서 언
재료 및 방법
공시재료
경종개요
과 형질조사석
과 색도 분석
라이코펜 함량 분석
데이터 분석
AMMI와 Bi plot을 이용한 분석
결과
과 형질 분석
라이코펜 함량 분석
색 구성요소 분석
라이코펜 함량과 색 구성 요소들과의 상관관계
MINQUE와 REMLE을 혼용한 계통의 유전형과 재배환경의 상호관계에 대한 분석
색 구성 요소, 재배환경요인 그리고 G×E가 토마토 라이코펜 함량에 미치는 상관관계
AMMI와 Biplot을 이용한 G×E가 라이코펜과 색 구성 요소에 미치는 영향 분석
고찰
서 언
토마토(Solanum spp.)는 남아메리카의 서부고원지대 페루, 에콰도르 일대가 원산지로 추정되는 가지과의 대표적인 작물로 서(Gail et al., 2009) 우리나라에 들어와 최초로 재배된 시기와 그 형태는 알 수 없으나 1614년에 이수광이 편찬한 지봉유설의 권19 식물편에 ‘남만시’라고 기록되어있는 것으로 미루어보아 17세기에 도입되었음을 짐작할 수 있다. 토마토는 라이코펜, 플 라보노이드, 글루타민산, β-카로틴 등의 풍부한 항산화 물질을 많이 함유하고 있어 건강채소로서 많은 주목을 받고 있다 (Beecher, 1998; Mayne, 1996).
국내 재배면적은 약 6,344ha로 전체 채소류 중에서 차지하는 비중은 작은 편이나 세계적으로 볼 때 중국 984,603ha, 인도 880,000ha, 터키 311,000ha, 이집트 212,946ha 등으로 재배되고 있다(FAO, 2013)
국내에 도입되어 재배되고 있는 토마토 품종들 중 다수는 유럽과 일본 등지의 다국적 기업에서 개발되고 수입된 토마토 품 종들이 대부분이다. 토마토는 세계적인 작물로서 기초연구, 재배법 개선 그리고 품종개량 등에서 많은 연구가 이루어 졌으나 아직까지 국내를 비롯한 여러 국가에서는 수량성, 즉 수확량에 중점을 둔 재배를 하고 있는 실정이다. 따라서 우수한 형질의 특 성을 가지고 있는 품종이라도 재배지역과 방법에 따라 그 특성이 제대로 나타나지 않는 경우가 많다. 유럽의 경우 수량 보다 품 질에 중점을 둔 재배법으로 발달하고 있으며(Bouma et al., 1998), 이것은 보다 내적인 요소의 질을 높여, 소비자들의 품질에 대 한 요구도와 높은 소비력을 올릴 수 있다. 나아가 “기능성 식품”으로 식품산업에 새로운 기회를 부여하고 있기도 한다(Menrad, 2003).
토마토의 엽록소와 카로티노이드 함량은 분광계로 측정 할 수 있으며(Watada et al., 1976 ) chromaticity values로 라이코펜 함량과 상관관계를 확인할 수 있다고 하였으며(D’Souza et al., 1992) 이것은 토마토가 가지고 있는 가장 풍부한 항산화 물질인 카로틴(Clinton, 1998) 중의 하나이다. 라이코펜 함량은 품종과 환경 그리고 숙기의 정도에 따라 그 함량이 달라진다고 알려져 있다(Brandt et al., 2006; Kuti and Konuru, 2005; Radzevičius et al.,2009; Bhandari et al.,2016). 그러므로 Kuti et al. (2005)가 보고한 바와 같이 유전형과 재배환경의 선택이 토마토 라이코핀 함량에 영향을 줄 것이라 예상할 수 있다.
따라서, 이 연구는 각각 다른 지역과 환경에서 재배되어 평가된 토마토 유전자원들의 유전형, 재배환경 그리고 이들의 상호 작용에 대하여 설명할 목적으로 수행되었으며, 이 연구 결과를 바탕으로 라이코펜 함량과 색 구성요인 사이의 상관관계를 체 계화하여 우수한 토마토 품종 육종에 활용하고 더 나아가 상업품종들의 재배적지와 시기를 파악하여 보다 양질의 농산물을 수 확할 수 있게 하여 농가의 소득증대와 소비자들의 질적 요구를 만족시키는데 있다 .
