서 언
재료 및 방법
식물재료와 재배조건
광도조절
분용토
액비 농도 및 처리 횟수
생육조사 및 통계분석
결과 및 고찰
노루귀의 적정 광도와 내음성
적정 분용토 선발
적정 시비 조건 구명
서 언
노루귀(Hepatica asiatica Nakai)는 우리 나라 자생식물로서 어린 잎이 노루귀를 닮았다고 해서 노루귀라고 불리고 있다. 우리나라에는 노루귀(H. asiatica Nakai), 새끼노루귀(H. insularis Nakai), 섬노루귀(H. maxima Nakai) 3종이 있으며, 일본에서 유끼와리소(雪割草)라는 이름으로 불리고 있다. 일본 이름인 유끼와리소(雪割草)는 눈을 쪼개고 나오는 초본성 식물이라는 뜻으로 노루귀는 눈이 채 녹기도 전에 꽃이 눈 위로 올라오면서 필 정도로 이른 봄에 개화한다(Iwahuchi, 2009). 일본에서는 다양한 변이종과의 교배를 통하여 오래전부터 다양한 화형과 화색의 노루귀가 개발되어 있으며, 홑꽃뿐만 아니라 겹꽃의 아름다운 품종들이 소비자들의 요구를 충족시켜 주고 있다(Iwahuchi, 2009). 우리나라에서는 아직까지 노루귀에 대한 소비가 획기적으로 늘고 있지는 않지만, 취미 원예가들을 중심으로 소비가 차츰 증가하고 있는 추세이다. 특히 내음성이 좋은 것으로 알려지면서 실내조경용 식물로도 주목을 받고 있다.
자생식물을 분화로 개발하기 위해서는 그 식물이 좋아하는 환경조건을 충분히 알아야 한다. 특히, 생육에 적정한 광도나, 용토, 그리고 시비조건 등에 대한 정보가 확보되어야 한다. 지금까지 노루귀에 대해서는 자생지 환경(Lim and Sang, 1990), 약리적 효과(Park et al., 1998), 식물학적 분류(Kim and Lee, 1994)와 재배화를 위한 자생지 생육환경(Lim, 1989) 등이 있을 뿐, 재배환경에 대한 연구보고는 없는 실정이다.
Lee et al.(2007)은 몇 가지 자생화훼식물의 광도차에 의한 생육반응을 조사하였고, Son and Yeam(1988)은 관엽식물에 대한 적정광도를 조사하였다. Lee et al.(2013)은 자생 복주머니란의 순화재배를 위한 용토를 선발하고자 실험을 수행하였으며, Son and Chae(2003)는 타래난의 분화품질을 향상시키기 위해 광도, 식재용토 및 생장억제제 사용에 관한 실험을 수행하였다. 이외에도 분화용 자생 양치식물(Lee, et al., 2003), 앵초, 비비추 및 노루오줌(Jeong and Park, 2003)에서도 적정광도를 위한 실험을 수행하였다. 또한 몇 가지 바위솔 식물에 대해 차광정도가 생육에 미치는 영향에 관한 연구결과가 보고되어 있다(Kim et al., 2003).
본 연구에서는 노루귀를 관상용으로 농가에서 대량 재배하고자 할 때 적정 광도와 분용토 그리고 시비수준 등을 구명하기 위해 실험을 수행하고 그 결과를 정리하였다.
재료 및 방법
식물재료와 재배조건
노루귀(H. asiatica Nakai) 유묘를 2011년 4월 경기도 산유화 자생식물원에서 구입하여 직경 11cm 플라스틱 분에 옮겨 심었다. 이때 분용토는 적정 분용토 선발을 위한 실험을 제외하고 마사토:유비상토:모래(60:10:30, v/v/v) 배합토를 사용하였으며, 기비로 고형비료(하나로 완효성비료, KG 케미칼)를 포트당 0.8g씩 섞어 주었다. 관수는 분용토의 건조 상태를 보아가며 매일 1회 오전에 살수관수하였다. 실험은 4월 9일부터 7월 11일까지 약 90일 동안 온실에서 재배하였다. 실험을 수행한 온실은 비닐 한겹이 씌워진 단동 플라스틱 하우스였으며, 비닐 외부를 35% 차광망 한 겹을 씌워서 차광해 주었다. 재배기간 동안 온실 외부와 내부의 온도를 광도계(HD 9021, Delta OHM, Italy)를 사용하여 측정한 결과, 실험기간 동안 온실외부의 평균 광도는 274 ± 43μmol・m-2・s-1이었으며, 온실 내 평균온도와 습도는 각각 27 ± 6°C와 70 ± 20%이었다(Fig. 1).
