른 한편으로는 GDD 도입에 따른 오류가 나타날 수도 있다. 배추의 생장속도는 24°C까지는 증가하다가 그 이상에서는 오히려 감소한다고 하였는데(Moon et al., 2014), 실제로 기상자료의 분석에 의한 수량예측연구에서 재배시기의 온도에 따라서 수량이 증가하기도 하고 때로는 감소한다고 밝힌 바 있으며(Kim et al., 2013; Park et al., 2014), 이와 같은 결과는 가을배추에서도 동일하게 나타났다(Kim et al., 2013). 때문에 단수와 기후변화를 기초로 한 고랭지배추의 추정단수는 해에 따른 기후의 변화로 크게 달라져 통계적으로 유의하지 않다고 하였다(Kim, et al., 2006). 또한 Han et al.(2011)은 고랭지배추의 기상요소를 이용한 단수예측에서, 기온이 지속적으로 증가하다가 최적온도를 지나면 오히려 단수가 감소된다고 보고하였다. 이처럼 GDD는 누적적산온도의 개념으로 일정부분 생육기간의 길이도 내포하고 있어서 정상적인 생육온도조건에서는 GDD가 증가하면 생육량이 많아지게 되지만(Fig. 5), 고랭지배추 재배시기는 고온기이기 때문에 GDD가 높은 것이 수량감소의 방향으로 작용할 수도 있다(Table 6). 이와 같이 GDD 도입에 따른 비정상적인 온도의 영향을 최소화하기 위해 실측 생장량과 GDD에 따른 생장변화곡선(Fig. 5)으로부터 도출된 예측 생장량(y = 22.2/(1 + EXP [ - (GDD - 333.2)/113.1]), r2 = 0.969)의 비(식 (4))로 구중추정을 위한 예측식에 보정하였다. 이 때 예측 생장량은 생장조정제의 영향을 덜 받는 엽폭값을 기준으로 하였다(MAFF, 2003).
GDD도입에따른보정항=
(4)
여기서, GDDLW: GDD에 의한 추정 엽폭, LW: 실측 엽폭이다. 또한 토양수분함량에 따른 영향을 적용하여 구중식을 보정하고자 배추 재배지의 토양수분함량에 따른 배추의 생육량의 관계를 적용하였다(식 (7)). 고랭지배추 재배기간 중 재배지의 토양수분 함량 범위는 대체로 10-27%였다. 토양수분 25%에서의 엽 생장속도는 10%이하일 때보다 2-3배 빠르며, 토양수분이 부족한 경우 생장속도가 매우 지연되는 것을 알 수 있었다. 또한 엽폭의 상대생장률(y = - 0.0039X2 + 0.0285X + 0.0084, r2 = 0.985, X: 정식 후 일수)은 생육단계에 따라 다르므로(Fig. 5), 추정된 구중을 보정하는데 토양수분의 영향 뿐 아니라 생육단계 따른 생장속도를 포함시킬 필요가 있다고 판단하였다. 이에 토양수분부족의 영향은 실측 수분함량에 의한 추정 엽폭(RSLW)과 실측 토양수분 및 상대생장률에 의한 추정 엽폭(SDLW)의 비로써 식 (5)에 의해 산출하여 생장량과 GDD에 의해 추정된 구중을 보정하고자 하였다.
생장 특정 구간 토양수분부족에 따른 보정값 =
(5)
SDLW (cm) = DLW × DIG/TIG + NLW (1-DIG/TIG) (6)
RSLW (cm) = Σ (0.0173 × SW + 0.1138) (7)
여기서, SDLW: 특정구간 상대생장률에 의한 추정엽폭, RSLW: 실측수분함량에 의한 추정 엽폭, DLW:토양수분함수에 의한 건조구간의 엽폭증가량, NLW: 토양수분함수에 의한 비건조구간 엽폭증가량, DIG: 엽폭상대생장률에 의한 건조구간적분값, TIG: 엽폭상대생장률에 의한 전생육기간적분값, SW: 일별 토양수분, X: 정식 후 일수이다.