재료 및 방법
공시재료
실험에 사용된 10계통의 토마토(Solanum lyccopersicum)들은 모두 붉은 색의 대과종 토마토이다(Supplementary Table 1). 8계통은 농업회사 법인 현대종묘(주)에서 육성된 것들로 8세대 이상 진전된 것들이며 나머지 두 품종은 각각 Syngenta(Basel, Switzerland)의 Defnis와 University of Florida(Gainsville, FL, USA)에서 육성한 Tasti Lee 이며 이들은 대비 품종으로 사용하 였다(Supplementary Table 2).
경종개요
공시계통들의 재배는 위하여 2014년 경기도 수원시 권선구 소재 농가의 노지 포장 (37°17′05.6′′N 126°57′47.9′′E)과 경기도 여주시 소재의 농업회사법인 현대종묘(주) 연구용 비닐하우스(37°10′36.4′′N 127°37′05.0′′E)에서 수행되었다. 여주시의 재배 시험은 봄에서 여름 기간 재배(4월14일 정식, 6월 24일 수확)와 가을에서 겨울기간 재배(9월 2일 정식, 12월10일 수확)로 평가하였으며 수원시에서의 재배시험은 봄에서 여름기간 재배(5월8일 정식, 7월30일 수확)를 통하여 공시계통들의 특성을 평가하 였다. 여주지역 봄에서 여름기간 재배 시 하우스의 온도는 자동온도 조절기로 하우스 내 온도를 조절하였으며 가을에서 겨울 기간 재배 시 하우스는 온풍기를 이용하여 최저온도 17°C로 맞추어 유지하였다. 수원지역의 봄에서 여름 기간 재배는 노지에 서 진행되었다.
파종은 묘판에 상토 (바로커, 서울바이오)를 2-3cm 두께로 깔고 100립씩 파종하였다. 파종 후 20-25일경 32구 트레이포트 에 가식하였다. 가식용 상토는 완전히 부숙한 퇴비, 마사토 그리고 상토를 1:1:1 (v/v/v)로 섞어 속성 상토로 사용하였고, 육묘 중 액비를 관주 하였다.
가식 후 20-25일경 제 1화방의 개화가 시작될 무렵 재식 간격을 40×40cm으로 하여 각각 비닐하우스와 노지에 정식하였 다. 정식을 위한 포장의 비료 시비량은 N:P:K 25:20:30 (kg·10a-1)의 성분량으로 하였으며 시험구의 배치는 임의 배치하여 3 반복으로 재배하였다. 원활한 토마토 수정을 위해 전동 칫솔을 이용하여 꽃과 화방을 주위를 이틀 간격으로 진동 수분하여 주 었다. 여주 지역 비닐하우스에서 수행한 가을에서 겨울기간 재배 작형에서는 최저온도를 17°C로 맞춰놓은 온풍기를 이용하 여 가온을 하였다. 재배기간 중 수원지역 노지 재배포장과 여주 지역 재배 하우스 내의 온도는 수은주 온도계를 이용하여 측량 하였으며 최저온도와 최고 온도를 기록하였고 일조시간은 기상청 홈페이지의 관측자료메뉴에서 과거자료를 검색하여 참고하 였으며 Microsoft Excel 2013을 이용하여 그래프화 하였다(Supplementary Fig. 1).
과 형질조사
정식 후 약 75-80일이 경과되어 완전히 익은 1-2화방의 토마토를 수확하여 5개의 과실을 조사하였고 과색, 과중, 과장, 과경 그리고 당도는 굴절당도계 (N-1E, ATAGO Co.)를 이용하여 측정하였으며 측정한 과장과 과경의 수치를 이용하여 과형 지수 를 구하였다.