광도조절
노루귀의 광도에 대한 반응을 알아보기 위해 농가의 관행재배 방식(분화재배 베드 밑)을 대조구로 하고 모든 처리구는 베드(분화 재배용 철망) 위에서 차광망을 달리하여 광도를 조절하였다. 외부 차광망(35%) 1겹을 기본으로 하고 내부에 35% 차광망 0, 1, 2겹, 그리고 90% 차광망 1겹으로 차광 정도를 달리하여 광도를 조절하였다. 이때, 실제로 측정된 차광율은 각각 52, 82, 90, 97%이었으며 베드 밑의 차광율은 98%이었다.
분용토
적정 용토를 선발하기 위해 다음의 6가지 용토, 즉, 마사토, 유비상토(원예용상토, 부농, 한국), 녹소토(Kanumatsuchi, Japan), 강모래, 수피, 밭흙을 다음과 같은 첨가비율로 사용하였다. 1) 마사토:유비상토:녹소토(60:10:30, v/v/v), 2) 강모래:유비상토:녹소토(50:30:20, v/v/v), 3) 강모래:유비상토:수피(50:20:30, v/v/v), 4) 밭흙:강모래(40:60, v/v)의 4 종류의 배합토를 만들어 실험에 사용하였다. 식물체를 정식하기 전에 고형비료(하나로 완효성 비료, KG케미칼)를 포트당 0.8g 섞어 기비로 이용하였으며 화분은 직경 11cm 플라스틱 포트를 사용하였다. 실험은 35% 차광망이 3겹 씌워진 상태(차광율 90%)의 베드 위에서 수행되었으며 관수는 매일 1회 살수 관수하였다. 시비는 하이포넥스(N:P:K = 20:20:20) 1,000배액을 1개월에 1회 정도 한 포트당 100mL씩 두상관비하였다.
액비 농도 및 처리 횟수
적정 시비수준을 알아보기 위해 액비 농도와 처리횟수를 다음과 같이 달리하였다. 대조구는 수돗물을 한 포트당 100mL씩 주 1회 처리하였고, 액비로는 하이포넥스(Hyponex, Japan)를 1,000배와 2,000배로 희석하여 한 포트당 100mL씩 각각 주 1회, 또는 2주 1회 처리하여 총 4가지 시비 수준으로 시용하였다. 4월 9일부터 5월 27일까지는 육묘용 하이포넥스(N:P:K = 15:30:15)를 사용하였고, 5월 28일부터 6월 16일까지는 하이포넥스 생장용(N:P:K = 20:20:20)을 이용하여 처리하였다. 재배환경은 35% 차광망 3겹으로 차광한 베드 위(차광율 90%)에서 실험을 수행했으며 관수는 액비를 처리한 날을 제외하고 매일 1회 오전에 살수 관수하였다.
생육조사 및 통계분석
모든 실험에서 식물체를 한 처리당 30 포트씩 수정된 난괴법을 이용하여 배치하였다. 생육조사는 5월 19일과 7월 8일 두 차례에 걸쳐 실시하였다. 1차 생육조사에는 결주율, 초폭, 초장, 엽수를 측정하였고, 2차 생육조사에는 결주율, 초폭, 초장, 엽수, 지상부와 지하부의 생체중을 측정하였다. 수집된 데이터들은 SPSS(SPSS, Inc., USA) 프로그램을 이용하여 일원배치 분산분석(one-way ANOVA)과 Tukey 다중검정(p = 0.05)을 통하여 처리간의 유의성을 분석하였다.
