서 언
백합과 파속에 속하는 마늘(Allium sativum L.)은 특유의 향미성분으로 인해 조미 및 약용채소로 널리 이용되고 있다. 대한민국은 1인 마늘 소비량 최대의 국가로, 2015년 생산량은 266,272톤이며 20,638ha의 면적에서 재배되고 있다(KOSIS, 2015). 그러나 국내에서 생산되고 있는 마늘은 최근 중국에서 저가로 수입되는 마늘에 비해 가격경쟁력이 떨어지며, 2-3년 주기로 발생하는 생산 및 소비의 불균형으로 인해 농가에 경제적 손실이 발생하고 있어 기존의 생식용 이외의 용도로의 활용에 대한 연구들이 진행되어 왔다(Kim et al., 1990; Choi et al., 2005; Lee et al., 2007). 마늘과 관련한 많은 연구들이 가공 및 첨가물로의 활용가치에 대해 이루어졌으나, 최근 들어 풋마늘이나 황화마늘잎 등의 엽채류로의 이용 방법에 대해 연구되고 있다. 풋마늘이란 5월 초순 구근의 성장을 위해 제거하는 잎줄기이며(Kim and Chung, 1997), 황화마늘잎은 마늘의 인편을 어두운 곳에서 재배하면 잎이 출현하게 되는데, 이 잎을 엽채소류로 이용하는 것이다. 풋마늘과 황화마늘잎 모두 마늘에 비해 식이섬유소가 높은 것으로 나타나 기능성 채소로의 가치를 갖고 있다(Kim and Chung, 1997; Choi et al., 2005; Lee et al., 2005).
마늘은 주로 무성번식에 의해 재배되어 왔으며 생산 농가에서는 인편을 종구로 이용하여 재배하고 있는데, 바이러스 감염으로 인해 수량이 감소되고 있다(Hwang et al., 2004). 이러한 문제점의 해결을 위해 조직배양 및 주아 재배 기술을 통한 종구 생산체계에 대한 연구가 진행되어 왔다(Hwang et al., 2004). 주아를 이용한 방식으로는 0.5g 이하의 소립 주아를 파종하여 통마늘을 생산, 이를 종구로 사용하는 방법과 0.5g 이상의 대립 주아를 파종하여 이후 년도에 인편이 분화된 종구용 마늘을 생산하여 이용하는 방법이 이용되고 있다(Nam et al., 2005). 그러나 소립 주아 재배 시의 생산 및 선별에 요구되는 노동력과 작업의 번거로움 등으로 인해 대립 주아가 주로 이용되고 있다(Choi et al., 2009). 이러한 이유 때문에 소립 주아는 다시 그 해 재파종되거나 버려지고 있는 실정이다. 따라서 재파종되거나 버려지는 소립 주아를 잎마늘로 생산할 수 있다면, 경제적으로 효율적이라 생각된다.
마늘은 수확 후 보편적으로 상온 혹은 저온에 저장되고 있고, 저장 중 발아 되거나 부패하는 등의 변질로 인해 질적, 양적으로 손실이 발생하고 있다(Kim and Kim, 1990). 종자로 이용되는 마늘은 저장 중 저장 온도, 재배환경, 수확시기 등의 영향을 받는데, 생리적 요인 외에도 병해충, 특히 푸른곰팡이균에 의한 부패로 인해 심각한 경우 50% 이상의 마늘이 폐기되기도 한다(Kim et al., 2003; Kim et al., 2010). 우리나라의 경우 수확 후 농산물에 대한 농약의 사용이 제한되어 있어 부패를 막기 위한 경종적 방법에 중점을 둔 연구가 이루어져 왔다(Harvey, 1978; Kim et al., 2010). 종구로 이용되는 마늘의 경우 우수한 방제 효과가 있는 베노밀, 티람 용액 같은 농약을 사용하여 소독 하는 것이 관행적으로 이루어지고 있다(Kim et al., 2003). 그러나 농약을 사용해 종구를 소독하여 잎채소로 이용할 경우 농약 잔류 문제가 발생할 수 있을 것이다. 따라서 친환경적인 소독방법이 요구된다.
본 연구는 마늘의 주아를 이용한 잎채소의 생산을 위한 기초 자료로서, 주아의 부패 및 오염을 방지하고 발아율을 높이기 위한 친환경적인 소독 방법과 발아온도를 구명하고자 수행되었다.
재료 및 방법
소립 주아의 친환경적 소독
본 실험에는 제주 신도 영농 협동 조합에서 2014년 6월에 수확되어 건조 후 2개월 이상 5°C 이하의 저장고에서 저온 처리된 ‘남도’ 마늘(Allium sativum L.)의 소립 주아(0.3±0.1g)를 이용하였다. 모든 주아는 수돗물에 24시간 침지 후 사용하였다.