과 색도 분석
과실의 색도는 Tomato analyzer 3.0 software를 이용하여 분석하였다. 완전하게 익은 토마토 과실을 횡단과 종단으로 잘라 평판 스캐너 위에 올려놓은 후 속을 검게 색칠한 상자로 덮어 빛이 들어오지 않는 암실조건을 만들어 스캔하여 TIFF 파일 형식 으로 저장하였다. 토마토 과실을 스캔할 때는 과실의 크기에 따라 스캐너의 해상도를 조절하여 사용하였다(Supplementary Table 3). Tomato analyzer 로 불러들인 토마토 과실을 스캔한 이미지는 “Analyze” 메뉴를 실행하여 분석하였으며 토마토 과 실 이미지 개체 별로 R, G, B, L*, a*, b*, Luminosity, Hue 그리고 Chroma로 측정하여 얻어진 데이터들을 분석에 이용하였다 (Jaymie et al, 2010).
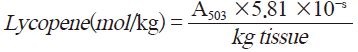
라이코펜 함량 분석
토마토 과실의 총 라이코펜 함량을 분석하기 위하여 비색법을 이용하여 분석하였다(Wayne, 2002). 수확한 토마토 과실을 믹 서를 이용하여 곱게 간 다음 1g씩 tube에 담는다. 여기에 5mL의 0.05% BHT (Butylated hydroxytoluene) in acetone, 95% ethanol 5mL, hexane 10mL을 차례대로 넣고 잘 밀봉한 다음 냉장 상태의 암실에서 obital shaker(Lab-Line Instrument Co., Melrose Park, IL)를 이용하여 15분 동안 180rpm으로 섞는다. 15분 동안 잘 흔들어 섞은 뒤 3mL의 deionized water를 각 샘플 이 담긴 tube에 추가하고 다시 5분간 obital shaker를 이용하여 흔들어 섞었다. 섞는 것을 멈추고 다시 5분간 대기 후 층이 나누 어지면 핵산층(상층액)을 취하여 분광광도계 (UVmini-1240, SHIMADZU Co.)를 이용하여 503㎚에서 흡광도를 측정하였 다. 측정된 흡광도를 이용하여 총 라이코펜 함량을 구하는 계산식은 아래와 같다(Wayne, 2002).
또는
데이터 분석
최소노옴 이차 불편추정량 (Minimum Norm Quadratic Unbiased Estimate, MINQUE)과 제한적 최우추정량 (Restricted Maximum Likelihood, REMLE)을 이용한 분산 분석
토마토 10계통의 유전자형 (genotype) 분석을 위하여 선형혼합모델 (linear mixed model)을 사용하였는데, 이는 기본적인 최우추정량 (REMLE)으로 추정해본 결과 모형부적합이 나타나는 것을 확인할 수 있었으며, 혼합모형이 적합하다는 판단을 하 였기 때문이다. 판단 근거는 최우추정량으로 추정 시 전혀 수식으로 추정이 되지 않았고 random하게 발생되는 요소들이 추정 을 방해하는 것을 확인할 수 있었기 때문이다. 채택한 선형혼합모델 (linear mixed model)은 통계프로그램인 R version 3.1.3을 이용 분석을 하였다.
