Introduction
Persimmon (Diospyros kaki Thunb.), a climacteric fruit with high nutritional values and favorable taste, is widely cultivated around the world and is used for medicinal purposes in some countries. In general, there are two types of persimmon, astringent and non-astringent (sweet), based on the level of soluble tannins at harvest. Astringency is the sensation that results from soluble tannins binding salivary proteins, which leads to a rough, ‘sandpapery’ feeling in the mouth (Novillo et al., 2015); therefore, non-astringent persimmons are most commonly used as freshs fruits (Song et al., 2005). Astringent persimmons are typically processed into dried or semi-dried commercial products (Yoo et al., 2016). ‘Tonewase’ is an astringent persimmon of Japanese origin that is cultivated in Korea, where it is known as ‘Dogunjosang’.
Astringent persimmon fruits are usually harvested when they are still hard but fully matured, whereas non-astringent persimmons are ready for harvest at the point of full coloration and when slightly soft in consistency. Persimmon fruits are extremely susceptible to physiological defects, particularly peel and flesh discoloration during cold storage and shelf life, which may be related to pre-harvest factors and low storage temperatures (Lee et al., 1993). Persimmon fruits harvested at less mature stages produce higher amounts of ethylene than fruits harvested at the commercially mature stage (Takata, 1983); these early harvested persimmons also have higher firmness and lower respiration rate than fruits harvested later in the season (Pekmezci et al., 1997).
Numerous approaches and industrial applications have been used to extend the shelf life of persimmon fruit and reduce fruit losses. One such application, 1-methylcyclopropene (1-MCP), an ethylene action inhibitor, is registered for commercial use on a wide range of horticultural crops (Watkins, 2008; Park et al., 2016). 1-MCP modulates the ripening physiology of persimmon fruit, delays softening, and inhibits ethylene production during storage (Harima et al., 2003; Luo, 2007; Besada et al., 2014; Novillo et al., 2015). Aminoethoxyvinylglycine (AVG) is a 1-aminocyclopropane-1-carboxylic acid (ACC) synthase inhibitor in the ethylene biosynthesis pathway (Boller et al., 1979) and is commonly used to suppress ethylene production in many climacteric fruits (Yang et al., 1982) for the maintenance of fruit quality both in the field and during storage. For example, ‘Tsugaru’ apples treated with AVG prior to storage showed improved fruit firmness and lowered ethylene production, compared with untreated fruits during short-term cold storage (Kang and Byun, 2002; Kang et al., 2006). In addition, the use of a low-density polyethylene (PE) film liner resulted in a significant delay of persimmon fruit ripening during long-term storage (Ben-Arie et al., 1991). Treatment with PE film bags reduced weight loss in apples (Watkins and Thompson, 1992) and lime (Ramin and Khoshbakhat, 2008).
Although previous studies have reported that treatment with 1-MCP affected the quality attributes of persimmon fruit during cold storage, little is known about the effects of AVG and PE film liner on persimmon fruit quality attributes during cold storage. Thus, our primary objective was to elucidate the effects of postharvest treatments on persimmon fruit during cold storage, and to evaluate the differences in fruit quality and storability of persimmons harvested at two different times.
Materials and Methods
‘Tonewase’ persimmon (Diospyros kaki Thunb.) fruits were collected from a commercial orchard in Sangju, Republic of Korea. The experiments were conducted in 2015 and 2016 to evaluate the effect of harvest time on fruit quality attributes. In 2015, the fruits were harvested on October 15 (corresponding to a normal commercial harvest date), and in 2016, fruits were harvested on October 5 (corresponding to an early harvest date). The fruits were transported immediately to the Laboratory of Horticultural Science at Kyungpook National University. Persimmon fruits without visible deformities, injuries, or infections were selected.
The same treatments were used in 2015 and 2016, which consisted of (1) storage of fruit in PE film liner bags (20 µm thickness, Taebang Patec Co., Ltd., Seoul, Korea) during cold storage, (2) fumigation of the fruit with 1 µL·L-1 of 1-MCP (SmartFresh, Agrofresh Co., Seoul, Korea) for 18 h in a sealed container, or (3) dipping the fruit samples in a solution containing 75 mg·L-1 of AVG (Retain, Valent BioScience LLC, Libertyville, IL, USA) for 5 min and drying for 1 h at ambient temperature, along with (4) untreated fruit for control. All fruits were then stored in -1°C and 90% relative humidity. Assessments of fruit quality were conducted at monthly intervals over periods of 3 and 4 months of cold storage in 2015 and 2016, respectively.
