서 언
식물체가 흡수하는 총 무기원소 중 가장 많은 비율을 차지하는 원소가 질소이며 시비되는 질소의 총 양과 종류가 식물 생장에 큰 영향을 미친다(Marschner, 2012). 농업 생산과 관련하여 시비되는 질소의 종류는 암모니움(NH4), 질산(NO3) 또는 요소(urea, (NH2)2CO)이다(Lim, 2005).
식물이 흡수하는 비료의 양은 생육 단계에 따라 달라지며 어린 시기에는 적은 양의 비료를 흡수하고, 시간이 경과하면서 식물 생장량이 많은 시기에는 비료 흡수량도 증가한다(Ulrich, 1993). 따라서 식물 생장을 고려한 총 질소 시비량이 식물 생장에 큰 영향을 미치며, 양과 함께 비료의 종류도 영향을 미친다. 시설하우스 내에서 혼합상토를 이용하여 작물을 재배할 때 보편적으로 시비하는 질소질 비료는 NH4나 NO3이며 정식 또는 파종 전에 상토에 혼합하고, 작물 재배중에는 관개수에 용해시켜 관수와 시비를 동시에 수행하는 관비방법으로 공급한다.
작물 재배를 위해 시비되는 총 질소 중 NH4와 NO3의 비율은 질소를 흡수하는 과정에서 뿌리 세포 내·외의 전기화학적 포텐셜 변화의 발생(Marschner, 2012), 이 변화로 인한 근권부 pH의 변화(Nelson, 2003), pH 변화로 인한 근권부 각종 무기원소의 유효도 변화(Lindsay, 2001) 및 최종적으로 무기원소의 흡수량과 작물 생육 차이가 유발되는 원인이 된다.
국내에서 많은 회사들이 공정 육묘를 위한 상토를 제조하여 시판하고 있다. 파종한 종자의 발아 후 초기 생육 또는 이식된 묘의 초기 생육을 촉진하기 위해 어느 정도의 비료가 상토에 혼합되어 있는 것이 바람직하고(Styer and Koranski, 1997), 대부분 회사들이 상토 조제과정에서 일정량의 비료를 첨가하고 있다. 그러나 기비로 혼합된 질소 중 요소 또는 NH4의 비율이 과도하게 높은 경우가 많아 플러그 묘의 생장 억제, 그리고 국산 상토의 불신과 외산 상토의 선호도 증가의 원인이 되는 것은 잘 알려진 사실이다(미 발표된 자료). 아울러 육묘 농가와 상토 생산회사간 각종 소송에 휘말리는 원인도 되고 있다.
이러한 상황을 고려하여 기비로 혼합된 NH4와 NO3의 비율이 토마토 플러그 묘 생장, 근권부 화학성 변화, 그리고 식물체 무기원소 흡수에 미치는 영향을 구명하여 플러그 육묘용 상토 생산을 위한 기초 자료로 제시하고자 본 연구를 수행하였.다.
재료 및 방법
피트모스, 코이어 더스트, 펄라이트를 3.5+3.5+3.0(v/v/v)으로 혼합한 상토를 조제하였으며, 세 물질을 혼합하는 과정에서 식물 생육을 위해 필요한 모든 필수원소를 동일한 농도로 첨가하였다. 질소의 경우 300mg·kg-1으로 농도를 조절한 조건에서 NO3:NH4 비율만 0:100, 27:73, 50:50, 73:27, 그리고 100:0으로 조절하였다. NO3:NH4 비율을 조절하기 위해 KNO3, Ca(NO3)2·4H2O, NH4Cl, NH4NO3, (NH4)2SO4 등 질소가 포함된 화학비료를 사용하였고, 다른 필수원소를 첨가하기 위해서는 K2HPO4, KH2PO4, K2SO4, CaCl2·2H2O, MgSO4·7H2O, 그리고 미량원소복합제(Nutrichem Kombi-F, Belgium)를 사용하였다(Table 1). NO3:NH4 비율을 조절한 상토를 50구 플러그트레이에 충전한 후 토마토 ‘도태랑다이아’종자[㈜ 다끼이종묘]를 파종하였다.