Yijk=μ + Gi+ Ej+ GEij + Bk(j) + eijk
여기서 Yijk는 환경 (environment) j의 블록 (block) k내에서 관찰된 유전형 (genotype) i의 관찰 값 (observed value), μ는 전체 평균 (grand mean), Gi 는 유전형의 효과 (genotypic effect), Ej 는 환경 효과 (environmental effect), GEij는 환경 j와 유전형 i의 상호효과, Bk(j)는 환경 j에서 블록 k의 효과, eijk는 환경 j의 block k에서 유전형 i의 오차의 영향 (error)을 의미한다. 추정치와 표준오차를 구하기 위해 각 형질 (trait)의 불편분산 (unbiased variance)과 공분산 (covariance)은 MINQUE method 를 이용하고 (Rao, 1971; Zhu and Weir, 1996) 표준오차 (SE, standard error)는 Jacknife procedure (Miller, 1974; Zhu and Wir, 1996)를 이용하여 구하였다고 보고한바 있으나 (Nuez et al, 2010), 실제 본 실험에서 검정을 수행하여본 결과 Jackknife 옵션 을 사용하여 나온 추정치들을 random effect로 추정해본 결과, p-value가 유의하지 않게 도출되는 것을 확인하였다. 따라서 Jackknife 옵션을 사용한 MINQUE 모형은 적절치 않다고 판단하고 REMLE과 MINQUE 두 가지를 혼용한 모형을 적용하였 다 (Wu, 2015). 그 결과 p-value가 유의하게 나타나는 요소가 있음을 확인하였다. 혼용모델을 적용하여 얻어진 분산은 표현형, 유전형, 그리고 유전형과 환경요인들 간의 상호작용 효과들에 대한 각각의 추정치와 표준오차를 구하는데 이용하였다.
AMMI와 Bi plot을 이용한 분석
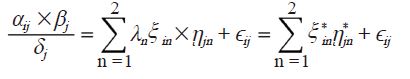
분석된 라이코펜과 색 요소들의 데이터들 AMMI (Additive Main Effects and Multiplicative Interaction) model을 이용하 여 G×E 상호작용 (interaction)에 대한 분석하였고 bi plot을 생성하여 비교 분석하였다. Genotype by Trait (GT) bi plot을 구현은 아래의 수식을 이용하여 생성되었다 (Yan and Rajcan, 2002).

여기서 αij는 형질 (trait) j에 대한 유전형 (genotype) i의 평균 값, βj는 형질 j에 대한 모든 유전형들의 평균 값, δj 는 유전형 평균값들 간 형질 j의 표준편차, λn은 주성분에 대한 특이치 (PCn), ξin은 유전형 i에 대한 PCn 성적 (score), ηjn은 형질 j에 대한 PCn 성적 (score), εij는 형질 j에서 유전형 i와 관련된 잔차 (residual effect)이다.
유전형 ξin와 형질 ηjn에 대한 특이벡터 (singular vector)에 속하는 특이치 (singular value) λn은 유전형과 형질 성적 사이에서 형질을 중심으로 스케일링 하여 만들어지는데 이것은
그리고
과 같다. GT (Genotype by Trait) bi plot은 각각의 유전형과 형질에 대한 PC (principal component) 1과 PC2의 성적으로 생성된다 (Yan and
Rajcan, 2002).
결과
과 형질 분석
재배 시험결과 과중과 과 장, 과 폭의 크기는 재배 지역과 시기 별로 차이가 나는 것을 확인할 수가 있었다(Fig. 1). HTL9851의 과중은 여주 지역의 봄에서 여름기간 비닐 재배 결과 평균과중이 308.3g이었으나 수원의 봄에서 여름기간 노지 재배 결과 137.0g으로 약 171.3g이 낮게 나타났으며 여주 지역의 가을에서 겨울기간 비닐하우스 재배결과 평균 과중 283.8g으로 봄에서 여름기간 재배에 비하여 약 24.51g이 낮게 나타났다. 또한 HLT10256의 과형지수는 수원의 봄에서 여름 노지 재배 결과 0.6으 로 관찰되었으나 여주지역의 봄에서 여름기간 재배에서는 0.75, 같은 지역의 가을에서 겨울기간 재배에서는 0.82로 재배 지역 의 환경에 따라 과형지수가 조금씩 변하는 것으로 관찰되었다. 당도 역시 HTL6644에서 수원의 노지재배에서는 평균 당도가 5.0°Brix로 측정되었으나 여주의 봄에서 여름기간 비닐하우스에서는 평균 6.0°Brix, 그리고 동일 지역의 가을에서 겨울기간 재 배에서는 5.9°Brix로 수원재배의 결과보다 약간 높게 측정되었다. 관찰된 데이터들은 재배환경이 과중, 과장, 과폭, 과형지수 그리고 당도에도 영향을 미치는 것으로 보이고 있다.