배추의 수분은 95%정도로 체내 생체 대사뿐 아니라 중량의 변화 큰 영향을 미치므로(HARI, 2002) 토양수분이 생육에 미치는 영향을 포함시켜 추정 구정을 보정하고자 하였다. 작물에 따라서는 생육에 관여하는 기상요인은 생육구간 또는 생태적 특성에 따라 기상요인의 작물의 생육에 미치는 영향이 다르게 나타날 수 있다(Park, 1988). 광합성과 작물생육의 측면만을 보면 일조시간이 많을수록 생육이 좋을 것으로 판단되지만(Monteith and Moss, 1977) 반대로 일조시간이 많은 경우에는 강한 일사량, 또는 고온에 의한 작물스트레스를 받을 수도 있으며, 또한 이 때에는 강수량이 적을 가능성도 있고, 높은 증발산으로 토양수분이 부족하여 작물의 생육에 부의 영향을 미칠 수도 있기 때문에 하나의 기상요소를 단순하게 적용하여 해석하는 것은 다소 무리가 있다고 생각된다. 고랭지배추재배지는 경사지가 많고 배수가 대체로 잘되므로 과습에 의한 영향보다는 토양수분부족에 의한 영향이 클 것으로 판단된다.
다만 토양수분함량은 강수량에 따라 진폭이 심하고 그에 따라 많을 때는 과습 피해가 나타나고 적을 때는 건조피해가 나타나는 등 변이가 심한 재배환경요소이기 때문에, 적산온도의 GDD와 같이 총량 개념을 적용하여 추정식의 변수로 활용하지 않는 대신에 생육량과 GDD에 의한 구중 예측식을 보정하기 위한 수단으로 활용하는 것이 더 합리적일 것으로 생각된다.
한편 많은 자료를 분석하여 수량을 예측·산정하는 것이 쉬운 일은 아니다. 이에 앞에서 도출된 구중추정식이 포함된 수량예측산정 시트, 생육조사data 시트, 일평균온도 시트 및 토양수분함량data 시트로 구성되는 Excel spreadsheet model을 작성하였으며(Supplementary Fig. 1), 이를 이용하면 수량산정을 용이하게 할 수 있을 것으로 여겨진다.
일반적으로 수량예측은 온도, 광, 수분, 양분 등 작물의 생장에 관여하는 주요한 요인들에 대한 반응값을 토대로 작물의 생장량 예측을 하지만 이러한 조건은 적용범위가 정상적인 생장조건에서 검토된 결과로 판단된다. 이런 측면에서 생육 적온이 18-22°C인 호냉성 작물인 배추(HARI, 2000)를 고온기에 재배하는 여름 작형에서 이들 주요 변수들의 작용이 어떻게 반영될지 판단하기는 쉽지 않을 것이다. 작물, 생육단계, 지역 등에 따라서 생육반응이 다르기 때문이다(Park, 1988; Kim, 1992; Moon et al., 2014). 또한 기상요인은 이벤트성의 피해로 경우에 따라 변이가 크므로 실사에 의존하는 것이 타당하다(Park et al., 2014). 즉, 당년의 기상조건에서의 생육을 기초로 해야 예측의 정도를 더 향상할 수 있지 않을까 생각된다. 따라서 본 연구에서는 이들 재배환경의 여러 요인들이 종합적으로 반영된 실시간 생육data를 근간으로 구중을 추정하였다.