Table 1. Kinds and amounts of pre-planting nutrient charge fertilizers incorporated during formulation of the coir dust: peatmoss: perlite (3.5:3.5:3, v/v/v) medium.
| |
본 실험에 이용된 혼합상토는 Choi et al.(1997)의 방법으로 측정한 공극률, 용기용수량, 기상률 및 가비중이 각각 82.4%, 62.7%, 19.7% 및 0.1g·cm-3였다. 상토가 보유한 수분 중 Wallach et al.(1992)의 방법으로 측정한 easily available water(EAW)가 46%, buffering water(BW)가 약 36%였다.
파종 후 뿌리 생육이 시작된 20일 후부터 7-10일 간격으로 추비하였다. 추비 시 20-9-20 및 13-2-13(N-P2O5-K2O, Sunshine Technigro, USA)의 두 종류 비료를 N 기준 100mg·L-1으로 조절하여 교대로 두상관비 하였고, 추비 중간에 관수가 필요하다고 판단되면 지하수를 두상살수 하였다. 육묘 기간 중 시설하우스 내부의 평균 주/야간 온도는 28/16°C였고, 오후 두시를 기준으로 한 평균 광도는 약 370μmol·m-2·s-1였다.
파종 6주 후에 토마토 플러그 묘의 지상부 생장량 조사를 하였다. 50공 플러그트레이에서 15개체를 수확하여 초장, 초폭,엽수, 엽장, 엽폭, 지상부 생체중 및 건물중과 엽록소 함량(SPAD 값, Konica Minolta Sensing, INC., Japan)을 측정하였다. 상토의 화학성을 분석하기 위해 육묘중인 묘로부터 매주 혼합상토를 채취하여 풍건하였고, 증류수와 풍건상토를 10:1(w/w)의 비율로 혼합하여 실온에 2h 동안 치상하고, 거즈로 용액을 채취하였다. 이 후 pH와 EC를 측정하고, K, Ca, Mg 및 Na의 농도를 ICP(모델: Intergra XL, GBC, Austrailia)로 분석하였다. 파종 6주 후에 수확한 식물체의 지상부 전체를 시료로 삼아 무기원소 함량을 분석하였다. 농촌진흥청 국립농업과학원 표준법(NIAST, 2000)에 준하여 식물체를 분석하였으며, 상기한 바와 동일한 ICP로 분석하였다.
식물 생육을 조사한 결과는 Costat 프로그램(Monterey, California, USA)을 사용하여 p ≤ 0.05 수준에서 처리간 평균을 비교하였다. 또한 NO3:NH4 비율에 대한 식물의 생장 반응은 회귀분석을 하여 경향을 파악하고자 하였다.
결과 및 고찰
토마토 종자 파종 후 6주간 상토 시료를 채취하여 pH와 EC를 측정한 결과를 Fig. 1과 2에 나타내었다. 파종 전 상토의 pH는 모든 처리에서 5.51-5.88 범위로 측정되었고, 파종 3주 후까지 처리별 뚜렷한 차이 없이 유사한 수준을 유지하였으며, 4주 후부터 처리간 차이가 커졌다. 질소 비율별 작물의 생육기간에 따른 EC는 NO3:NH4(100:0) 처리가 3.44dS·m-1로 가장 낮았고, NO3:NH4(0:100) 처리가 4.68dS·m-1 로 가장 높았다(Table 2). NH4의 비율이 높은 처리에서 초기 EC가 높았던 것은 NH4의 비 율을 높이기 위해 NH4Cl이나 (NH4)2SO4 등의 비료가 이용되었고, NH4의 상대이온인 Cl이나 SO4의 농도가 높아진 것이 상토 조제 후 EC가 높은 원인이 되었다고 생각한다(Table 2). 그러나 플러그 묘를 재배하면서 파종 2주 후부터 급격히 EC가 낮아지기 시작하여 파종 5주 이후에는 NO3:NH4(0:100) 처리를 제외하고는 매우 낮은 수준으로 변하였고 처리간 차이도 없었다.