Fig. 1.
Graphs to show tomato fruit characteristics. (A) Fruit weight (g), (B) fruit length (kg), (C) fruit width (cm), (D) fruit shape index (B/C), (E) total soluble solids (˚brix, TSS), and (F) lycopene content (mg·kg-1, fresh weight). Abbreviations: suwon-ss: Suwon, spring–summer cycle; yeoju-ss, Yeoju, spring–summer cycle; yeju-aw, Yeoju, autumn–winter cycle.
라이코펜 함량 분석
라이코펜 함량은 재배환경에 따라서 모두 다른 수치를 보여 주었는데 동일한 계절인 봄에서 여름에 걸친 재배이더라도 노지 재배와 하우스 재배에서의 현격히 차이가나는 수치를 보여 주었으며 동일한 지역에서 재배하더라도 계절에 따라 다른 수치의 라이코펜 함량을 보여 주었다(Fig. 1). 다만 라이코펜 함량의 높고 낮음은 계통 별로 다르게 나타남을 알 수 있었다. 여주지역의 봄에서 여름에 걸친 하우스 재배에서 HTL3137의 라이코펜 함량이 70.48㎎·㎏-1로 가장 높은 수치를 보였으나 수원지역의 노 지재배에서는 37.32㎎·㎏-1 그리고 여주지역 가을에서 겨울에 걸친 하우스 재배에서는3 9.97㎎·㎏-1의 순서로 낮게 나타났다
색 구성요소 분석
재배시험 결과 HTL10256의 Chroma를 제외한 색 구성요소 값이 공시 계통들 중 가장 높은 수치를 보였다(Fig. 2). 이 계통 은 수원 노지, 여주 봄에서 여름 그리고 여주 가을에서 겨울에서도 높은 색 구성 값을 유지하였다. 그러나 주목할 만 한 점은 HTL10256을 제외한 대부분의 공시계통들은 수원 봄에서 여름 노지 재배에서는 색 구성 요소들의 수치가 상승하였으나 여주 봄에서 여름 비닐하우스 재배에서는 수치들이 낮아졌다가 동일지역의 가을에서 겨울 재배에서는 다시 상승하는 현상을 발견 하였다. 또한 HTL10256의 Chroma를 제외한 나머지 색 구성요소 값들은 공식 계통들 중 가장 높은 수치들을 보였으나 3가지 조건의 재배시험에서 얻어진 평균 라이코펜 함량은2 8.16±6.93㎎·㎏-1으로 공시계통들 중 가장 낮았다 .
Fig. 2.
Phenotypic values of A, redness (R); B, greenness (G); C, blueness (B); D, luminosity; E, L*; F, a*; G, b*; H, hue; and I: chroma of genotypes evaluated in different cultivation areas and seasons. Abbreviations: suwon-ss: Suwon, spring–summer cycle; yeoju-ss, Yeoju, spring–summer cycle; yeju-aw, Yeoju, autumn–winter cycle.
라이코펜 함량과 색 구성 요소들과의 상관관계
색도 분석에 사용한 토마토 과실들을 이용하여 라이코펜 함량을 분석한 결과와 함께 색 구성 요소들의 상관관계를 분석하고 자 통계 프로그램 R을 이용하여 상관관계를 분석하였다(Table 1). 상관관계는 스피어만 순위 상관관계를 이용하였으며 분석 한 결과 라이코펜 함량은 여주지역의 봄에서 여름 재배 작형에서는 B 값이, 그리고 가을에서 겨울 재배 작형에서 Luminosity, L*, a*, G 그리고 Hue의 순서로 상관관계가 있는 것으로 나타났다. 그러나 수원 지역의 봄에서 여름 노지 재배의 결과에서는 모 든 색 구성요소들이 라이코펜 함량에 미치는 상관관계는 매우 낮거나 무의미한 결과를 보여 주었다 . 세 지역에서 얻어진 라이코펜 함량과 색 구성 요소들 전체를 라이코펜 함량과 상관관계를 분석해 본 결과 이들 각 색 구성요 소들이 나타내는 수치들이 라이코펜 함량에 미치는 영향은 매우 미미하여 거의 무시될 수 있는 선형관계라고 판단을 내릴 수 있었다.