Fruit quality attributes, including ethylene production, respiration rate, flesh firmness, SSC, peel color variables [L*(lightness), a*(redness), and b*(yellowness)] in the calyx-end and equatorial regions, fresh weight loss, and storage (or physiological) disorders, were evaluated. To assess ethylene production, three fruits were collected from each treatment and placed in a 1.6 L enclosed container for 1 h, then 1 mL of headspace gas was withdrawn from each container with a syringe. Samples were then injected into a gas chromatograph (GC-2010, Shimadzu Co., Tokyo, Japan) with an activated column and a flame ionization detector (FID). Injector and detector temperatures were set to 100°C and 200°C, respectively, and an oven temperature of 90°C was used for evaluations of ethylene production and respiration rate.
Flesh firmness was determined using a digital penetrometer (Fruit Pressure Tester, FT-327, Alfonsine, Italy). Three measurements were taken around the equator of each fruit (n = 15) and results were expressed in newton (N) units. Peel color variables during storage were evaluated on the same fruit with a chromameter (CR-200, Minolta Co., Tokyo, Japan), with peel color variables (L*, a*, and b*) assessed in the equatorial and calyx-end regions of each fruit (n = 15). Measurements of SSC were made from 15 fruits with a digital refractometer (PR-201α, ATAGO, Tokyo, Japan). Fresh weight loss (n = 15) and the rate and severity of fruit softening, peel blackening, and fruit rot (n = 15) were evaluated throughout the storage period. The severities of peel blackening and fruit rot were scored as 0 = 0%, 1 = 1-10%, 2 = 11-25%, 3 = 26-50%, 4 = 51-75%, and 5 = 76-100% of total peel coverage.
All data were subjected to two-way ANOVA and mean differences were analyzed using Duncan’s multiple range tests at the p = 0.05 level. SPSS software (IBM SPSS Statistics 23, SPSS Inc., New York, USA) was used for all statistical analyses.
Results
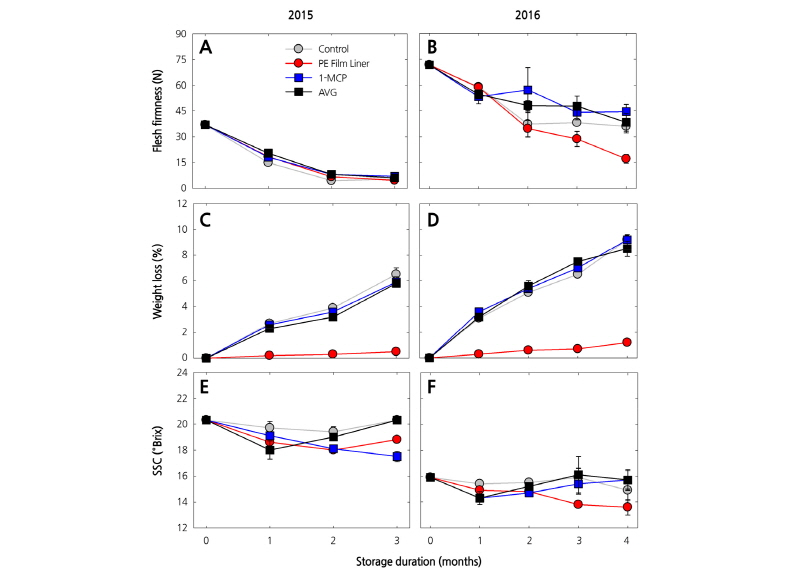
Flesh firmness of early harvested persimmon fruits (year 2016) was significantly affected by the PE film liner treatment, but this effect was also significantly declined by the end of the storage period, compared with fruits in the other treatments. In the normal harvested fruit (year 2015), none of the treatments significantly affected flesh firmness (Fig. 1A), whereas in the early-harvested fruit, fruit firmness was significantly reduced in fruit subjected to the PE film liner treatment, compared with the other treatments by the end of the storage period (Fig. 1B). Weight loss of persimmon fruit treated with the PE film liner was highly reduced during cold storage, compared with the other treatments, including the untreated control fruit in both years; therefore, the PE film liner treatment delayed weight loss during storage (Fig. 1C and 1D). Unstable SSC was observed in all treatments in the normal harvested fruit; the SSCs of fruits subjected to the PE film liner and 1-MCP treatments were significantly lower than those of fruits in the untreated control and AVG treatments from 2 months until the end of storage (Fig. 1E). In the early-harvested fruit, none of the treatments had a significant effect on SSC during storage (Fig. 1F).