적합한 친환경적 소독방법을 알아보기 위해 차아염소산나트륨(NaOCl)과 UV 램프 처리를 하였다. 먼저 NaOCl의 소독 효과를 알아보기 위해 1차 실험은 1.0, 2.0와 4.0%의 용액에 15, 30과 60분 침지하였고, 2차 실험은 1.0, 1.5, 2.0, 3.0과 4.0%의 용액에 각 15, 30, 45과 60분 침지처리하였다. 모든 처리 후 흐르는 물에 세척하였고 처리된 주아를 filter paper(No.2 90mm, Adventec, Japan)를 놓은 petri dish(90×15mm)에 4반복으로 25립씩 치상하여, 10mL의 증류수를 관수하였다. 1차 실험은 2014년 11월 21일에서 12월 3일까지, 2차 실험은 2015년 2월 24일에서 3월 7일까지 수행되었다.
UV 램프의 소독 효과를 알아보기 위해 50cm의 거리에서 1, 2과 4시간 UV 램프(SanKyo G40T10, SANKYO DENKI, Japan)를 조사처리한 후 증류수로 세척, 위와 동일하게 치상하였다. 본 실험은 2014년 12월 4일에서 17일까지 수행하였다. 모든 실험에서 수돗물 침지 후 아무런 처리도 거치지 않고 흐르는 물에 세척하여 동일하게 치상한 처리구를 대조구로 하였다.
소독 처리한 주아는 온도 20°C, 습도 60%로 설정한 생육상(Multi-Room Chamber HB-302S-4H, HANBAEK. Co., Korea)에 넣어, 시간 경과에 따른 발아 및 오염 주아 수를 24시간 간격으로 조사하였다. 이후 조사된 발아수 및 오염 발생 주아의 수를 백분율(%)로 나타내어 통계 처리하였다.
소립 주아의 발아온도
주아의 발아에 가장 적합한 온도를 구명하기 위해 이전 실험에서 가장 적합한 것으로 판단된 NaOCl 2.0%액에 45분 침지한 후, 위와 동일한 방법으로 치상하여 실험하였다. 발아조사는 위와 동일한 생육상에서 수행되었으며, 설정 온도는 20, 25와 30°C로, 설정 상대습도는 60%로 각각 설정하였다. 조사는 24시간 간격으로 발아 및 오염이 발생된 주아의 수를 조사하였고, 2015년 3월 11일에서 11일간 수행되었다.
통계처리
모든 처리구는 완전 임의 배치하였으며, 반복수는 4반복 처리하였다. 통계처리는 SAS 9.4(SAS Institute Inc., USA)를 이용하여 95% 수준에서 Duncan다중검정으로 유의성을 검증하였다.
결과 및 고찰
소독 효과를 알아보기 위해 수행한 1차 실험에서 NaOCl 4%로 처리한 경우 오염 발생률은 다른 처리 농도에 비해 유의하게 낮은 6%로 나타났으나 발아율은 68.3%로 NaOCl 1.0과 2.0% 처리구의 73-77%보다 유의하게 감소되었다(Fig. 1A). 침지 시간의 경우 시간이 길어짐에 따른 발아율의 감소는 나타나지 않았고, 오염 발생의 경우 15분 침지처리에서보다 60분 침지처리 시 절반 이상 감소되었다(Fig. 1B). 결과적으로 발아율의 감소가 적은 NaOCl 1.0과 2.0%에서 30-60분 침지하는 것이 적합한 것으로 판단된다. 하지만 NaOCl 1.0과 2.0%에서 4.0% 농도에 비해 유의하게 높은 오염 발생률을 나타냈기 때문에 발아율의 감소와 오염 발생률을 최소화할 수 있는 적정 농도에 대한 추가 실험이 요구되었다.
2차 실험의 결과에서 발아 시(첫 발아 시작일)의 경우 처리 농도나 침지 시간 처리 간 유의적 차이는 없는 것으로 나타났다(Table 1). 그러나, 발아율과 50% 발아일(T50), 첫 감염일 및 감염률은 처리 농도와 침지 시간에 따라 유의적인 차이를 보였다. 발아율의 경우 무처리구가 13%로 가장 낮게 나타났다. NaOCl 처리구는 발아율 53-86%로 대조구보다 높게 나타났다. 따라서, 무처리보다는 NaOCl 처리하는 것이 발아율에 좋을 것으로 나타났다. 발아율은 NaOCl 2.0% 용액에 30분 침지처리에서 86%로 가장 높게 나타났다. 침지 시간에 따른 발아율의 차이는 30분 침지처리가 72%로 가장 높게 나타났다. 발아기(발아율 50%의 일자, T50)의 경우 최종적으로 발아율이 50%를 넘지 못했던 무처리구가 가장 늦는 것으로 나타났다.