결과 및 고찰
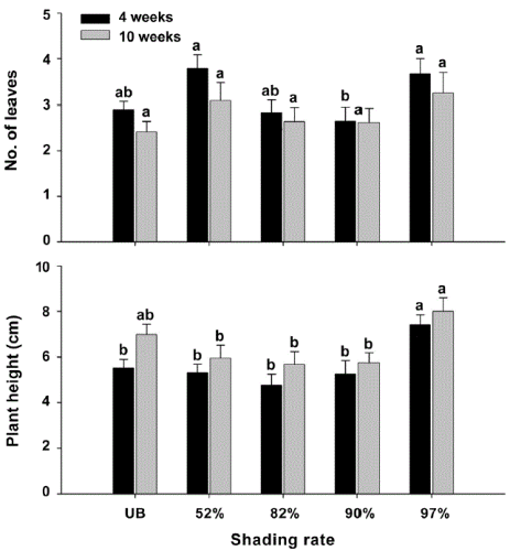
노루귀의 적정 광도와 내음성
|
Fig. 2. Leaf number and plant height of Hepatica asiatica Nakai grown under different shading rate. Different letters on the bars represent significant difference between the treatments. |
노루귀의 생육적정 광도와 내음성을 알아보기 위해 자연광을 52-98% 차광하고 5월부터 2개월 반 재배한 후, 생육조사를 수행한 결과는 Table 1 및 Fig. 2와 같다. 생존율은 차광율이 높을수록 높아졌으며 90% 이상의 차광율에서 생존율은 80% 이상이었다. 그러나 52%의 차광율에서는 생존율이 65%로 가장 낮았다. 이러한 결과는 노루귀는 꽃이 핀 뒤에는 주변에 있는 수목의 잎이 무성해져 매우 낮은 광도하에서 생육한다는 것을 생각해 보면, 지나친 광도가 오히려 해가 되었던 것 같다. 또한 초폭과 지상부 생체중에서 유의적인 차이가 보이지 않았지만, 지하부 생체중과 엽수에서는 52% 차광구에서 가장 좋은 것으로 나타나, 화분에 이식 후 활착이 완전히 이루어진 경우에는 52% 정도의 차광 하에서 생육이 양호할 수 있다고 생각되었다. 초장은 90% 차광까지는 차이가 없고 97%와 베드 밑(98%)에서는 증가하는 것으로 보아 90% 이상의 차광 하에서는 노루귀가 도장하는 것으로 생각되었다. 한편, 82%와 90% 차광에서도 노루귀는 건강하게 생육하는 것으로 나타나 노루귀가 내음성이 매우 뛰어난 식물임을 알 수 있었다. Lim and Sang(1990)도 노루귀의 자생지 생육환경에 관한 연구에서 개화기까지는 10,000Lux(185µmol・m-2・s-1) 정도의 반음지였으며, 개엽시부터는 1,000-5,000Lux(18.5-92.5µmol・m-2・s-1)정도라고 하여 자생지에서도 매우 낮은 광도에서 서식하는 것으로 나타났다. 우리나라 자생식물 중에는 노루귀뿐만 아니라, 바위솔(Kim et al., 2003)과 천남성(Lee et al., 2007), 그리고 새우난초와 떡바위풀(Lee at al., 1997)도 내음성이 뛰어난 것으로 보고 되었다.