그러나 각각의 지역에서 얻어진 결과를 따로 분석하면 수원에서 실시한 실험결과는 위와 같으나(Supplementary Table 5) 여 주 지역에서 봄부터 여름에 걸쳐 실시한 실험 결과에서는 G와 L에서 각각 –0.46과 –0.41의 유효한 상관관계를 보여주고 있 으며(Supplementary Table 6) 동일 지역 가을과 겨울에 걸쳐 한 실험에서 R, B 그리고 b*를 제외한 모든 요소들이 라이코펜과 유사하게 상관관계를 보여주는 반면 수원에서는 어떤 상관관계도 볼 수 없는 이 같은 결과는 Supplementary Fig. 1에서 보듯 이 최대/최소 온도와는 관련이 없어 보이나 일조량과 같은 환경요소에 따라 라이코펜의 함량과 다른 요소들간의 상관계관 가 변화하는 듯이 보인다. 따라서 이 두 지역의 환경 차이를 면밀히 살펴 어떤 환경요소가 이들 상관관계에 영향을 미쳤는지 추후 더 조사가 필요해 보인다.
MINQUE와 REMLE을 혼용한 계통의 유전형과 재배환경의 상호관계에 대한 분석
토마토의 라이코펜 함량과 색 구성 요소들은 재배환경에 따라 다름을 앞의 실험에서 확인할 수 있었다. 그리고 획득한 데이 터들을 비교하여 보았을 때 이들 각 요소들은 유전적으로 그리고 환경적으로 많은 상호작용이 있을 것이라 추측하였다. MINQUE와 REMLE을 혼합한 수식을 사용하여 유전적인 측면과 환경적인 측면을 분석한 추정 값의 결과는Ta ble 2과 같다. 라이코펜 함량은 유전적인 영향을 가장 많이 받는 것으로 나타났으며 다음으로 재배환경적인 측면의 영향을 받는 것으로 나 타났다. RGB 분석에서는 G와 B의 값이 유전적 요소와 환경적 요소를 동시에 충족할 경우 높은 양상을 보이는 것으로 나타났 고, CIE L*, a*, b* 의 경우 유전적인 요소보다는 환경과 유전적인 요소가 모두 충족되었을 경우 높게 나타나는 것으로 나타났 다. 특히 Hue와 a*의 경우 G×E의 요소가 매우 강하게 작용하는 것으로 나타났다.
Table 1. Spearman’s rank correlation (rho) between each phenotypic factor in tomato fruits ![]() * Indicates significant difference at p > 0.05, and ** at p > 0.01. |
색 구성 요소, 재배환경요인 그리고 G×E가 토마토 라이코펜 함량에 미치는 상관관계
색 구성 요소, 재배환경요인 그리고 G×E가 토마토 라이코펜 함량에 미치는 상관관계에 대한 분석은 앞에서 분석한 추정치 각각의 케이스들을 정리하여 각각의 색 요소들과 라이코펜간의 상관관계를 정리하였다(Table 3). 결과에 따르면 lycopene vs. R의 경우 G×E의 요소에서 유효함을 확인할 수 있었으며, 데이터를 살펴본 결과 특정 유전형과 여주의 봄에서 여름재배 환경 이 만났을 때 유효한 것으로 분석되었다. 또한 몇몇 유전형의 경우 여주의 봄에서 여름 재배환경에 적합한 것으로 생각된다. Lycopene vs. B의 경우 유전형, 재배환경, G×E 요소 모두에서 강한 유의성을 갖는 것으로 나타났다. 환경적 요인의 경우 수원 의 봄에서 여름 노지재배와 여주의 가을에서 겨울 비닐하우스 재배환경이, 유전형의 경우 HTL10256 계통에서 유의성을 갖는 것을 관찰할 수 있었다. 