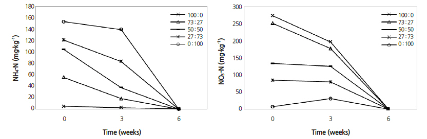
기비로 혼합된 NO3:NH4 비율이 상토의 NO3와 NH4 농도변화에 미치는 영향을 Fig. 3에 나타내었다. NO3:NH4(100:0) 처리에서 NH4 농도가 5.38mg·kg-1으로 가장 낮았고, NO3가 273.41mg·kg-1으로 가장 높았다. NO3:NH4(0:100) 처리에서 NH4는 152.73mg·kg-1으로 모든 처리 중 가장 높았고, NO3는 7.06mg·kg-1으로 가장 낮았으며, NO3와 NH4 농도 모두 토마토 생장량이 증가함에 따라 상토 농도가 급격히 낮아졌다 .
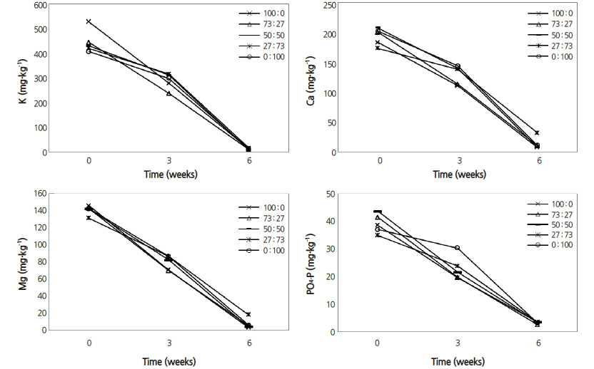
토마토 육묘기간 동안 NO3:NH4 비율에 영향을 받은 상토의 다량원소 농도 변화를 Fig. 4에 나타내었다. 종자를 파종하기 전 기비를 포함한 상태에서 상토를 분석한 결과 K는 NO3:NH4(0:100) 처리에서 약 530mg·kg-1로 가장 높았고, 다른 NO3:NH4 처리는 약 400-430 mg·kg-1 범위로 분석되었지만 처리간 차이가 뚜렷하지 않았다. 파종 전 분석한 상토의 Ca 농도는 모든 처리에서 180-210mg·kg-1, Mg 농도는 138-145mg·kg-1, P은 35-44mg·kg-1의 범위로 분석되었다. 작물의 생육기간이 경과함에 따라 모든 처리에서 상토의 K, Ca 및 Mg 이온 농도가 뚜렷하게 감소하는 경향을 보였고, 파종 6주 후 농도가 매우 낮았으며 처리간 차이도 없었다.
이와 같이 토마토 플러그 묘 생장이 진행되면서 상토의 다량원소 농도가 낮아진 것은 육묘 중 관수와 관비에서 배수공을 통한 무기원소의 용탈과 재배 중 플러그 묘의 생장량이 증가하면서 무기원소 흡수량이 증가한 것이 주요 원인이 되었다고 판단하였다. Nelson et al.(1996)은 근권부의 무기원소 농도 조절을 위해 시비농도 그리고 관비 또는 관수 시 배액량을 조절해야 함을, Handreck(1996)과 Huett(1997)은 관수 또는 관비 시 배액량이 근권부의 무기원소 농도에 큰 영향을 미침을 보고한 바있다. 본 연구에서도 관수 또는 관비 시 지속적으로 약 30% 정도의 배액이 발생하도록 한 것이 근권부 무기이온 농도가 낮아진 주요 원인이 되었다고 생각한다. 아울러 Marschner(2012)와 Ulrich(1993)은 식물 생장량 증가는 무기원소 흡수량이 증가하는 원인이 된다고 보고한 바 있으며, 본 연구에서도 파종 후 시간이 경과할수록 지상부 생장량이 증가하고 이를 통해 무기원소 흡수량이 많아진 것이 근권부 무기원소 농도가 낮아진 또 다른 원인이 되었다고 생각한다.