Fig. 1. Effects of PE film liner, 1-MCP, and AVG treatments on flesh firmness, weight loss, and soluble solids content (SSC) of ‘Tonewase’ persimmon fruits harvested at the normal time in 2015 (A, C, and E) and early in 2016 (B, D, and F), and kept in cold storage at -1°C. All values are expressed as mean ± standard error (n = 15).
Ethylene production was not significantly affected by any of the treatments in both years (Fig. 2A and 2B). However, the respiration rate was significantly affected by the AVG treatment. In the normal harvested fruit, fruits subjected to the AVG treatment had the lowest respiration rates until the end of storage, which were lower than those of fruits in the other treatments during storage (Fig. 2C). The highest respiration rate at the end of the storage period in the normal harvested fruit was observed in fruit treated with 1-MCP (Fig. 2D), but this effect was not significant in the early-harvested fruit.

Fig. 2. Effects of PE film liner, 1-MCP, and AVG treatments on ethylene production and respiration rate on ‘Tonewase’ persimmon fruits harvested at the normal time in 2015 (A and C) and early in 2016 (B and D), and kept in cold storage at -1°C. All values are expressed as mean ± standard error (n = 15).
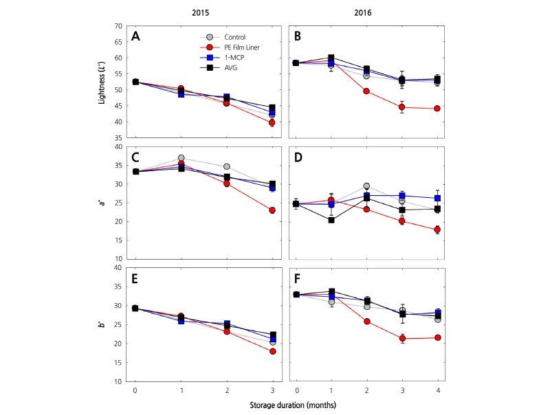
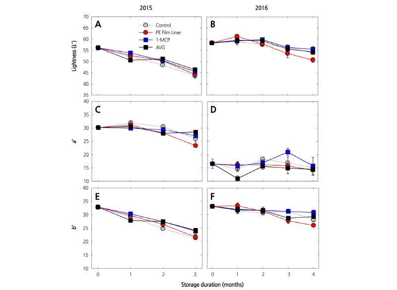
The responses of the peel color variables in the calyx-end regions differed significantly in both years, compared with the equator regions (Figs. 3 and 4). In the normal harvested fruit, the L*, a*, and b* values in the calyx-end region of fruit treated with the PE film liner were significantly lower than those in fruit treated with 1-MCP and AVG at the end of storage (Fig. 3A, 3C, and 3E). In contrast, the PE film liner treatment in the early-harvest fruit had a significant effect only for the a* value at the end of storage, compared with the other treatments (Fig. 3D). In the early-harvested fruit, the L*, a*, and b* values in the equatorial region of fruits treated with the PE film liner were significantly lower than those in fruits in the other treatments at the end of storage (Fig. 4A, 4C, and 4E). In the early-harvested fruit, significant declines were observed in the L* and b* values in equatorial regions of fruits treated with the PE film liner at the end of storage, compared with the other treatments (Fig. 4B and 4F).

Fig. 3. Effects of PE film liner, 1-MCP, and AVG treatments on the peel color variables (L*, a*, and b*) in calyx-end regions of ‘Tonewase’ persimmon fruits harvested at the normal time in 2015 (A, C, and E) and early in 2016 (B, D, and F), and kept in cold storage at -1°C. All values are expressed as mean ± standard error (n = 15).