특히 HTL10256는 수원의 봄에서 여름재배 노지 재배환경의 조건에서 강한 유의성을 가지는 것으로 나타났다. Lycopene vs. L*도 B의 경우와 마찬가지로 유전형, 재배환경, G×E 요소 모두에서 강한 유의성을 갖는 것을 확인할 수 있었다. 여기서도 HTL10256이 유의한 것으로 나타나, HTL10256의 경우에는 환경적인 요인에 성분이 민감하게 반응하는 것으로 예측하여 볼 수 있다. Lycopene vs. a*의 경우에는 유전형과 재배환경 각각의 요소는 유의하지 않았으나, G×E의 요소 에서는 강한 유의성을 갖는 것으로 나타났으며, 주로 HTL7334에서 유의성이 나타났으며, HTL10256에서도 유의성이 나타 났다. Lycopene vs. b*는 유전형의 요소에서 유의한 것으로 분석되었으며, 환경적인 요인은 영향이 없는 것으로 나타났다. G×E 의 경우 HTL6644가 여주 가을에서 겨울 재배에서 유의한 것으로 나타났지만 대체적으로는 유의하지 않은 것으로 분석되었 다. Lycopene Vs. Hue는 G×E의 결합요소에서 유의한 것으로 나타났다. 그러나 이 경우도 HTL7334가 여주지역의 봄에서 여름 재배의 경우에만 유의한 것으로 나타나, 대부분의 요소에서 유의성이 없는 것으로 생각할 수 있었다. 나머지 Lycopene vs. G, lycopene vs. luminosity, lycopene vs. chroma의 경우에는 모형이 부적합한 것으로 나타났는데 그 이유는 현실적으로 존재 하는 추정모형의 한계와 이론적인 제약, 그리고 물리적인 한계로 인해 적정한 수의 케이스가 확보되지 못하였기 때문에 발생 하는 문제로 생각되며 차후에 보완을 하여 다시 한 번 분석해볼 필요가 있어 보인다.
AMMI와 Biplot을 이용한 G×E가 라이코펜과 색 구성 요소에 미치는 영향 분석
Table 4, Fig. 1 그리고 Fig. 3의 결과에 따르면 lycopene은 유전형과 재배환경에 강한 유의성을 보였으며 여주지역의 봄에서 여름재배에서 G01 (HTL3137)이 높은 유의성을 보이는 것으로 나타났다. R의 경우 유전형과 재배환경에서 그다지 강한 유의성을 보이지 못하였으나 여주지역의 봄에서 여름 재배환경에 유의성을 보였다. G는 G×E 요소에서 유의성을 보였으며 G03 (HTL7334)가 여주 지역의 가을에서 겨울 재배에서 유의성을 나타내는 것으로 관찰되었다. B는 G03 (HTL7334)가 여주지역의 가을에서 겨울 재배에 서 유의성을 보였으며 G×E에서 유의성을 나타내는 것으로 나타났다. Luminosity는 유전형의 요소가 강하게 작용하였으며, L*는 유 전형의 요소가 유의성을 보였으며 G05 (HTL9851)가 수원지역의 봄에서 여름 재배 작형에서 높은 상호작용이 있는 것으로 나타났 다. a* 는 유전형과 함께 G×E 요소가 강하게 작용하는 것으로 나타났으며 b*는 여주지역의 가을에서 겨울 재배작형에서 G02 (HTL6644)가 가장 근접한 형태를 나타내었으며 다소 약한 상호 작용이 있으나 G×E 요소가 작용하는 것으로 나타났다. Hue의 경 우 G×E요소가 매우 강하게 작용하였으며 여주지역의 가을에서 겨울 재배작형에 가장 강하게 나타나는 것으로 확인하였다. Chroma는 유전형과 G×E의 요소가 다소 강하게 작용하였음을 확인할 수 있었으며 여주지역의 봄에서 여름 재배 작형에서 G09 (Tasti-Lee)가, 동일 지역의 가을에서 겨울 작형에서G 02 (HTL6644)와 G04 (HTL9245)가 그 특성을 잘 나타냄을 확인 할 수 있었다.