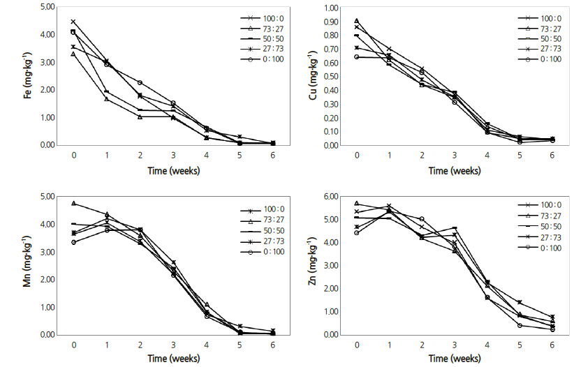
토마토를 플러그 육묘하면서 상토의 미량원소 농도를 분석하여 Fig. 5에 나타내었다. 정식 전 Fe는 3.30-4.46mg·kg-1, Cu는 0.64-0.90mg·kg-1, Mn은 3.35-4.75mg·kg-1 그리고 Zn은 4.42-5.68mg·kg-1의 범위로 분석되었으며, NO3:NH4 비율에 따른 뚜렷한 경향을 발견할 수 없었다. 그러나 4종류 미량원소 모두 작물의 생육기간이 경과함에 따라 농도가 낮아지는 것을 확인할 수 있었으며, 다량원소에 설명한 내용과 동일하게 배수공을 통한 용탈과 생장량 증가에 따른 흡수량 증가가 주요 원인이라고 판단하였다.
기비로 첨가한 질소수준을 동일하게 조절하고 NO3:NH4 비율을 100:0, 73:27, 50:50, 27:73, 0:100으로 조절한 5처리를 두어 실험하고, 토마토 파종 6주 후 생육을 조사한 결과를 Table 3과 Fig. 6에 나타내었다. 토마토 플러그 묘는 NO3:NH4비율을 50:50으로 조절한 처리에서 초장 29.3cm, 초폭 26.4cm, 지상부 생체중 13.7g, 건물중 1.21g으로 생장이 가장 우수하였다. NO3:NH4 비율을 0:100으로 조절한 처리에서 초장 26.5cm, 초폭 24.1cm, 지상부 생체중과 건물중이 각각 11.2g과 0.92g으로 생장이 가장 저조하였다. Bar-Tal et al.(2001)은 고추재배에서, Matsumoto and Tamura(1981)는 오이재배에서, Roosta et al.(2009)은 오이재배에서 그리고 Sibler et al.(2004)은 Ozothamnus diosmifolius를 재배하면서 시비되는 총 질소 중 NH4 비율이 높을 때 생장이 억제된다고 보고한 바 있다. 그들의 보고 내용을 고려할 때 본 연구의 NH4 비율이 높았던 처리에서 생장이 억제된 것에 대한 이해가 쉬워진다.
파종 6주 후에 수확한 토마토 지상부 식물체의 무기원소 함량은 Table 4에 나타내었다. 토마토의 T-N 함량은 NO3:NH4(27:73) 처리에서 3.22%로 가장 높았고, NO3:NH4(50:50)에서 2.77%로 가장 낮은 함량으로 분석되었지만 처리간 통계적인 차이는 인정되지 않았다. K는 NO3:NH4(73:27) 처리에서 4.00%로 함량이 가장 낮았고, NO3:NH4(27:73) 처리에서 5.62%로 가장 높았지만 이 또한 NO3:NH4 비율에 따른 처리간 통계적인 차이가 인정되지 않았다. P은 0.30-0.34%, Ca은 1.05-1.25%, Mg은 0.54-0.70%, Na는 0.21-0.25%의 범위로 분석되었지만 통계적으로 처리간의 차이가 뚜렷하지 않았다. 미량원소인 Fe, Mn 및 Zn은 NO3:NH4(27:73) 처리에서 각각 163.8mg·kg-1, 90.4mg·kg-1, 157.8mg·kg-1으로 모든 처리구 중 가장 높은 식물체내 함량을 보였으며, Cu는 NO3:NH4(100:0) 처리구에서 21.5mg·kg-1로 가장 높은 함량으로 분석되었다.
본 연구를 요약하면 다음과 같다. 기비로 혼합된 NO3:NH4 비율이 토마토 플러그 묘의 생장에 미치는 영향을 조사한 결과 파종 6주 후 NO3:NH4(50:50) 처리의 생장이 가장 우수하였다. 이는 상토에 기비를 첨가할 때 첨가하는 총 질소 중 NH4의 비율을 50% 이하로 조절해야 함을 나타내고 있다.