Fig. 4. Effects of PE film liner, 1-MCP, and AVG treatments on the peel color variables (L*, a*, and b*) in equatorial regions on ‘Tonewase’ persimmon fruits harvested at the normal time in 2015 (A, C, and E) and early in 2016 (B, D, and F), and kept in cold storage at -1°C. All values are expressed as mean ± standard error (n = 15).
Fruit softening, rot, and peel blackening are the most common visual deformities observed in persimmons stored at low temperatures. In 2015, significant peel blackening was detected only in fruit treated with the PE film liner at 2 months of cold storage (Fig. 5A), and the highest degree of fruit softening was observed at 1 month in fruit in the 1-MCP treatment, at 2 months in fruit in the AVG treatment, and at the end of storage in fruit in the PE film liner treatment, compared with each of the other treatments (Fig. 5C). In 2016, peel blackening was only observed in fruit in the PE film liner treatment at the end of the storage period (Fig. 5B). Softening of fruit in the PE film liner treatment was significantly higher than that in fruit in the other treatments at 2 months and at the end of storage (Fig. 5D). Fruit decay was not observed in either year.

Fig. 5. Effects of PE film liner, 1-MCP, and AVG treatments on storage disorders such as peel blackening and incidence of softening in ‘Tonewase’ persimmon fruits harvested at the normal time in 2015 (A and C) and early in 2016 (B and D), and kept in cold storage at -1°C. All values are expressed as mean ± standard error (n = 15). The severity of storage disorders was subjectively scored as 0 = 0%, 1 = 1-10%, 2 = 11-25%, 3 = 26-50%, 4 = 51-75%, and 5 = 76-100%, with percentages representing the largest area of the peel showing the symptoms.
Discussion
The persimmon fruits used in this experiment were harvested at the normal ripening stage in 2015 and 10 d earlier in 2016, but subjected to the same treatments in both years. None of the treatments in this experiment had a significant effect on ethylene production during storage in both years. In contrast, ‘Rojo Brillante’ persimmon fruits had increased ethylene production, when fruits were transferred to shelf-life conditions after a prolonged cold storage period (Iranzo et al., 2010), and ethylene production was higher in ‘Sangjudungsi’ persimmon stored at -1°C than in fruit stored at 0.5°C (Yoo et al., 2016).
Fruits in the 1-MCP treatment exhibited a higher respiration rate in 2015 than fruits in the other treatments, but respiration rates were unaffected by AVG treatment, regardless of harvest date. No differences in respiration rate were observed in tomato treated with 1-MCP (Wills and Ku, 2002) or in ‘Tsugaru’ apple treated with AVG (Kang and Byun, 2002). However, the respiration rate in the normal harvested persimmon fruit was affected by 1-MCP treatment. In ‘Hachiya’ and ‘Fuyu’ persimmon stored at 0°C, the initial respiration rates of early harvested fruits were higher than those of the normal harvested fruits and the early harvested fruits attained climacteric levels faster (Pekmezci et al., 1997), a pattern similar to that observed in our study results.
Flesh firmness was affected by the PE film liner treatment in the early harvested persimmon fruit, but not in the fruit harvested at the commercially optimum time, compared with other treatments. The flesh firmness of fruit treated with the PE film liner was significantly lower than that of fruit in the other treatments at 3 months and 4 months in 2016, but decreasing firmness and non-significant responses were found for all other treatments in 2015. These results indicated that flesh firmness in the PE film liner-treated fruit decreased with the increase of ethylene production for the first month of cold storage, thereby contributing to the reduction of the peel L* value and ultimately enhancing fruit softening during cold storage. The early harvested fruits had higher flesh firmness at the time of harvest and could be stored for a month longer than fruits harvested at the normal time. For the fruits from the normal harvest date, firmness declined sharply, rendering these fruits unmarketable after 2 months of cold storage. Flesh firmness in ‘Tonewase’ persimmon fruits fell below 10 N after 3 d at 20°C (Nakano et al., 2002) and was unmarketable after 40-60 d of cold storage (Khan and Singh, 2008). However, in our study, the early harvested persimmon fruit could be stored for 4 months with only a gradual decline in firmness compared to the fruit harvested at the normal time. The flesh of fruit harvested at an earlier date was more firm and softened at a slower rate than that of normal commercial harvested fruit (Pekmezci et al., 1997).