적정 분용토 선발
분용토에 따른 노루귀의 생존율은 강모래:유비상토:녹소토(50:30:20)와 밭흙:강모래(40:60) 혼합구에서 각각 46%와 60%로 낮았으며, 마사토:유비상토:녹소토(60:10:30)와 강모래:유비상토:수피(50:20:30)에서 87% 이상으로 높았다(Table 1). 생존율이 낮은 처리구에는 모래가 많이 들어가거나 배수성이 떨어지는 유비상토나 밭흙이 많이 들어간 배합토였다. 반면에 생존율이 높은 배합토는 유비상토가 적게 들어가고 반대로 마사토나 수피와 같이 배수성과 통기성이 좋은 성질의 용토가 많이 들어간 경우였다. 지상부 생체중과 지하부 생체중에서도 배수성과 통기성이 좋은 성질의 용토가 많이 들어간 마사토:유비상토:녹소토(60:10:30)와 강모래:유비상토:수피(50:20:30)구에서 좋게 나타났다. 엽수와 초장에서도 마사토가 60% 들어간 배합토에서 가장 좋게 나타났다(Fig. 3). 이런 결과로 보아 노루귀는 토양에 대해 대단히 민감한 편이며 대량으로 노루귀를 재배하고자 할 때는 배수성과 통기성이 좋은 용토를 주 재료로 이용하는 것이 좋겠다고 판단되었다. 춘란의 경우도 통기성이 나쁜 모래나 밭흙을 이용했을 때, 부패율이 40%를 넘었다고 보고되었다(Kim et al., 2000). 춘란의 뿌리는 저수조직을 가지고 있어서 두텁고 건조에 매우 강한 대신에 과습에는 약한 특징이 있다. 노루귀의 뿌리도 육안관찰 시 일반 식물의 뿌리와는 달리 두터웠으며, 건조에는 강하고 과습에는 약할 것으로 판단되었다.
적정 시비 조건 구명
|
Fig. 3. Leaf number and plant height of Hepatica asiatica Nakai grown under different pot medium. Different letters on the bars represent significant difference between the treatments. |
|
Fig. 4. Leaf number and plant height of Hepatica asiatica Nakai grown under different fertilization level. Different letters on the bars represent significant difference between the treatments. |
|
Fig. 5. Photographs of potted Hepatica asiatica Nakai cultivated under various fertilization levels in a plastic house for 10 weeks. |
적정시비량을 알아보기 위해 하이포넥스 액비(Hyponex, Japan)를 1,000배 또는 2,000배액으로 희석하여 주 1회 또는 2주 1회 관주처리 하였다. 그 결과는 Table 1과 Fig. 4와 같다. 생존율은 1,000배액을 주 1회 처리한 구에서 65%로 가장 낮았다. 대조구를 포함한 다른 모든 처리구에서는 85% 이상을 비슷한 수준을 보여 주었다. 시비수준이 가장 높았던 1,000배 희석액으로 주 1회 시비하는 것은 생육속도가 매우 느린 노루귀에게는 과도한 수준이었던 것 같다. 과도한 양분공급으로 식물체가 약해져 고사된 개체가 많았을 것으로 생각되었다. 그러나 생체중과 초폭, 엽수와 초장과 같은 다른 생육지표에서는 처리 간 유의적인 차이가 보이지 않았다. 이러한 결과들로 보아 노루귀는 지나친 시비 수준만 아니면 상당히 넓은 수준의 시비에서 적응할 수 있는 식물이라고 생각되었다(Fig. 5). 연화바위솔의 경우는 시비수준이 가장 높았던 하이포넥스 액비 1,000배 희석액으로 주 1회 시비했을 때, 생육에서 가장 좋은 결과를 얻어(Jeong et al., 2011), 본 실험 결과와는 상이하였다. 이는 식물종간의 특성 차이로, 노루귀는 생육 속도가 매우 늦기 때문에 지나친 영양공급이 오히려 억제적으로 작용했을 것으로 생각되었다. 돌나물에서도 질소 시비가 많아질수록 생육이 좋아졌으나 일정 이상(15kg・10a-1)의 질소 시비에서는 생육에서 차이가 나지 않았다(Lee et al., 2004)는 보고도 있다.
이상의 결과를 종합해 보면, 노루귀는 5월에서 7월 사이의 영양생장 기간 동안 자연광의 80-90% 정도로 차광해 주는 것이 좋으며, 분용토로는 통기성과 투수성이 좋은 녹소토나 바크를 주재료로 사용하는 것이 좋다고 생각되었다. 시비에 대해서는 처리간 유의적인 차이가 보이지 않아 폭 넓은 수준에 적응하는 것으로 여겨졌다.