첫 오염 발생일자의 경우 대조구에서 가장 빨랐으며, 침지 농도에 비례하여 점차 느려지는 것으로 나타났다. 최종 오염 발생률은 NaOCl처리 농도가 높을수록 침지시간이 늦어질수록 낮아지는 경향을 보였으며, 대조구에서 가장 오염률이 높았다. 통계적으로, NaOCl 2.0% 용액에 45분 이상, NaOCl 3.0% 용액에 30분 이상 침지하는 것이 오염 발생률이 낮았다. NaOCl 1.0과 1.5% 용액에서 침지 시간이 길어짐에 따라 오염률이 감소했으나 NaOCl 2.0% 농도 이상 처리구에 비해 유의적으로 높게 나타났다. 그러나 NaOCl 4.0% 처리의 경우 발아율이 감소되는 경향을 나타내 NaOCl 2.0과3.0% 처리가 적합할 것으로 판단된다.
이상의 결과를 종합해 볼 때, NaOCl 2.0% 용액에 45분 침지 혹은 NaOCl 3.0% 용액에30분 침지 처리가 가장 적합한 것으로 판단된다. 새싹채소 혹은 신선편이 식품의 소독에 NaOCl을 사용한 연구들의 경우 100ppm 내외의 농도로 수행되어 왔으며(Lee et al., 2009; Lee et al., 2009), 통고추의 소독을 위해 본 연구와 유사한 농도의 용액인 NaOCl 3% 용액에 침지한 연구 결과에 따르면 4분 이상 침지 시 미생물이 검출되지 않았다는 결과가 있었는데(Yang et al., 2007), 본 연구에서는 NaOCl 농도에 따른 발아율의 감소를 최소화해야 했기 때문에, 보다 낮은 농도의 용액에 보다 긴 시간 침지하는 것이 바람직할 것으로 판단하였다.
자외선 4시간 처리한 경우 발아율이 46%로 다른 처리구보다 유의하게 높게 나타났으며, 오염 발생률 또한 54%로 다른 처리구에 비해 유의하게 낮게 나타났다(Fig. 2). 그러나 오염 발생률은 대조구와 비교하여 유의적인 감소는 나타나지 않았으며, 발아율 또한 50%를 넘지 못하여 주아의 발아 및 소독에는 UV처리가 적합하지 않은 것으로 판단된다. 이는 딸기에서 UV-C 조사 시 주요 병원균의 생장이 억제되었다(Kim et al., 2012)와 과염소산과 UV-C 처리가 미생물 감소에 효과적이었다(Song et al., 2011)는 연구의 결과들과는 상이하게 나타났다. 본 연구에서 4시간 조사 시 발아율은 증가되었지만 오염률의 경우 무처리구와 차이가 없었고 1시간과 2시간 처리보다 높게 나타난 결과로 볼 때 조사 시간이 길어질수록 효과적이라는 이전 연구 결과와는 상이하였다. 이러한 결과는 UV 조사 강도(세기)에 문제가 있다고 판단된다. 또한 장시간에서의 소독 효율, 그리고 주아의 표면 전체에 고르게 조사할 수 있는 방안에 대한 추가적인 연구가 필요할 것으로 판단된다.
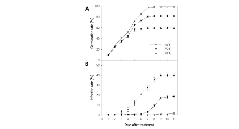
소독된 ‘남도’ 마늘 주아의 온도 20, 25와 30°C에서 발아율과 오염 발생률 모두 유의한 차이가 나타났다(Fig. 3). 또한 발아율의 경우 온도에 따른 발아시와 발아기에는 차이가 없었으나, 오염 발생 시작일은 온도에 따라 유의한 차이가 나타났다. 20°C의 경우 약 10일, 25°C의 경우는 7일경, 30°C의 경우는 약 4일경이었다. 결과적으로 20°C에서 가장 높은 발아율과 낮은 오염 발생률을 나타내어 발아에 가장 적합한 온도인 것으로 판단되었다. 이는 마늘의 인편의 비대는 10°C 이상에서 가능하지만, 적온은 20°C 전후로 알려져 있다(Lee, 2003; Wi et al., 2017), 10°C를 기준으로 하여 온도가 높아짐에 따라 출현율이 감소한다는 결과 또한 있어(Moon et al., 2014), 온도 10°C나 15°C에서의 추가적인 실험이 요구된다.
결과적으로 UV 처리보다는 NaOCl 처리가 소독 방법으로 효과적이었으며, 마늘 주아의 소독에는 NaOCl 2.0% 용액에 45분 침지처리 혹은 NaOCl 3.0% 용액에 30분 침지처리하는 것이 가장 효과적이며, 20°C 온도에서 발아시키는 것이 발아율을 높이고 오염률을 낮출 수 있다.