배추의 구중을 예측하는데 구중과의 상관성을 분석해 보면 엽수, 엽면적과는 깊은 관계가 있다(Table 4). 그런데 현장에서 실제로 엽수나 엽면적을 조사하기 위해서는 식물체를 손상시킬 뿐 아니라, 엽장, 엽폭, 초고 등 외형적 생육량을 측정하는 것에 비해 시간이 많이 소요되며, 또한 특수장비도 요구되는 등 현실적으로 여러 포장에서 표본을 채취하여 조사하는 것도 쉬운 일은 아니다. 따라서 현장에서 쉽게 측정할 수 있는 비파괴 측정 생육량, 즉, 엽폭, 엽장, 구고, 구폭 등을 조사하여 이들만을 가지고 구중을 추정하고자 하였다. 여기에 포기의 형태를 고려하여 구고와 구폭을 승산한 응용변수를 적용하기도 하였다. Moon et al.(2014)의 광 이용효율을 이용한 간단한 배추 생육모형 연구에서, 온도에 따른 엽면적 증가예측으로부터 엽면적지수를 추정하고 이에 광 이용효율을 적용하여 건조중을 예측하고자 하였으나, 배추는 구중 증가에 영향을 미치는 대부분의 잎은 구 내에 있어 광을 흡수하지 못하기 때문에 단지 구중과 엽면적의 상관이 높다고 엽면적 지수와의 관계로부터 구중을 예측하기에는 다소 불합리한 점도 엿보인다. 또한 고랭지배추의 적산일사량은 고랭지배추의 건물중과 큰 관련이 없고(Ahn et al., 2014) 생체중과 일사량의 상관성이 높지 않으므로(Weng et al., 1999) 적산일사량은 구중추정식에서 고려하지 않았다. 이에 고랭지배추재배지 권역별 위도 및 해발에 따른 기온의 특성을 반영할 수 있는 유효적산온도인 GDD만을 추가하였으며, 천후 의존적 관행 재배방식으로 인해 작물의 생장에 많은 영향을 미치는 토양수분과, 재배 중 예기치 않게 발생하는 병이나 해충에 의한 피해 등 현장의 상황을 반영하고자 하였다.
고랭지배추의 수량예측은 정확한 재배면적 정보로부터 시작된다. 여기에 기상환경, 토양환경 및 재배기술에 따른 작물의 작황에 근거하여 추정하여야만 좀 더 정확한 예측이 이루어질 것이다. 또한 어느 특정 지역만의 표본조사에 국한된 값을 전체에 적용하는 것은 무리가 있으므로, 고랭지배추 재배지를 준고랭지 1기작, 준고랭지 2기작, 고랭지 등 작형별로 나눌 뿐 아니라, 평창, 태백, 정선, 삼척, 강릉 등 고랭지배추 재배지를 지역별로 세분화하고 그 값의 총합에 의해서 전체 생산량을 파악하는 것이 더 합리적이라고 판단된다.
한편 수량예측 및 산정을 편하게 할 수 있도록 기존의 모형이 통계패키지에서만 구동되는 방식과는 달리 수시로 변동되는 변량을 바로 입력하여 파악할 수 있도록 엑셀스프레드시트 모형을 작성하였다(Fig. 7). 이 모형에서 고랭지배추 총 생산량은 재배면적, 재배기간 중 GDD와 수확 시의 비파괴측정 생육량에 근거한 예측구중, 단위당 재식주수, 상품률, GDD도입 보정값, 재배중 토양수분영향 및 건조기간에 따른 보정에 의해 산출할 수 있었으며, 총생산량은 y = 재배면적 × 재식주수 × (6897.5 - 3.57 × GDD - 136 × 엽폭 + 116 × 초고 + 155 × 구고 - 423 × 구폭 + 0.28 × 구고 × 구폭 × 구폭) × (GDD 추정 엽폭/엽폭) × (상대생장률 추정 엽폭/토양수분에 의한 추정 엽폭) × 상품률의 식으로 나타낼 수 있었다. 최근 고랭지배추의 수급안정을 위해 매년 주기적으로 작황이 모니터링되고 있는 바, 본 연구는 고랭지배추 생산량 예측의 정도를 높이기 위한 한 시도로서 개발된 모형을 앞으로 좀 더 발전시킨다면 고랭지배추의 수급안정을 위한 생산량 예측에 잘 활용될 수 있을 것으로 기대된다.