The degree of fresh weight loss is another indicator of fruit quality during cold storage. Persimmon fruit in the PE film liner treatment exhibited significantly reduced weight loss, compared with fruit in the other treatments. In contrast, applications of AVG and 1-MCP failed to delay weight loss in peach (Cetinbas et al., 2012) and tomato (Wills and Ku, 2002) during cold storage, and Moura et al. (1997) found that ‘Taubate’ persimmon fruit stored in PVC film packaging experienced little weight loss after 72 d at 0°C. Moreover, Harima et al. (2002) reported that storing ‘Tonewase’ persimmons in PE bags with CO2 treatment significantly suppressed fruit softening and weight loss, and Basseto et al. (2005) noted higher rates of weight loss in guava fruit that had been treated with 1-MCP. In addition, the SSC of the normal harvested fruit treated with the PE film liner and 1-MCP was significantly lower than in the controls and the AVG treatment after 2 and 3 months of cold storage. No significant effects were detected for the SSC of the early-harvested fruit; however, the SSC level was affected to a greater degree in normal harvested fruit. Turk (1993) observed that SSC levels in ‘Fuyu’ persimmon wrapped in 30 µm PE film continuously declined over 80 d of storage at 1°C.
Changes in peel color are also used to evaluate fruit quality during cold storage. When comparing between the two tissue regions, peel color variables in the calyx-end regions exhibited a more significant response than equator tissues, especially in the fruit subjected to the PE film liner treatment. Moreover, the calyx-end regions responded much more rapidly than the equatorial tissue regions, indicating that fruit ripening occurs earlier in the calyx-end regions than in the equatorial regions (Yoo et al., 2016). In the calyx-end regions, the values of the peel color variables (L*, a*, and b*) in the PE film liner treated fruits in both 2015 and 2016 were significantly lower than those in fruits in the other treatments, whereas in equatorial regions, the a* value in 2015 and the L* and b* values in 2016 of fruits in the PE film liner treatment were only significantly affected, compared with the other color variables in the other treatments. It was likely that the early harvested fruit would be responded faster in terms of color variables than normal harvested fruit, and the increase in redness (a* value) was slower in early harvested persimmon fruit than in normal harvested persimmon fruit (Pekmezci et al., 1997).
Fruit peel blackening was detected at 2 months in 2015 and 4 months in 2016, mostly in fruits in the PE film liner treatment. This result indicated that fruit ripening in terms of flesh firmness might contribute to the incidence and development of fruit peel blackening and softening, although the PE film liner treatment may have caused enhanced fruit softening in 2016. Neither fruit rot nor decay was observed. Cia et al. (2006) failed to detect symptoms of decay in persimmon wrapped in 50 µm LDPE film liner after 3 months of cold storage, whereas Yoo et al. (2016) observed peel blackening and fruit rot in ‘Sangjudungsi’ persimmon stored at -1°C and 0.5°C. Less than 50% fruit softening was observed in both years, and firmness was lower in fruit in the PE film liner treatment at the end of storage. In addition, early harvested persimmons could be stored for a month longer than normal harvested persimmons in the present study. And the flesh firmness and fruit softening of ‘Fuyu’ persimmon packaged in LDPE films (Ben-Arie and Zutkhi, 1992) were also similar to the result of this study.
Our results showed that early harvested persimmon fruit performed better than normal harvested fruit during cold storage. Furthermore, similar results were observed with the PE film liner treatment regardless of the time of harvest. Even though the PE film liner treatment delayed fresh weight loss during storage, it reduced the values of color variables and firmness more than the other treatments. As fruits were harvested 10 d earlier in 2016 than the normal conventional harvest in 2015, fruit SSC levels would not be comparable during cold storage. In 2015, fruit softening did not differ much in any of the treatments, but was enhanced by the PE film liner treatment in 2016. The relatively immature fruits harvested in 2016 would be much firmer and had lower respiration, ethylene production, and SSC levels than the fruits from 2015. The PE film liner treatment caused enhanced fruit softening, compared with the other treatments during cold storage. In conclusion, early harvested ‘Tonewase’ persimmon fruits retained better fruit quality attributes than normal harvested persimmons following extended periods of cold storage.