Fig. 3.
Biplot identification of A, lycopene; B, redness; C, greenness ;D, blueness; E, luminosity; F, L*; G, a*; H, b*; I, hue; J, chroma, and their related environments. Abbreviations: suwon: Suwon, spring–summer cycle; yeoju-ss, Yeoju, spring–summer cycle; yeju-aw, Yeoju, autumn–winter cycle.
고찰
본 실험은 서언에서 언급되었듯이 각각 다른 지역과 환경에서 재배되어 평가된 토마토 유전자원들의 유전형, 재배환경 그리 고 이들의 상호작용에 대하여 설명하기 위해 10계통의 토마토 소재를 각각 다른 재배환경에서 재배한 토마토 과실의 색 요소 와 라이코펜 함량 간의 상호작용을 분석하였다
라이코펜 함량은 여주지역의 봄에서 여름에 걸친 하우스 재배에서 HTL3137이 70.48 ㎎·㎏-1으로 가장 높았으며 수원지역 의 봄에서 여름에 걸친 노지재배에서 HTL10256이 20.9 ㎎·㎏-1으로 가장 낮게 나타났다. 색 구성요소와 라이코펜 함량의 상관 관계는 재배 지역별과 유전형에 차이를 보였는데 수원 지역 봄에서 여름 기간의 노지재배에서는 뚜렷한 상관관계를 찾기 힘들 었으나, 여주지역의 봄에서 여름기간에 걸친 재배에서는 B의 요인이 라이코펜 함량 상관관계를 보였으며 가을에서 겨울에 걸 친 재배 작형에서는 G, Luminosity, L*, Hue의 요소가 토마토 과실의 라이코펜 함량에 영향을 주는 것으로 나타났다. MINQUE 를 이용한 유전형, 재배환경 그리고 유전형×재배환경 (genotype×environment, G×E) 상호작용을 분석한 결과 라이코펜 함 량을 좌우하는 변수는 유전형이 51.33%로 가장 많은 영향을 미쳤으며 환경변수가 49.13% 그리고 G×E가 21.43%로 산출되 었으나 AMMI을 이용한 분석에서는 G×E가 차지하는 요인이 가장 높았으며 유전형과 환경조건이 각각 그 뒤를 따랐다. 이들 각 요인들이 라이코펜 함량에 미치는 G×E 상호작용의 상관관계를 분석한 결과 a*, R, b* 그리고 Hue 순서로 상관관계가 있는 것으로 도출되었다.
결과적으로 라이코펜 함량과 색 구성요소 관계에 있어서 이들의 상관관계는 어떠한 특정 색 구성요소와의 관계 보다는 실험 에 사용된 토마토의 유전형, G×E 상호작용 그리고 재배환경이 차지하는 비율이 가장 높은 것으로 나타났다. RGB 분석에서 R은 VB(E), G와 B는 G×E, Luminosity는 VB(E)의 영향을 받는 비율이 높은 것으로 나타났다. CIE L*, a*, b*에서 각각의 색 구성 요소에 미치는 영향은 L, a*, b* 모두 G×E이 가장 높은 비율로 작용하는 것으로 나타났다. Hue와 Chroma 역시 G×E이 가장 높은 비율로 작용하는 것으로 나타났다.
이 실험 통하여 얻어진 라이코펜 함량과 색 구성요인 사이의 상관관계 등을 이용하여 현재 시판되고 있는 상업용 토마토 품 종들을 최적화된 지역에 재배하여 질적형질 향상, 특히 라이코펜 함량을 높인 고 품질의 토마토의 생산을 위한 요소가 무엇인 지를 파악할 수 있는 근거와 실마리를 제공할 수 있었다. 이를 판단 근거로 하여 새로운 고품질의 토마토 품종 개발에도 많은 도 움을 줄 수 있으리라 판단된다.






